Abstract
Anomaly detection and root cause analysis of energy consumption not only optimize energy use and improve equipment reliability but also contribute to green and low-carbon development. This paper proposes a comprehensive diagnostic framework for detecting anomalies, conducting causal analysis, and tracing root causes of energy consumption in medium and heavy plate manufacturing, integrating process mechanisms, expert knowledge, and industrial big data. First, a two-stage anomaly detection method based on box plot analysis is developed to identify energy consumption irregularities. Next, a weighted Granger causality analysis method based on LSTM is introduced, which effectively captures the nonlinear and temporal relationships of process variables, enabling the identification of abnormal causal pathways. Finally, a root cause tracing algorithm using an Adam-based variational inference Bayesian neural network is proposed to pinpoint the underlying factors responsible for the anomalies. Experimental results validate the effectiveness of the proposed methods.
1. Introduction
With the rapid development of industrial production and smart manufacturing, energy consumption has become a key indicator of product quality. Normal energy consumption reflects the stability of production processes, resource utilization efficiency, and environmental sustainability [1,2,3,4,5]. In the heating process of medium and heavy plates, various complex operations are involved. To accurately predict the consumption of different energy types, multiple factors must be considered. Firstly, real-time measurement data from sensors, including critical parameters such as temperature, need to be collected during the heating process. Additionally, process parameters of the batch billets, such as heating temperature, heating rate, and furnace atmosphere, along with spatial step size, are also crucial factors influencing energy consumption. To effectively analyze these intricate relationships, machine learning methods based on neural networks can be employed to develop precise predictive models in a multi-dimensional data space, thereby enabling accurate prediction and optimization of energy consumption [6,7]. However, due to the complexity of production processes and the diversity of equipment operations, energy consumption data are often influenced by various factors such as equipment malfunctions and operational anomalies, leading to irregular fluctuations in energy levels. Therefore, detecting anomalies in energy consumption data promptly and accurately, and tracing their root causes, has become a critical challenge in improving energy efficiency management. Anomaly detection and root cause analysis are not only essential for ensuring process stability but also play a significant role in optimizing resource allocation, reducing energy consumption, and enhancing production efficiency [8,9,10,11].
Anomaly detection methods can be broadly categorized into statistical model-based approaches, similarity-based methods, and machine learning techniques, among others. Statistical model-based methods, such as AutoregRessive Integrated Moving Average (ARIMA) and Generalized AutoregRessive Conditional Heteroskedasticity (GARCH) [12,13], assume that the distribution of the data is known in advance, and they rely on prior knowledge to identify anomalies in the data. Similarity-based methods, such as K-Means and DBSCAN [14,15], are distance-based algorithms that are easy to implement and compare. However, their accuracy tends to decline as the dimensionality of the data increases or when the data quality is inconsistent. Machine learning approaches have also been proposed to address anomaly detection challenges. For instance, ref. [16] introduced new Gaussian Mixture Models (GMM) combined with Optimal Principal Component (OPC) methods for fault detection. Additionally, ref. [17] proposed an improved monitoring strategy based on a modified Discriminative Locality Preserving Projection (DLPP) algorithm and stationary testing. This approach is designed for nonlinear, multivariate process monitoring and is aimed at analyzing both within-mode and cross-mode information.
Root cause analysis methods often rely on Granger causality analysis, which determines the causal relationships between variables by solving Granger causality coefficients. This method ultimately identifies the causal propagation paths between variables [18,19]. Ref. [20] applied Gaussian process regression to GC to solve the limitations of traditional GC for nonlinear systems. Ref. [21] employed Recurrent Neural Networks (RNNs) to automatically capture long-term dependencies between sequences. By incorporating a sparsity-inducing penalty on weights, the study introduced a neural Granger causality approach. Experimental results demonstrated that this method outperforms existing nonlinear Granger causality methods. However, the linear assumptions underlying this approach can result in the loss of important coefficients when applied to nonlinear systems, potentially leading to causal relationships that do not accurately reflect the true underlying causality. In addition, Bayesian networks [22] are commonly used to provide probabilistic interpretations of faults. These networks update the probability of specific events based on known evidence and prior probabilities, using Bayes’ theorem. One study [23] addressed the phenomenon of performance degradation in complex electronic systems over time by proposing a fault diagnosis method based on Dynamic Bayesian Networks (DBN). Their approach uses Markov chains to model the state transition relationships of an electronic system, considering four distinct system states. Another study [24] proposed a Bayesian Recurrent Neural Network (BRNN) with variational dropout, which introduces uncertainty estimation into the model. This approach enables simultaneous fault detection, fault identification, and fault propagation analysis in chemical processes.
Anomaly detection and root cause analysis of energy consumption in medium and heavy plate production face numerous challenges, primarily due to the diversity of energy consumption media and the complexity of underlying factors. On one hand, energy consumption involves various media, such as natural gas, electricity, water, and nitrogen. Each medium exhibits distinct consumption characteristics, operational mechanisms, and anomaly patterns, which complicate anomaly detection. On the other hand, the factors leading to energy consumption anomalies span multiple areas, including equipment, production processes, and operations, each with their own complexity and variability. For example, equipment issues may involve wear, malfunctions, or efficiency declines; production factors may include fluctuations in billet quality or adjustments in process parameters; and operational factors may arise from habitual practices or execution deviations. Furthermore, the production processes in medium and heavy plate manufacturing are highly coupled, meaning that anomalies in one process can propagate through complex pathways, affecting other stages. The primary challenge addressed in this paper is achieving accurate anomaly detection and root cause analysis in this complex environment.
