Seasonal Photosynthesis and Carbon Assimilation of Dynamics in a Zelkova serrata (Thunb.) Makino Plantation
Abstract
1. Introduction
2. Materials and Methods
2.1. Study Site and Species
2.2. Measurements of Gas Exchange and Leaf Area
2.3. Data Processing and Analysis
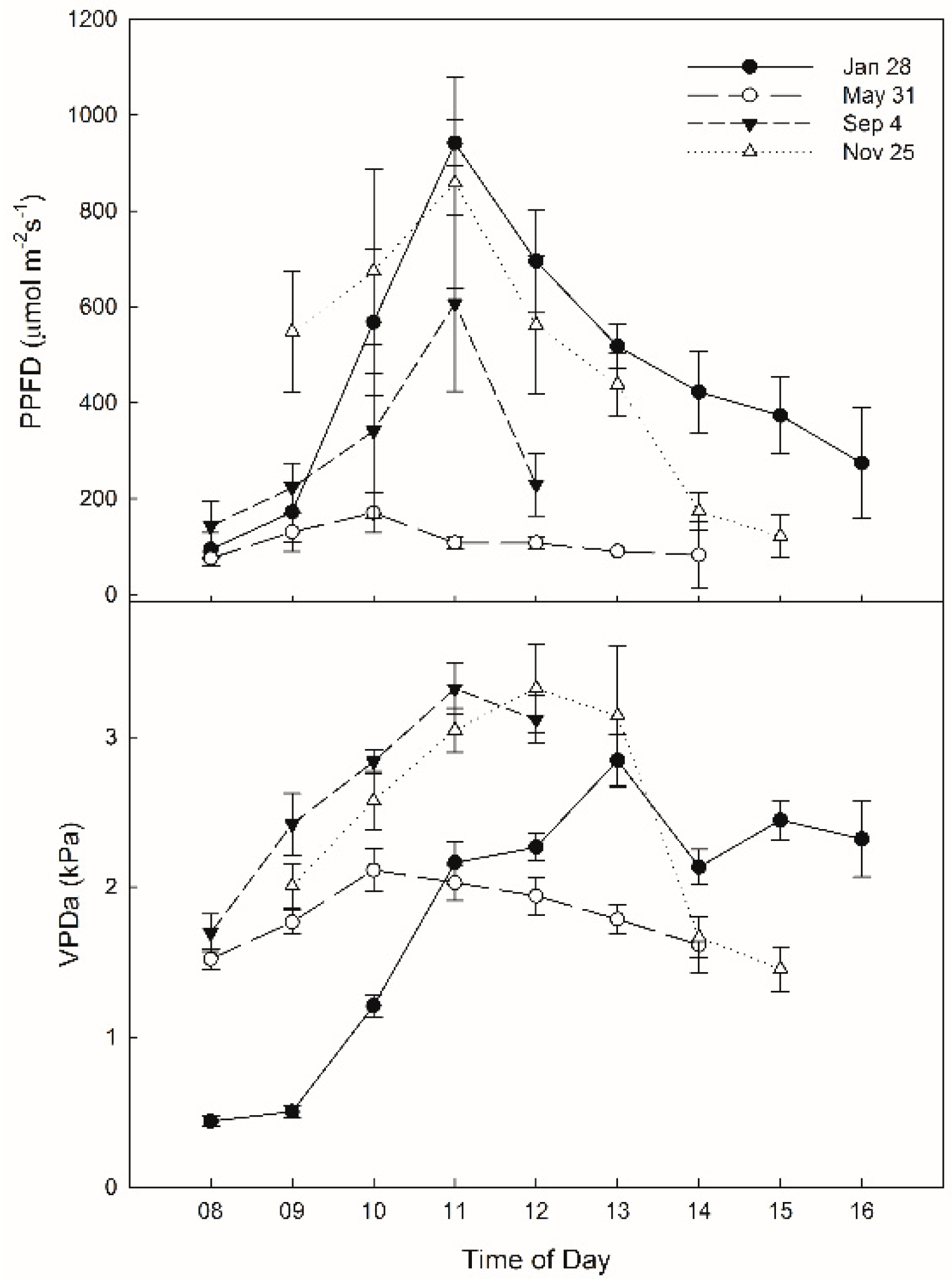
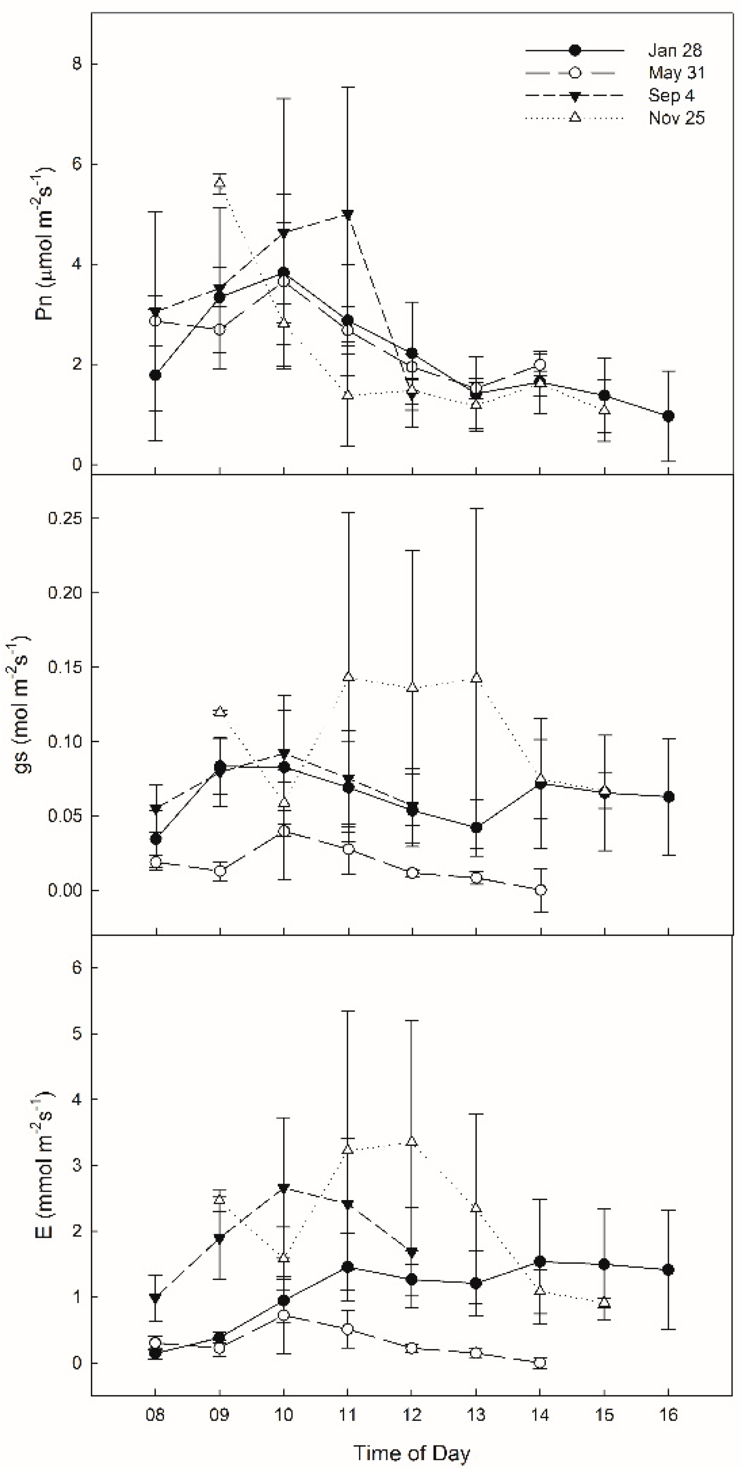
3. Results
4. Discussion
4.1. Gas exchange and Environmental Factors
4.2. Leaf Carbon Assimilation and Leaf Area Index
4.3. Seasonal Carbon Assimilation
5. Conclusions
Author Contributions
Funding
Acknowledgments
Conflicts of Interest
References
- Lee, K.J.; Lin, J.C.; Lain, C.S.; Lin, L.C. Carbon sequestration effects in different forest ecosystem management scenario in experimental forest, National Taiwan University. J. Exp. For. Nat. Taiwan Univ. 2004, 18, 261–272. [Google Scholar]
- Solomon, N.; Birhane, E.; Tadesse, T.; Treydte, A.C.; Meles, K. Carbon stocks and sequestration potential of dry forests under community management in Tigray, Ethiopia. Ecol. Process 2017, 6, 20. [Google Scholar] [CrossRef]
- Chen, C.I.; Wang, Y.N.; Lih, H.W.; Yu, J.C. Three-year study on diurnal and seasonal CO2 sequestration of a young Fraxinus griffithii plantation in southern Taiwan. Forests 2016, 7, 230. [Google Scholar] [CrossRef]
- Lin, J.C.; Jeng, M.R.; Liu, S.F.; Lee, L.J. Economic benefit evaluation of the potential CO2 sequestration by the national reforestation program. Taiwan J. For. Sci. 2002, 17, 311–321. [Google Scholar]
- Dai, Z.; Johnson, K.D.; Birdsey, R.A.; Hernandez-Stefanoni, J.L.; Dupuy, J.M. Assessing the effect of climate change on carbon sequestration in a Mexican dry forest in the Yucatan Peninsula. Ecol. Complex. 2015, 24, 46–56. [Google Scholar] [CrossRef]
- Sulman, B.N.; Roman, D.T.; Yi, K.; Wang, L.; Phillips, R.P.; Novick, K.A. High atmospheric demand for water can limit forest carbon uptake and transpiration as severely as dry soil. Geophys. Res. Lett. 2016, 43, 9686–9695. [Google Scholar] [CrossRef]
- Wehr, R.; Munger, J.W.; McManus, J.B.; Nelson, D.D.; Zahniser, M.S.; Davidson, E.A.; Wofsy, S.C.; Saleska, S.R. Seasonality of temperate forest photosynthesis and daytime respiration. Nature 2016, 534, 680–683. [Google Scholar] [CrossRef] [PubMed]