To overcome these challenges and analyze the underlying abnormal problem, this paper proposes a hierarchical diagnostic approach, dividing the diagnostic process into three layers: the manifestation layer, the process variable layer, and the underlying factors layer. This layered approach allows for systematic refinement and traceability in identifying the root causes of anomalies. At the manifestation layer, the box plot mechanism is used to detect anomalies from energy consumption data, and potential anomaly propagation paths are initially identified. In the process variable layer, a weighted nonlinear Granger causality analysis method is proposed to further find the abnormal propagation path. Finally, at the underlying factors layer, domain knowledge is integrated to build a Bayesian Neural Network, enabling a comprehensive analysis of the abnormal paths and identifying the root causes of the anomalies. In this study, prior knowledge derived from historical data and domain expertise were used to construct the priors in the Bayesian model. For instance, a Gaussian prior was assumed for the model parameters based on observed data characteristics, allowing the data to primarily drive the posterior inference.
The structure of the remaining content of this paper is as follows: Section 2 first applies the box plot analysis method to detect anomalous data; then, it introduces a weighted Granger causality analysis method based on LSTM and, finally, presents the root cause tracing algorithm using an Adam-based variational inference Bayesian neural network. Section 3 provides experimental validation of the proposed methods. Section 4 concludes the paper and outlines directions for future work. Section 5 provides further discussion on the content of this paper.
2. Methods
For a specific steel grade, let , , and represent the calculated energy consumption results for natural gas, electricity, and other forms of energy, respectively, for a single steel billet. It is assumed that these values have been standardized to a common unit, such as kilojoules. The total energy consumption per ton of steel can then be expressed as
where Y is the total energy consumption per ton of steel consumed by natural gas, electricity, and other forms of energy for a single steel billet; with represent the energy consumption per unit mass of steel for each energy type; and m represents the mass of the steel billet.
2.1. Box Plot Anomaly Detection Mechanism
The box plot is a statistical tool used to visualize the distribution of data and to identify potential outliers [25]. As shown in Figure 1, the upper and lower boundaries of the box represent the quartiles of the data, while the line within the box indicates the median. The “whiskers” extending from the box typically reach 1.5 times the interquartile range (IQR). Any data points outside this range are considered outliers.
Figure 1.
Box plot anomaly detection mechanism.
Given a dataset , assumed to be arranged in ascending order, the first step is to calculate the 25th percentile, also known as the lower quartile (or first quartile):
Next, calculate the 75th percentile, also known as the upper quartile (or third quartile):
Here, and represent the floor and ceiling functions, respectively. Finally, calculate the IQR, which is the difference between the upper and lower quartiles and is used to measure the spread of the distribution of the data:
Based on , , and the IQR, set the lower limit as and the upper limit as . Values outside these two limits are typically considered outliers—that is, when
x is considered an outlier.
The anomaly detection of energy consumption using the box plot mechanism can be divided into the following two steps:
Step 1: Use the box plot mechanism to detect whether the total energy consumption Y is anomalous.
Step 2: If Y is detected as anomalous, apply the box plot mechanism to detect anomalies in gas consumption , electricity consumption , and other energy consumption in order to determine which part of the energy consumption is abnormal.
The detection mechanism described above is summarized in Algorithm 1. The algorithm inputs are the total energy consumption per ton of steel Y, as well as gas consumption , electricity consumption , and other energy consumption for each batch. The output is the anomalous batches’ total energy consumption per ton of steel and their corresponding energy sub-consumptions. In the algorithm, the subscript added to Q1 to form indicates that Q1 is calculated for the Y data, with similar notation for Q3 and IQR.
| Algorithm 1: Abnormal energy consumption detection mechanism for medium and thick plates based on box plot |
![]() |
According to (5), anomalies are defined as data points that exceed the defined upper or lower limits. Anomalies are detected using a statistical method based on the IQR derived from box plots. The energy consumption data are analyzed using a rolling window approach, where a box plot is constructed for each window of data. Anomalies are flagged when the energy consumption falls outside the range defined by (5). As the data are continuously updated, the IQR for anomaly detection adapts accordingly to account for the natural variability in consumption, ensuring that the detection thresholds evolve over time.
2.2. Root Cause Tracing Based on Adam Variational Inference Bayesian Neural Network
2.2.1. Framework for Solving Ideas
When energy consumption anomalies are detected, the key is to identify the root cause of the anomaly. However, directly analyzing the correlation between energy consumption anomalies and specific factors (such as production factors, equipment factors, operational factors, etc.) is often difficult. Therefore, this section breaks the problem down into two levels: first, identifying the process variables directly related to the anomalous energy consumption (such as furnace temperature during heating, reduction amount during rolling, etc.); second, further exploring the relationship between these process variables and underlying factors.
After identifying the process variables directly associated with the anomaly, it is necessary to further investigate whether these variables are independent of each other or if there are any interdependencies or interactions between the variables that trigger the anomaly. If the relationships between the variables can be uncovered, it will be possible to more effectively identify the key variables and prioritize them for investigation, significantly improving work efficiency. To this end, this section introduces Granger causality to represent the interactions between variables. Since Granger causality can only handle linear systems and is difficult to use to evaluate the optimal causal path, this paper proposes a weighted Granger causality analysis method based on LSTM to better meet the practical needs of industrial sites.
By analyzing the causal paths with the highest weights, it is usually possible to identify the characteristic variables that exhibit abnormal behavior, i.e., the fault variables. However, more importantly, it is necessary to further explore the underlying causes of these abnormal phenomena. This requires establishing relationships between process variables and potential influencing factors, so that once anomalous variables are identified, a probabilistic explanation can be provided. To this end, this paper proposes a Bayesian neural network based on Adam variational inference to achieve root cause tracing; by introducing Bayesian inference, it provides a probabilistic interpretation of the results, making the diagnostic process more scientific and reliable.
Based on the above, the overall framework is shown in Figure 2. The process can be divided into the following steps:
Figure 2.
Root cause tracing framework.
Step 1: Analyze the variables related to the anomalous indicator .
Step 2: For the related variables, apply weighted Granger causality analysis based on LSTM to obtain the weighted causality coefficient matrix.
Step 3: Based on the weighted causality coefficient matrix, calculate the optimal causal path.
Step 4: Use historical information to construct a dataset for the variable x and underlying factors z.
Step 5: Construct a Bayesian neural network and optimize the network weights using Adam.
Step 6: Convert the calculated optimal causal path into input for the Bayesian neural network.
Step 7: Compute the probability of each factor and its potential anomaly occurrence.
Granger causality [26] analysis is used to find the causal path that leads to anomalies, while the Bayesian neural network gives the underlying factors related to the causal path, namely, the root cause.
2.2.2. Weighted Granger Causality Analysis Based on LSTM
- Granger causality model based on LSTM
This section establishes a time series-based LSTM model, where the Granger Causality Model (GCM) is modified into a nonlinear regression form:
where represents the LSTM model, where this form does not include the explicit coefficients typically seen in traditional Granger causality analysis. Instead, it converts the model into one where an additional network layer is added in the LSTM model and its weights are treated as . LSTM effectively maintains long-term memory by introducing a gating mechanism, making it perform better in processing long-term dependent sequence data [27]. Since fixed time lags are independent of each other, LSTM-based GC will be more suitable for causal analysis of process variables in the case of varying transmission delays.
As shown in Figure 3, the core idea of LSTM is to control the flow of information by introducing three gates: the forget gate, the input gate, and the output gate. The forget gate determines which information should be discarded from the cell state, i.e., which information to forget.
Figure 3.
LSTM structure diagram.
The input gate consists of two parts: a sigmoid layer that decides which values will be updated and a tanh layer that creates a new candidate value vector, i.e.,
The update of the cell state combines the information from the forget gate and the input gate:
The output gate decides which information to output, and the output value is scaled by the tanh function:
where represents the sigmoid function; “·” represents the dot product of a vector or matrix; * represents element-by-element multiplication; is the input at time t; is the hidden state at time t; is the cell state at time t; and W and b are the weight and bias, respectively.
To prevent the gradients from becoming unstable during both the forward and backward propagation in the neural network, thereby avoiding issues such as vanishing or exploding gradients, the weights W are initialized using Xavier initialization—that is,
where represents the number of neurons in the previous layer, represents the number of neurons in the current layer, and denotes the normal distribution. The model’s loss is estimated using the mean squared error, which is given by the following formula:
where represents the actual value, and represents the predicted value, which is given by the following formula:
where g is the activation function, is the training weight, and is the bias term. The training weight derivative of the loss function is
where , . Using gradient descent with a learning rate , the weight update rule is given by
- B.
- Optimal causal path based on weighted coefficients
In classical Granger causality analysis, the focus is typically on whether equals zero. is considered not to Granger cause if and only if . To fully utilize the information in the coefficient matrix A, we update as follows:
where represents the norm. If the coefficient is large, it indicates that the variable has a significant effect on , meaning that is more likely to be a Granger cause of . In other words, a larger value of implies that has stronger predictive power for .
We also introduce a frequency coefficient , which represents the frequency with which a process variable appears in the entire causal graph. It is expressed as
where represents the causal path that includes the variable , and refers to all causal paths in general. The larger the , the greater the likelihood that the variable will cause an exception to occur.
By combining the coefficient and the frequency coefficient , the weight coefficient is obtained:
where , , ⊙ represents the Hadamard product. represents the Granger causality coefficients between variables, and represents the frequency of occurrence of each variable. Therefore, the larger , the more likely the variable is to cause an exception to occur. At this point, the weighted Granger causality graph can be represented as shown in Figure 4.
Figure 4.
Weighted Granger causality diagram.
Using the weights , the causal path with the highest weight is identified as the final tracing result.
Given the non-stationarity, a nonlinear metric can be used to evaluate causal relationships [28]:
where T is the total time. If , then has a Granger causality relationship with . The overall framework is shown in Figure 5, in which Figure 5a represents the training part where the LSTM is trained to compute the Granger causality coefficients. Figure 5b shows the calculation of the weights, where the frequency of variables is introduced based on the Granger causality coefficients to calculate the weighted Granger coefficients.
Figure 5.
LSTM-based weighted Granger causality flow chart. (a) Training model. (b) Calculating weight.
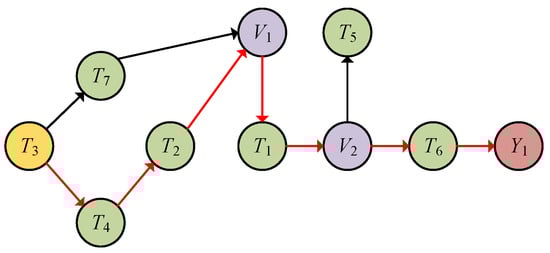
Taking gas consumption as an example, when exhibits anomalies, the related variables identified through the previous analysis are the furnace temperature measurement at each time interval, denoted as , and the batch furnace entry and exit times, denoted as and . For the sake of convenience in subsequent analyses, each of these variables is simplified and represented as . The time series data for each variable are then divided into and , where . This allows for training the LSTM model to obtain the causal coefficients between the variables, denoted as , as shown in Table 1.
Table 1.
Causal coefficient table (example).
The causal relationships are illustrated in Figure 6 based on the above causal coefficient table.
Figure 6.
Cause and Effect Diagram (Example).