- Albert, L.P.; Wu, J.; Prohaska, N.; de Camargo, P.B.; Huxman, T.E.; Tribuzy, E.S.; Ivanov, V.Y.; Oliveira, R.S.; Garcia, S.; Smith, M.N.; et al. Age-dependent leaf physiology and consequences for crown-scale carbon uptake during the dry season in an Amazon evergreen forest. New Phytol. 2018, 219, 870–884. [Google Scholar] [CrossRef]
- Flanagan, P.X.; Basara, J.B.; Illston, B.G.; Otkin, J.A. The effect of the dry line and convective initiation on drought evolution over Oklahoma during the 2011 drought. Adv. Meteorol. 2017, 2017. [Google Scholar] [CrossRef]
- Doughty, C.E.; Metcalfe, D.B.; Girardin, C.A.J.; Amézquita, F.F.; Cabrera, D.G.; Huasco, W.H.; Silva-Espejo, J.E.; Araujo-Murakami, A.; da Costa, M.C.; Rocha, W.; et al. Drought impact on forest carbon dynamics and fluxes in Amazonia. Nature 2015, 519, 78–82. [Google Scholar] [CrossRef]
- Cao, C.; Tao, J. Predicting the areas of suitable distribution for Zelkova serrata in China under climate change. Sustainability 2021, 13, 1493. [Google Scholar] [CrossRef]
- Chen, C.I.; Wang, Y.N.; Yeh, L.W.; Hsieh, C.Y.; Yu, J.C.; Wu, C.S. Assessment of growth and CO2 sequestration of Zelkova serrata in the Wan-Long farm, Pingdong. J. Exp. For. Nat. Taiwan Univ. 2012, 26, 191–199. [Google Scholar]
- Yu, J.C.; Chen, C.I.; Chiang, P.N.; Lai, Y.J.; Tsai, M.J.; Wang, Y.N. Preliminary study of CO2 flux in Pingdong plantations. J. Exp. For. Nat. Taiwan Univ. 2012, 26, 163–174. [Google Scholar]
- Thornley, J.H.M. Instantaneous canopy photosynthesis: Analytical expressions for sun and shade leaves based on exponential light decay down the canopy and an acclimated non-rectangular hyperbola for leaf photosynthesis. Ann. Bot. 2002, 89, 451–458. [Google Scholar] [CrossRef]
- Lambers, H.; Chapin, F.S., III; Pons, T.L. Plant Physiological Ecology; Springer: New York, NY, USA, 1998. [Google Scholar]
- Biswas, S.; Bala, S.; Mazumdar, A. Diurnal and seasonal carbon sequestration potential of seven broadleaved species in a mixed deciduous forest in India. Atmos. Environ. 2014, 89, 827–834. [Google Scholar] [CrossRef]
- Chen, C.I.; Wang, Y.N.; Yu, J.C. Diurnal and seasonal CO2 assimilation by four plantation species in Taiwan. For. Sci. 2019, 65, 68–76. [Google Scholar] [CrossRef]
- Sands, P.J. Modeling canopy production. II. From single-leaf photosynthetic parameters to daily canopy photosynthesis. Funct. Plant Biol. 1995, 22, 603–614. [Google Scholar] [CrossRef]