The final causal paths based on the causal relationship diagram are ; ; ; and . The corresponding frequency coefficients for each variable are . The final weight coefficients are shown in Table 2.
Table 2.
Example of weighted causal coefficient table.
The optimal causal path is obtained by accumulating the weights of each path based on the table above.
2.2.3. Root Cause Tracing Based on Adam Variational Inference Bayesian Neural Network
- Analysis of underlying factors
The factors influencing energy consumption can be categorized into three types: equipment factors, production factors, and operational factors. These factors are intertwined and collectively determine energy utilization efficiency and consumption levels. Improving energy efficiency requires a systematic approach, focusing on technological upgrades in equipment, optimization of production processes, and improvements in operational management. Additionally, combining energy consumption data analysis with intelligent management systems can further uncover energy-saving potential, achieving an overall optimization effect.
Equipment Factors: Equipment serves as the direct medium for energy consumption, and its performance and condition have a decisive impact on energy efficiency. Based on different professional classifications, equipment on the production line can be categorized into mechanical, hydraulic lubrication, electrical, water and gas, thermal, and specialized equipment. Due to differences in the design and operational characteristics of these equipment types, their energy consumption patterns vary. (1) Equipment Efficiency: The design level, technological advancement, and energy efficiency rating of equipment directly affect energy conversion and utilization efficiency. High-efficiency equipment typically reduces unnecessary energy losses. (2) Maintenance and Care: Wear, aging, or failure of equipment during long-term operation can lead to increased energy consumption. Regular maintenance, inspection, and upgrades can effectively lower energy use. (3) Equipment Compatibility: The compatibility between equipment and production requirements is also critical. For example, using equipment with capacities that are too large or too small can result in unnecessary energy waste.
Production Factors: Production processes and process management determine the actual energy usage requirements. (1) Process Flow: The advancement, scientific nature, and rationality of the process flow directly affect energy consumption. Optimizing the process flow, reducing intermediate steps, or minimizing losses can effectively lower energy usage. (2) Production Scale: Large-scale production can reduce energy consumption per unit of product to some extent. However, excessive production beyond capacity may lead to additional energy consumption. (3) Product Quality Requirements: High-quality, high-precision products typically require more complex processes and equipment operations, which may result in higher energy consumption.
Operational Factors: The operational level and management capabilities play a crucial role in the efficiency of equipment operation and the effectiveness of process execution. (1) Personnel Skills: The technical proficiency, training level, and familiarity with equipment of the operators directly impact energy efficiency. For example, improper operation can lead to malfunctioning equipment, resulting in unnecessary energy waste. (2) Operating Standards: Strict adherence to operating procedures can minimize energy losses caused by incorrect operations or arbitrary adjustments of parameters. (3) Monitoring and Management: A lack of real-time energy consumption monitoring and analysis tools may prevent timely identification and adjustment of issues. For example, improper peak energy usage management can lead to avoidable wastage. Qualifications should cover both theoretical knowledge and practical skills, such as understanding the nuances of the machinery, safety protocols, and troubleshooting techniques. Standards should include inspection routines, criteria for acceptance/rejection, and specific metrics for evaluating the quality of the output. Standardization of processes reduces variability and ensures that all staff follow best practices. Monitoring tools, such as Supervisory Control and Data Acquisition (SCADA) systems, can be used to track operational performance in real-time.
For example, in the case of gas consumption, the equipment-related factors, production-related factors, and operational factors are shown in Table 3, Table 4 and Table 5, respectively.
Table 3.
Equipment-related factors (gas consumption).
Table 4.
Production-related factors (gas consumption).
Table 5.
Operational factors (gas consumption).
- B.
- Bayesian neural network construction
Bayesian Inference is a statistical inference method that updates beliefs or probability distributions about parameters using Bayes Theorem [29]. It can be expressed as
where represents the prior probability of event A occurring and represents the conditional probability of event A occurring given that event has occurred. Using this formula, we can compute the posterior probability of the target based on the prior probability and the new evidence. Applying this to root cause analysis, let event A represent a fault occurring in variable X and let event represent the occurrence of an anomaly in factor . Then, m represents the probability that the anomaly in factor caused the fault in variable X.
This method is only applicable in limited cases, where both event A and event are finite. However, the weighted Granger causality analysis proposed earlier involves continuous weights, making it impossible to exhaustively enumerate all possible cases. Therefore, in this paper, we employ a Bayesian neural network to compute the posterior probabilities.
The Bayesian neural network (BNN) is a machine learning model that applies Bayesian statistical theory to traditional neural networks. By introducing probability distributions, BNNs represent the uncertainty within the neural network, providing a method to assess model prediction uncertainty. The weights of the neural network are treated as the posterior probability in Bayesian inference. Based on the process variables and factors , the network weights w are updated as follows:
where represents the likelihood function, which indicates the probability of generating the observed data given the parameters w. is the prior distribution, reflecting the initial belief about the parameters w before observing the data. Once the complete posterior distribution is obtained, the prediction distribution for a new data point can be computed by integrating over the weight parameters w as follows:
For the established Bayesian neural network, it not only allows for a qualitative description of the relationship between quality issues and process variables in various production stages but also provides a quantitative analysis of the root cause results.
For example, in the heating process, the partial relationships between process variables and factors obtained from historical data of the actual production process are shown in Table 6.
Table 6.
Anomalous variables and factors.
To create the training set for the Bayesian neural network, process variables are denoted as and influencing factors as . For past anomalous data, both the variables and factors are classified into two states: normal and anomalous. This binary classification helps in establishing the relationships between variables and their corresponding influencing factors, forming the foundation for the Bayesian neural network model.
In this section, “1” represents the factor is abnormal and “0” represents that the factor is normal. Through this method, the relationship between variables and factors is converted into a vector to create a training set. Therefore, for a scenario with n variables and m factors, the constructed Bayesian neural network has an input of an n dimensional Bernoulli vector and an output of an m dimensional Bernoulli vector.
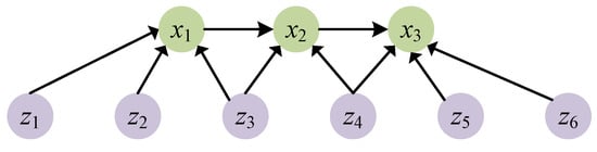
As shown in Figure 7a, when there is a simple one-to-one or one-to-many relationship between variables and factors, the input vectors can be represented as and the factor outputs can be represented as . As shown in Figure 7b, when there is a many-to-many relationship between variables and factors, the input vectors can be represented as and the factor outputs can be represented as .
Figure 7.
Relationship between variables and factors. (a) One-to-one or one-to-many. (b) Many-to-many.
The above method treats each process variable as independent and of equal importance. To better reflect the causality between variables, this section treats the traceability results as vectors and assigns weights to each vector. These weighted vectors are then input into the Bayesian neural network to obtain the final results.
In Figure 8, represents the weight of the variable and represents the probability of the corresponding factor. Let the set of abnormal variable chains be denoted as , where is the root cause variable. Since the root cause variable has a significant weight in the variable chain, . For the remaining variables , where , their values decrease according to the sequence in which the variable chain flows, i.e.,
where is the number of elements in the variable path set and v represents the position of a specific variable within the entire variable path. The weights for the remaining variables, which are not part of the abnormal variable chain set, are set to 0.
Figure 8.
Bayesian neural network architecture.
As shown in Figure 9, the vector input can be represented by the vector and the factor output can be represented by the vector .
Figure 9.
Diagram of causal variables.
- C.
- Network weight optimization based on Adam variational inference
In a Bayesian neural network, the network weights w are treated as random variables rather than fixed point estimates. Using variational inference, we optimize the distribution of the weights instead of directly optimizing the weights themselves. Typically, a parameterized variational distribution is chosen to approximate the posterior distribution , which is expressed as
where represents the mean of the weights and represents the uncertainty (variance) of the weights. The training objective of the Bayesian neural network is to maximize the evidence lower bound (ELBO) [30], which involves maximizing the following objective function to simultaneously minimize the likelihood and KL divergence:
In this context, the first term is the expectation of the log-likelihood of the data under the approximate distribution , which indicates the degree of fit of the model. The specific form is . The second term is the KL divergence between the approximate distribution and the prior distribution, which is used to maintain the regularization of the parameters. Its specific form is .
Assume that the prior is also a Gaussian distribution—that is, . Taking partial derivatives of and ,
The derivative results need to be approximated by Monte Carlo sampling to compute the expectation term in the ELBO. The specific steps are as follows: Randomly sample weights w from the approximate distribution . Compute the gradients with respect to the sampled weights and use these gradients to update the distribution parameters and . In each gradient update step, use the Adam optimization formula to update the parameters and . The update rule for Adam [31] includes the following steps:
Calculation of first-order momentum:
Calculation of second-order momentum:
Bias correction:
Update distribution parameters:
In the Bayesian neural network, the Adam optimization algorithm can help the model converge faster. Due to its adaptive learning rate feature, it is particularly well-suited for handling different parameters in the network, which is especially important for parameter estimation in Bayesian methods. The adaptive nature of Adam ensures that the learning rates for different parameters are adjusted based on their individual gradients, thus optimizing the training process by improving both efficiency and stability. This makes it an ideal choice for optimizing the variational distributions in Bayesian neural networks, where parameter uncertainty plays a crucial role in the model’s performance.
The mathematical model of the above method can be expressed as
where y represents the probability vector of abnormal occurrence of various factors, is a function defined by a neural network that depends on the input x and the network parameters w, and is the error of the model. By minimizing the variational lower bound, the variational distribution can be obtained , and it can be used to approximate the posterior distribution for prediction.
As shown in Figure 10b, the Bayesian neural network is first trained using the training set, which is derived from expert knowledge or a knowledge graph. The process variables are used as input data, while the corresponding abnormal factors are used as output. The network’s weight distribution is updated based on the evidence lower bound (ELBO) as the evaluation metric. After training is complete, as shown in Figure 10b, the variables with their learned weights are input into the model, which then outputs the abnormal factors with probabilistic explanations.
Figure 10.
Bayesian neural network flow chart based on Adam variational inference. (a) Training part. (b) Prediction part.
2.3. Algorithm Implementation
Here, we present a summary of the above content in Algorithm 2, which consists of two stages: the first stage inputs the time series data and , and the output is the causal relationship diagram and the optimal causal path. First, the Granger causal coefficient is solved using LSTM; then, the causal relationship diagram is drawn according to the coefficient; finally, the weight is calculated to obtain the optimal causal relationship path. The second stage inputs the causal path of the abnormal variable, and the output is the probability of abnormality of each underlying factor. First, the data are converted into a binary vector; then, the model is trained with the maximum evidence lower bound as the indicator; finally, the probabilities for each factor’s abnormality are output.
| Algorithm 2: Root cause tracing based on Adam variational inference Bayesian neural network. |
|
3. Experimental Settings and Results Analysis
3.1. Experimental Settings
The data used in the experiment are sourced from the medium and heavy plate production line of a steel plant, with a total of 19,616 data points collected. These include the energy consumption per ton of steel Y for each batch, along with corresponding energy consumption values . The anomalies in the data, as well as their relationships with specific variables and factors, have been labeled by on-site experts. All the following experiments were completed in Python.