- Colom, M.R.; Vazzana, C. Photosynthesis and PSII functionality of drought-resistant and drought-sensitive weeping lovegrass plant. Environ. Exp. Bot. 2003, 49, 135–144. [Google Scholar] [CrossRef]
- Grzesiak, M.T.; Grzesiak, S.; Skoczowski, A. Changes of leaf water potential and gas exchange during and after drought in triticale and maize genotypes differing in drought tolerance. Photosynthetica 2006, 44, 561–568. [Google Scholar] [CrossRef]
- Li, X.W.; Chen, S.L. Diurnal changes in gas exchange and chlorophyll fluorescence parameters of Fritillaria cirrhosa and F. delavayi under field conditions. Photosynthetica 2009, 47, 191–198. [Google Scholar] [CrossRef]
- Ogaya, R.; Peñuelas, J. Comparative field study of Quercus ilex and Phillyrea latifolia: Photosynthetic response to experimental drought conditions. Environ. Exp. Bot. 2003, 50, 137–148. [Google Scholar] [CrossRef]
- Ding, L.; Wang, K.J.; Jiang, G.M.; Li, Y.G.; Jiang, C.D.; Liu, M.Z.; Niu, S.L.; Peng, Y. Diurnal variation of gas exchange, chlorophyll fluorescence, and xanthophyll cycle components of maize hybrids released in different years. Photosynthetica 2006, 44, 26–31. [Google Scholar] [CrossRef]
- Jhou, H.C.; Wang, Y.N.; Wu, C.S.; Yu, J.C.; Chen, C.I. Photosynthetic gas exchange response of Swietenia macrophylla King and Melia azedarach L. plantations under drought conditions. Bot. Stud. 2017, 58, 57. [Google Scholar] [CrossRef] [PubMed]
- Ngugi, M.R.; Doley, D.; Hunt, M.A.; Dart, P.; Ryan, P. Leaf water relations of Eucalyptus cloeziana and E. argophloia in response to water deficit. Trees 2004, 23, 335–343. [Google Scholar] [CrossRef][Green Version]
- Liao, S.H.; Wang, Y.N. Study on carbon dioxide fixation efficiency of Cinnamomum camphora and Zelkova serrata in understory planting. Q. J. Chin. For. 2002, 35, 361–373. [Google Scholar]
- Gao, Z.J.; Xu, B.C.; Wang, J.; Huo, L.J.; Li, S. Diurnal and seasonal variations in photosynthetic characteristics of switchgrass in semiarid region on the Loess Plateau of China. Photosynthetica 2015, 53, 489–498. [Google Scholar] [CrossRef]
- Hamada, S.; Kumagai, T.; Kochi, K.; Kobayashi, N.; Hiyama, T.; Miyazawa, Y. Spatial and temporal variations in photosynthetic capacity of a temperate deciduous-evergreen forest. Trees 2016, 30, 1083–1093. [Google Scholar] [CrossRef]
- Matthews, J.S.A.; Vialet-Chabrand, S.R.M.; Lawson, T. Diurnal variation in gas exchange: The balance between carbon fixation and water loss. Plant Physiol. 2017, 174, 614–623. [Google Scholar] [CrossRef] [PubMed]
- Arndt, S.K.; Sanders, G.J.; Bristow, M.; Hutley, L.B.; Beringer, J.; Livesley, S.J. Vulnerability of native savanna trees and exotic Khaya senegalensis to seasonal drought. Tree Physiol. 2015, 35, 783–791. [Google Scholar] [CrossRef][Green Version]
- Li, S.; Feifel, M.; Karimi, Z.; Schuldt, B.; Choat, B.; Jansen, S. Leaf gas exchange performance and the lethal water potential of five European species during drought. Tree Physiol. 2016, 36, 179–192. [Google Scholar] [CrossRef]
- Yin, C.Y.; Berninger, F.; Li, C.Y. Photosynthetic responses of Populus przewalski subjected to drought stress. Photosynthetica 2006, 44, 62–68. [Google Scholar] [CrossRef]
- Zhang, X.H.; Lang, D.Y.; Zhang, E.H.; Bai, C.C.; Wang, H.Z. Diurnal changes in photosynthesis and antioxidants of Angelica sinensis as influenced by cropping systems. Photosynthetica 2013, 51, 252–258. [Google Scholar] [CrossRef]
- Cordeiro, Y.E.M.; Pinheiro, H.A.; Santos Filho, B.G.; Corrêa, S.S.; Silva, J.R.R.; Dias-Filho, M.B. Physiological and morphological responses of young mahogany (Swietenia macrophylla King) plants to drought. For. Ecol. Manag. 2009, 258, 1449–1455. [Google Scholar] [CrossRef]
- Koch, G.W.; Amthor, J.S.; Goulden, M.L. Diurnal patterns of leaf photosynthesis, conductance and water potential at the top of a lowland rain forest canopy in Cameroon: Measurements from the Radeau des Cimes. Tree Physiol. 1994, 14, 347–360. [Google Scholar] [CrossRef] [PubMed]
- Slot, M.; Winter, K. In situ temperature response of photosynthesis of 42 tree and liana species in the canopy of two Panamanian lowland tropical forests with contrasting rainfall regimes. New Phytol. 2017, 214, 1103–1117. [Google Scholar] [CrossRef] [PubMed]
- Tucci, M.L.S.; Erismann, N.M.; Machado, E.C.; Ribeiro, R.V. Diurnal and seasonal variation in photosynthesis of peach palms grown under subtropical conditions. Photosynthetica 2010, 48, 421–429. [Google Scholar] [CrossRef]