- Experiment 1: Anomaly detection based on box plot
According to Algorithm 1, the anomalies in the energy consumption per ton of steel Y for each batch are first identified. Then, the anomalies in the sub-energy consumption values are investigated based on these results. Finally, the identified anomalies are compared with the labeled anomalies to verify the effectiveness of the algorithm. The threshold for anomaly detection was set based on the IQR method, as mentioned above. The specific parameters, such as factor 1.5 in the IQR calculation, were selected based on the nature of the data, ensuring that the threshold was sensitive enough to detect significant deviations without flagging too many false positives.
- Experiment 2: Root cause tracing based on Adam variational inference Bayesian neural network
The time series data of each process variable and are used as inputs and outputs for the LSTM model, with RMSE (Root Mean Square Error) as the evaluation metric to measure the accuracy of the model’s predictions. Based on the obtained Granger coefficients a causal relationship diagram is drawn and the weighted coefficients for each path are calculated to identify the optimal causal path. The performance is compared with traditional Granger causality analysis (GC), neural network-based Granger causality analysis (NN-GC), LSTM-based Granger causality analysis (LSTM-GC), and the proposed LSTM-based weighted Granger causality analysis (LSTM-WGC). The relevant parameter settings are shown in Table 7.
Table 7.
Parameters of the experiment causality analysis.
The correspondence between process variables and factors in the actual production process, derived from historical data, is converted into vectors according to (26) and used as the input and output for the Bayesian network. ELBO is used as the evaluation metric, and Adam is employed to accelerate the minimization of ELBO, thereby approximating with . The model’s performance is compared with three optimization algorithms: Stochastic Gradient Descent (SGD), Stochastic Gradient Descent with Momentum (SGD with momentum), and Limited-memory Broyden–Fletcher–Goldfarb–Shanno (LBFGS) algorithms. The relevant parameter settings are shown in Table 8.
Table 8.
Parameters of the experiment root cause.
3.2. Experimental Results and Analysis
- Anomaly detection based on box plot
Box plot anomaly detection is applied to the energy consumption model Y and gas consumption using the experimental data. The results are presented in Figure 11 and Figure 12, where “Mild Outliers” and “Extreme Outliers” denote anomalous data points. A comparison between the anomalies detected by the box plot and the actual anomalous data reveals a recognition accuracy of 95% for energy consumption model Y and 98% for gas consumption .
Figure 11.
Box plot diagram of energy consumption per ton of steel.
Figure 12.
Box plot diagram of gas energy consumption.
- 2.
- Root cause tracing based on Adam variational inference Bayesian neural network
- (1)
- Solving Granger causality coefficient based on LSTM
The abnormal gas consumption data from Experiment 1, along with the corresponding variables listed in Table 9, are compared using four methods: GC, NN-GC, LSTM-GC, and LSTM-WGC. The true causal relationship diagram is shown in Figure 13, with the optimal path marked in red. Based on Equations (19)–(21), the Granger causality coefficients calculated using the four methods are shown in Table 10, Table 11, Table 12 and Table 13. The resulting causal relationships are presented in Figure 14. The arrow represents the causal path, and the red arrow represents the optimal causal path.
Table 9.
Description of heating process variables.
Figure 13.
True causal relationship diagram.
Table 10.
Causal coefficients between variables obtained by GC.
Table 11.
Causal coefficients between variables obtained by NN-GC.
Table 12.
Causal coefficients between variables obtained by LSTM-GC.
Table 13.
Causal coefficients between variables obtained by LSTM-WGC.
Figure 14.
Causal relationship diagrams obtained by different algorithms. (a) GC (b) NN-GC (c) LSTM-GC (d) LSTM-WGC.
The causal paths obtained using GC and NN-GC are and , respectively. The arrow represents the causal path, and the red arrow represents the optimal causal path. Compared to Figure 13, these paths differ significantly. The causal paths obtained using LSTM-GC are and . These two paths have the same length and do not offer substantial differences, which complicates subsequent analysis. In contrast, the causal relationship diagram obtained using LSTM-WGC introduces weights, allowing for the identification of the optimal path even when the paths have the same length. As a result, only one optimal path, , is identified, and this path closely matches the true causal relationship diagram in Figure 13. Based on these simulation results, it can be concluded that the LSTM-based weighted Granger causality analysis (LSTM-WGC) method better captures the causal relationships between variables, and it performs well in causal analysis and determining causal paths.
- (2)
- Root cause tracing based on Adam variational inference Bayesian neural network
Based on expert knowledge, the training set is constructed to update the weights of the Bayesian Neural Network (BNN). During the training phase, and – are used as the input variables for the BNN. The weighted input vectors are calculated according to Formula (26). The output consists of the 15 factors listed in Section 2.2.3, as shown in Table 14. To evaluate the superiority of the Adam method, a comparison is made with other optimization methods, including SGD, SGD with momentum, and LBFGS.
Table 14.
Output factor.
During the validation of the validation set, the network outputs the probabilities of each factor, as shown in Figure 15.
Figure 15.
Factor probability obtained by Bayesian neural network.
Since the validation set only contains binary data, “1” represents the factor being abnormal and “0” represents that the factor is normal. The obtained probability needs to be quantified into binary values—that is,
where represents the probability of the corresponding factor experiencing an anomaly and indicates whether the factor is anomalous. Specifically, means the factor is anomalous and means the factor is normal. The threshold is set manually. The confusion matrix obtained from the validation set is shown in Figure 16.
Figure 16.
Confusion matrix obtained by different algorithms. (a) Adam (b) SGD (c) SGD with momentum (d) LBFGS.