- Lachapelle, P.P.; Shipley, B. Interspecific prediction of photosynthetic light response curves using specific leaf mass and leaf nitrogen content: Effects of differences in soil fertility and growth irradiance. Ann. Bot. 2012, 109, 1149–1157. [Google Scholar] [CrossRef]
- Lang, Y.; Wang, M.; Zhang, G.C.; Zhao, Q.C. Experimental and simulated light responses of photosynthesis in leaves of three tree species under different soil water conditions. Photosynthetica 2013, 51, 370–378. [Google Scholar] [CrossRef]
- Kuo, Y.L.; Fan, K.S.; Hwang, C.W.; Lee, Y.P.; Wu, H.L.; Tsai, R.F. Gas exchange potential in sun-exposed leaves of 30 broadleaf tree species in Taiwan. Taiwan J. For. Sci. 2004, 19, 375–386. [Google Scholar]
- Bucher, S.F.; Bernhardt-Römermann, M.; Römermann, C. Chlorophyll fluorescence and gas exchange measurements in field research: An ecological case study. Photosynthetica 2018, 56, 1161–1170. [Google Scholar] [CrossRef]
- Hu, Q.P.; Guo, Z.H.; Li, C.Y.; Ma, L.Y. Leaf morphology and photosynthetic characteristics of seedlings of a deciduous and an evergreen broad-leaved species under different light regimes in subtropical forests. Acta Ecol. Sin. 2008, 28, 3262–3270. [Google Scholar]
- Way, D.A.; Holly, C.; Bruhn, D.; Ball, M.C.; Atkin, O.K. Diurnal and seasonal variation in light and dark respiration in field-grown Eucalyptus pauciflora. Tree Physiol. 2015, 35, 840–849. [Google Scholar] [CrossRef] [PubMed]
- Bonan, G.B. Importance of leaf area index and forest type when estimating photosynthesis in boreal forests. Remote Sens. Environ. 1993, 43, 303–314. [Google Scholar] [CrossRef]
- Gond, V.; de Pury, D.G.G.; Veroustraete, F.; Ceulemans, R. Seasonal variations in leaf area index, leaf chlorophyll, and water content; scaling-up to estimate fAPAR and carbon balance in a multispecies temperate forest. Tree Physiol. 1999, 19, 673–679. [Google Scholar] [CrossRef] [PubMed]
- Chen, C.I.; Lih, X.W.; Yu, J.C.; Wang, Y.N. The carbon sequestration potential of Sapindus Mukorossi in the Wan-Long farm, Pingtung. J. Exp. For. Nat. Taiwan Univ. 2016, 30, 119–126. [Google Scholar]
- Yeh, H.T.; Lee, C.F.; Wu, S.; Shih, L.C.; Wang, Y.N.; Yu, J.C. Investigation of insect feeding guilds on Zelkova Serrata (Ulmaceae) in Wanlong plantation, Pintung county. J. Exp.For. Nat. Taiwan Univ. 2013, 27, 251–262. [Google Scholar]
- Cheng, C.H.; Huang, Y.H.; Menyailo, O.V.; Chen, C.T. Stand development and aboveground biomass carbon accumulation with cropland afforestation in Taiwan. Taiwan J. For. Sci. 2016, 31, 105–118. [Google Scholar]
- Tu, T.C.; Wang, Y.N.; Shiau, E.L. Efficiency of carbon dioxide fixation by Phyllostachys pubescens. J. Exp. For. Nat. Taiwan Univ. 2003, 17, 187–194. [Google Scholar]
- Hong, L.W.; Wang, Y.N. Net photosynthetic productivity at different canopy layers of Cinnamomum camphora. Q. J. Chin. For. 2003, 36, 27–38. [Google Scholar]
- Wang, Y.N.; Liou, S.C.; Shiau, I.L. The carbon dioxide fixation efficiency of Alstonia scholaris of sidewalk tree. Q. J. Chin. For. 2005, 38, 279–290. [Google Scholar]
- Wang, Y.N.; Liou, S.C.; Shiau, I.L. The carbon dioxide fixation efficiency of Pongamia pinnata of sidewalk tree. Q. J. Chin. For. 2005, 38, 151–161. [Google Scholar]
- Barford, C.C.; Wofsy, S.C.; Goulden, M.L.; Munger, J.W.; Pyle, E.H.; Urbanski, S.P.; Hutyra, L.; Saleska, S.R.; Fitzjarrald, D.; Moore, L. Factors controlling long- and short-term sequestration of atmospheric CO2 in a mid-latitude forest. Science 2001, 294, 1688. [Google Scholar] [CrossRef] [PubMed]
- Goulden, M.L.; McMillan, A.M.S.; Winston, G.C.; Rocha, A.V.; Manies, K.L.; Harden, J.W.; Bond-Lamberty, B.P. Patterns of NPP, GPP, respiration, and NEP during boreal forest succession. Glob. Chang. Biol. 2011, 17, 855–871. [Google Scholar] [CrossRef]
- Grünzweig, J.M.; Lin, T.; Rotenberg, E.; Schwartz, A.; Yakir, D. Carbon sequestration in arid-land forest. Glob. Chang. Biol. 2003, 9, 791–799. [Google Scholar] [CrossRef]
- Spannl, S.; Volland, F.; Pucha, D.; Peters, T.; Cueva, E.; Bräuning, A. Climate variability, tree increment patterns and ENSO-related carbon sequestration reduction of the tropical dry forest species Loxopterygium huasango of Southern Ecuador. Trees 2016, 30, 1245–1258. [Google Scholar] [CrossRef]






| Winter | Spring | Summer | Autumn | |
|---|---|---|---|---|
| α (mol·mol−1) | 0.038 ± 0.007 | 0.041 ± 0.001 | 0.036 ± 0.006 | 0.032 ± 0.008 |
| θ | 0.004 ± 0.001 | 0.005 ± 0.001 | 0.005 ± 0.001 | 0.006 ± 0.002 |
| Amax (μmol m–2 s–1) | 0.92 ± 0.43 | 3.01 ± 0.78 | 4.99 ± 1.21 | 5.57 ± 1.94 |
| Rd (μmol m–2 s–1) | 3.96 ± 0.75 | 2.43 ± 0.55 | 1.79 ± 0.30 | 0.94 ± 0.25 |
| Pn | gs | Ci | E | VPDl | VPDa | Tl | Ta | CO2 | PPFD | |
|---|---|---|---|---|---|---|---|---|---|---|