According to Table 15, the Adam optimizer shows significant advantages over the other three methods in terms of accuracy and other metrics. The causal path obtained in the previous section is . The corresponding input vector to the network is . After inputting this into the network, the output is , corresponding to the factors such as steam recovery, hot air dissipation, steel temperature, process heating temperature, actual heat treatment temperature, rolling ratio, billet weight, and specification effects. This outcome aligns with the actual industrial conditions.
Table 15.
Comparison of abnormal factor identification effects.
As shown in the Table 16, compared with the existing methods commonly used in industrial sites, it can be seen that the method proposed in this paper has great advantages in accuracy, etc., which verifies the effectiveness of the method proposed in this paper.
Table 16.
Comparison of existing alternative solutions.
4. Conclusions
This study addresses the issues of anomaly detection and root cause tracing in steel energy consumption, incorporating both expert knowledge and process mechanisms along with industrial big data. It achieves precise detection of energy consumption anomalies, effective analysis of causal relationships, and deep tracing of underlying causes of anomalies. The study proposes a two-stage anomaly identification method based on box plots, introduces the LSTM-based weighted Granger causality analysis method, and establishes a Bayesian neural network model based on Adam variational inference. Furthermore, it provides an in-depth analysis of the underlying factors contributing to anomalies.
Future research will focus on optimizing the real-time performance and computational efficiency of the algorithm to meet industrial application needs. It will also enhance the model’s generalization ability and robustness to adapt to different production processes and noise environments. Additionally, the interpretability of diagnostic results will be improved for easier field application. The exploration of the interaction between anomaly detection and intelligent control systems will be pursued to establish a closed-loop control for energy consumption optimization, thus supporting the intelligent and refined management of industrial energy consumption.
5. Discussion
This paper presents a comprehensive diagnostic framework for anomaly detection, causal analysis, and root cause tracing of energy consumption in medium and heavy plate manufacturing. First, a two-stage anomaly detection method based on box plot analysis is proposed for identifying energy consumption anomalies. Then, a weighted Granger causality analysis method based on Long Short-Term Memory (LSTM) networks is introduced to effectively capture the nonlinear and temporal relationships of process variables, enabling the identification of causal paths for anomalies. Finally, a root cause tracing algorithm is proposed, utilizing an Adam-based variational inference Bayesian neural network to uncover the underlying factors contributing to anomalies. Experimental results demonstrate that the proposed method achieves high accuracy in practical applications. Additionally, a comparison with other methods shows that the proposed approach outperforms alternatives in causal analysis and anomaly factor accuracy metrics.
Author Contributions
Conceptualization, Q.G.; methodology, F.L. and J.G.; software, H.L.; validation, F.L. All authors have read and agreed to the published version of the manuscript.
Funding
This research received no external funding.
Data Availability Statement
The data that support the findings of this study are available upon request from the corresponding author.
Conflicts of Interest
The authors declare no conflicts of interest.
References
- Ghobakhloo, M.; Fathi, M. Industry 4.0 and opportunities for energy sustainability. J. Clean. Prod. 2021, 295, 126427. [Google Scholar] [CrossRef]
- Wang, E.Z.; Lee, C.C.; Li, Y. Assessing the impact of industrial robots on manufacturing energy intensity in 38 countries. Energy Econ. 2022, 105, 105748. [Google Scholar] [CrossRef]
- Flues, F.; Rübbelke, D.; Vögele, S. An analysis of the economic determinants of energy efficiency in the European iron and steel industry. J. Clean. Prod. 2015, 104, 250–263. [Google Scholar] [CrossRef]
- Guo, J.; Wang, X.; Xue, W.; Zhao, Y. System identification with binary-valued observations under data tampering attacks. IEEE Trans. Autom. Control 2021, 66, 3825–3832. [Google Scholar] [CrossRef]
- Guo, J.; Zhang, Q.; Zhao, Y. Identification of FIR Systems with binary-valued observations under replay attacks. Automatica 2025, 172, 112001. [Google Scholar] [CrossRef]
- Cano, A.; Arévalo, P.; Jurado, F. Neural network predictive control in renewable systems (HKT-PV) for delivered power smoothing. J. Energy Storage 2024, 87, 111332. [Google Scholar] [CrossRef]
- Morgoeva, A.D.; Morgoev, I.D.; Klyuev, R.V.; Kochkovskaya, S.S. Forecasting hourly electricity generation by a solar power plant using machine learning algorithms. Bull. Tomsk. Polytech. Univ. Geo Assets Eng. 2023, 334, 7–19. [Google Scholar] [CrossRef]
- Ocampo-Martinez, C. Energy efficiency in discrete-manufacturing systems: Insights, trends, and control strategies. J. Manuf. Syst. 2019, 52, 131–145. [Google Scholar]
- Gao, K.; Huang, Y.; Sadollah, A.; Wang, L. A review of energy-efficient scheduling in intelligent production systems. Complex Intell. Syst. 2020, 6, 237–249. [Google Scholar] [CrossRef]
- Kano, M.; Nakagawa, Y. Data-based process monitoring, process control, and quality improvement: Recent developments and applications in steel industry. Comput. Chem. Eng. 2008, 32, 12–24. [Google Scholar] [CrossRef]
- Aheleroff, S.; Xu, X.; Lu, Y.; Aristizabal, M.; Velásquez, J.P.; Joa, B.; Valencia, Y. IoT-enabled smart appliances under industry 4.0: A case study. Adv. Eng. Inform. 2020, 43, 101043. [Google Scholar] [CrossRef]
- Moshkbar-Bakhshayesh, K.; Ghofrani, M.B. Development of a robust identifier for NPPs transients combining ARIMA model and EBP algorithm. IEEE Trans. Nucl. Sci. 2014, 61, 2383–2391. [Google Scholar] [CrossRef]
- Hong, J.; Yan, Y.; Kuruoglu, E.E.; Chan, W.K. Multivariate time series forecasting with GARCH models on graphs. IEEE Trans. Signal Inf. Process. Over Netw. 2023, 9, 557–568. [Google Scholar] [CrossRef]
- Liang, H.W.; Chung, W.H.; Kuo, S.Y. Coding-aided K-means clustering blind transceiver for space shift keying MIMO systems. IEEE Trans. Wirel. Commun. 2015, 15, 103–115. [Google Scholar] [CrossRef]
- Chen, Z.; Li, Y.F. Anomaly detection based on enhanced DBScan algorithm. Procedia Eng. 2011, 15, 178–182. [Google Scholar] [CrossRef]
- Jiang, Q.; Huang, B.; Yan, X. GMM and optimal principal components-based Bayesian method for multimode fault diagnosis. Comput. Chem. Jiang Eng. 2016, 84, 338–349. [Google Scholar] [CrossRef]
- Zhang, S.; Zhao, C. Stationarity test and Bayesian monitoring strategy for fault detection in nonlinear multimode processes. Chemom. Intell. Lab. Syst. 2017, 168, 45–61. [Google Scholar] [CrossRef]
- Yuan, T.; Qin, S.J. Root cause diagnosis of plant-wide oscillations using Granger causality. J. Process Control. 2014, 24, 450–459. [Google Scholar] [CrossRef]
- Li, J.; Cao, X.; Chen, R.; Zhang, X.; Huang, X.; Qu, Y. Graph neural network architecture search for rotating machinery fault diagnosis based on reinforcement learning. Mech. Syst. Signal Process. 2023, 202, 110701. [Google Scholar] [CrossRef]
- Amblard, P.O.; Michel, O.J.; Richard, C.; Honeine, P. A Gaussian process regression approach for testing Granger causality between time series data. In Proceedings of the 2012 IEEE International Conference on Acoustics, Speech and Signal Processing (ICASSP), Kyoto, Japan, 25–30 March 2012; IEEE: Piscataway, NJ, USA, 2012; pp. 3357–3360. [Google Scholar]
- Tank, A.; Covert, I.; Foti, N.; Shojaie, A.; Fox, E.B. Neural granger causality. IEEE Trans. Pattern Anal. Mach. Intell. 2021, 44, 4267–4279. [Google Scholar] [CrossRef] [PubMed]
- Zhang, X.; Deng, Z.; Jian, Y.; Huang, Q.; Peng, H.; Ma, Q. Reliability analysis of nuclear safety-class DCS based on TS fuzzy fault tree and Bayesian network. Nucl. Eng. Technol. 2023, 55, 1901–1910. [Google Scholar] [CrossRef]
- Cai, B.; Liu, Y.; Xie, M. A dynamic-Bayesian-network-based fault diagnosis methodology considering transient and intermittent faults. IEEE Trans. Autom. Sci. Eng. 2016, 14, 276–285. [Google Scholar] [CrossRef]
- Sun, W.; Paiva, A.R.; Xu, P.; Sundaram, A.; Braatz, R.D. Fault detection and identification using Bayesian recurrent neural networks. Comput. Chem. Eng. 2020, 141, 106991. [Google Scholar] [CrossRef]
- Gaura, E.I.; Brusey, J.; Allen, M.; Wilkins, R.; Goldsmith, D.; Rednic, R. Edge mining the internet of things. IEEE Sens. J. 2013, 13, 3816–3825. [Google Scholar] [CrossRef]
- Liu, Y.; Chen, H.S.; Wu, H.; Dai, Y.; Yao, Y.; Yan, Z. Simplified Granger causality map for data-driven root cause diagnosis of process disturbances. J. Process Control. 2020, 95, 45–54. [Google Scholar] [CrossRef]
- Yuan, X.; Li, L.; Shardt, Y.A.; Wang, Y.; Yang, C. Deep learning with spatiotemporal attention-based LSTM for industrial soft sensor model development. IEEE Trans. Ind. Electron. 2020, 68, 4404–4414. [Google Scholar] [CrossRef]
- Montalto, A.; Stramaglia, S.; Faes, L.; Tessitore, G.; Prevete, R.; Marinazzo, D. Neural networks with non-uniform embedding and explicit validation phase to assess Granger causality. Neural Netw. 2015, 71, 159–171. [Google Scholar] [CrossRef] [PubMed]
- Jospin, L.V.; Laga, H.; Boussaid, F.; Buntine, W.; Bennamoun, M. Hands-on Bayesian neural networks—A tutorial for deep learning users. IEEE Comput. Intell. Mag. 2022, 17, 29–48. [Google Scholar] [CrossRef]
- Gal, Y.; Ghahramani, Z. Dropout as a bayesian approximation: Representing model uncertainty in deep learning. In Proceedings of the International Conference on Machine Learning, PMLR, New York, NY, USA, 19–24 June 2016; pp. 1050–1059. [Google Scholar]
- Kingma, D.P. Adam: A method for stochastic optimization. arXiv 2014, arXiv:1412.6980. [Google Scholar]
Disclaimer/Publisher’s Note: The statements, opinions and data contained in all publications are solely those of the individual author(s) and contributor(s) and not of MDPI and/or the editor(s). MDPI and/or the editor(s) disclaim responsibility for any injury to people or property resulting from any ideas, methods, instructions or products referred to in the content. |
© 2025 by the authors. Licensee MDPI, Basel, Switzerland. This article is an open access article distributed under the terms and conditions of the Creative Commons Attribution (CC BY) license (https://creativecommons.org/licenses/by/4.0/).