| Pn | - | 0.14 | −0.55 ** | 0.03 | −0.30 ** | −0.33 ** | −0.25 ** | −0.29 ** | −0.08 | 0.05 |
| gs | −0.11 | - | 0.34 ** | 0.81 ** | −0.32 ** | −0.25 ** | −0.13 | −0.08 | −0.10 | −0.04 |
| Ci | −0.86 ** | 0.28 | - | 0.26 ** | −0.14 | −0.05 | 0.00 | 0.09 | 0.15 | −0.25 ** |
| E | 0.22 | 0.77 ** | 0.02 | - | 0.16 | 0.21 * | 0.30 ** | 0.35 ** | −0.23 ** | 0.25 ** |
| VPDl | 0.19 | −0.56 ** | −0.36* | −0.12 | - | 0.93 ** | 0.83 ** | 0.80 ** | −0.36 ** | 0.56 ** |
| VPDa | 0.14 | −0.50 ** | −0.33* | −0.18 | 0.87 ** | - | 0.87 ** | 0.88 ** | −0.35 ** | 0.43 ** |
| Tl | 0.20 | 0.06 | −0.30* | 0.37 ** | 0.60 ** | 0.63 ** | - | 0.96 ** | −0.56 ** | 0.28 ** |
| Ta | 0.15 | 0.12 | −0.26 | 0.39 ** | 0.51 ** | 0.60 ** | 0.97 ** | - | −0.48 ** | 0.26 ** |
| CO2 | 0.05 | −0.59 ** | −0.11 | −0.56 ** | 0.35 * | 0.43 ** | −0.29 * | −0.32 * | - | −0.12 |
| PPFD | 0.14 | −0.07 | −0.17 | 0.29 * | 0.61 ** | 0.32 * | 0.40 ** | 0.29 * | −0.08 | - |
Publisher’s Note: MDPI stays neutral with regard to jurisdictional claims in published maps and institutional affiliations. |
© 2021 by the authors. Licensee MDPI, Basel, Switzerland. This article is an open access article distributed under the terms and conditions of the Creative Commons Attribution (CC BY) license (https://creativecommons.org/licenses/by/4.0/).
Share and Cite
Chen, C.-I.; Wang, Y.-N.; Lin, H.-H.; Wang, C.-W.; Yu, J.-C.; Chen, Y.-C. Seasonal Photosynthesis and Carbon Assimilation of Dynamics in a Zelkova serrata (Thunb.) Makino Plantation. Forests 2021, 12, 467. https://doi.org/10.3390/f12040467
Chen C-I, Wang Y-N, Lin H-H, Wang C-W, Yu J-C, Chen Y-C. Seasonal Photosynthesis and Carbon Assimilation of Dynamics in a Zelkova serrata (Thunb.) Makino Plantation. Forests. 2021; 12(4):467. https://doi.org/10.3390/f12040467
Chicago/Turabian StyleChen, Chung-I, Ya-Nan Wang, Heng-Hsun Lin, Ching-Wen Wang, Jui-Chu Yu, and Yung-Chih Chen. 2021. "Seasonal Photosynthesis and Carbon Assimilation of Dynamics in a Zelkova serrata (Thunb.) Makino Plantation" Forests 12, no. 4: 467. https://doi.org/10.3390/f12040467
APA StyleChen, C.-I., Wang, Y.-N., Lin, H.-H., Wang, C.-W., Yu, J.-C., & Chen, Y.-C. (2021). Seasonal Photosynthesis and Carbon Assimilation of Dynamics in a Zelkova serrata (Thunb.) Makino Plantation. Forests, 12(4), 467. https://doi.org/10.3390/f12040467

