Parallel Implementation of the Algorithm to Compute Forest Fire Impact on Infrastructure Facilities of JSC Russian Railways
Abstract
:1. Introduction
2. Initial Data
3. Mathematical Statement and Methodology
- In the enclosing structures, heat exchange is carried out by the heat conduction mechanism;
- Two-dimensional setting;
- The shape of the fire front is a parabola;
- Thermophysical properties of building materials do not depend on temperature;
- A catastrophic scenario of fire weather is assumed when there is no moisture in the surface layer of the wall;
- Disregard wood pyrolysis;
- The main mechanism of heat transfer from the line of fire to the building is heat radiation;
- The temperature of the forest fire front is taken into account using the Stefan-Boltzmann law;
- The impact of the forest fire front on the wall is determined by qff and Tff.
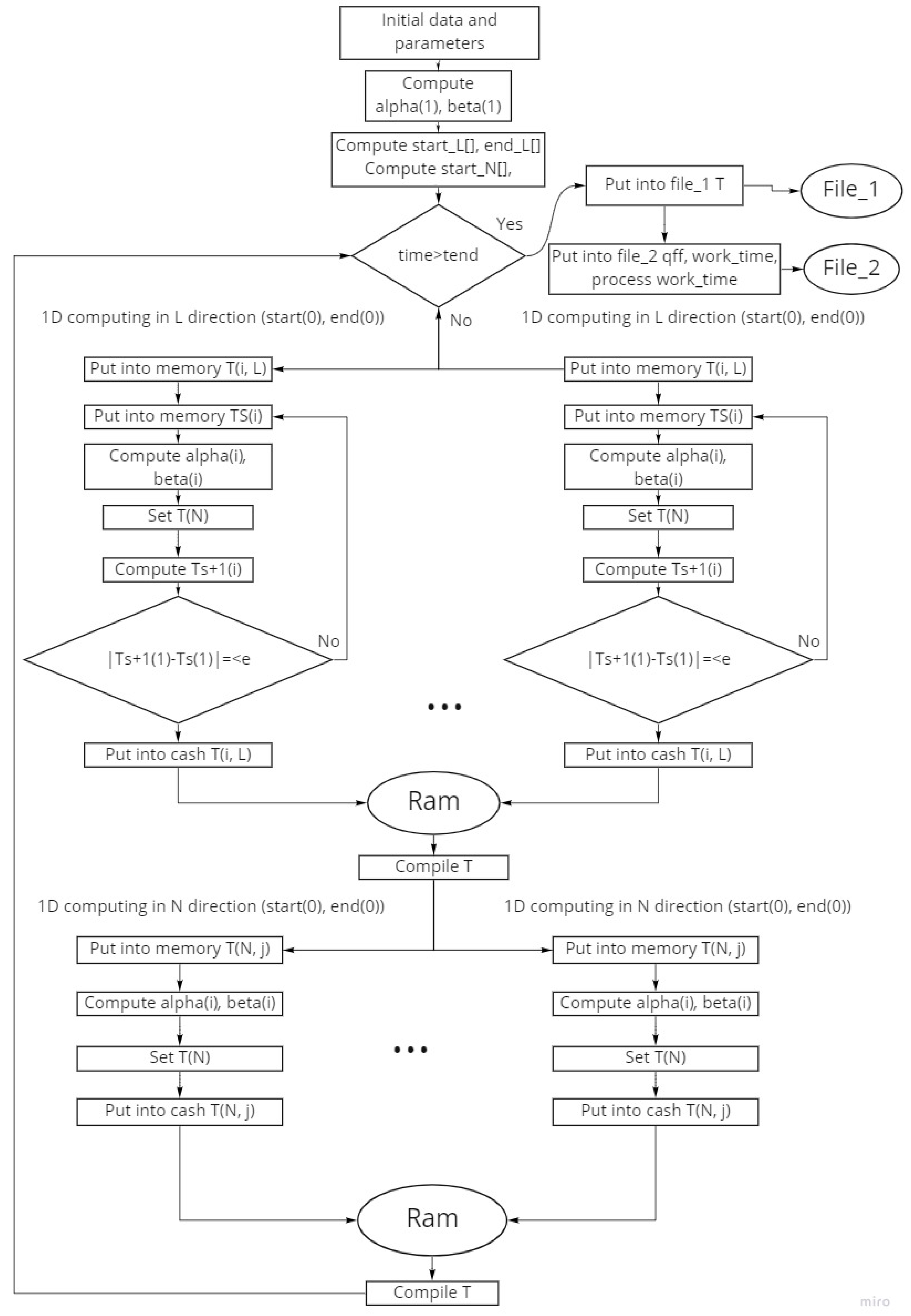
4. Parallel Implementation
- 2 Intel Xeon Gold 6140 processors, 2.3 GHz, 18 cores/36 threads, 10.4 GT/s, 24.75 MB cache, Turbo, HT (140 W), DDR4 2666 MHz.
- 8 memory modules RDIMM 32 GB, 2666 MT/s.
- Mellanox Technologies MT27800 ConnectX-5 Single Port Infiniband Adapter, EDR (name ib0 within host or cn-X-ib0 within cluster).
- Dual Port Ethernet NIC—Intel Corporation Ethernet Controller X710 for 10GbE SFP + (eth0).
- SATA 200 GB.
- 2 Intel Xeon Gold 5118 processors, 2.3 GHz, 18 cores/36 threads, 10.4 GT/s, 24.75 MB cache, Turbo, HT (140 W), DDR4 2666 MHz.
- 8 memory modules RDIMM 32 GB, 2666 MT/s.
- Mellanox Technologies MT27800 ConnectX-5 Single Port Adapter Infiniband, EDR (name ib0 within the host or nodeXXX-ib0 within the cluster).
- Dual Port Ethernet NIC—Intel Corporation Ethernet Controller X710 for 10GbE SFP + (em0).
- Dual Port Ethernet NIC—I350 Gigabit Network Connection (em3).
- 4 SAS disks 1.8 TB, 10,000 rpm
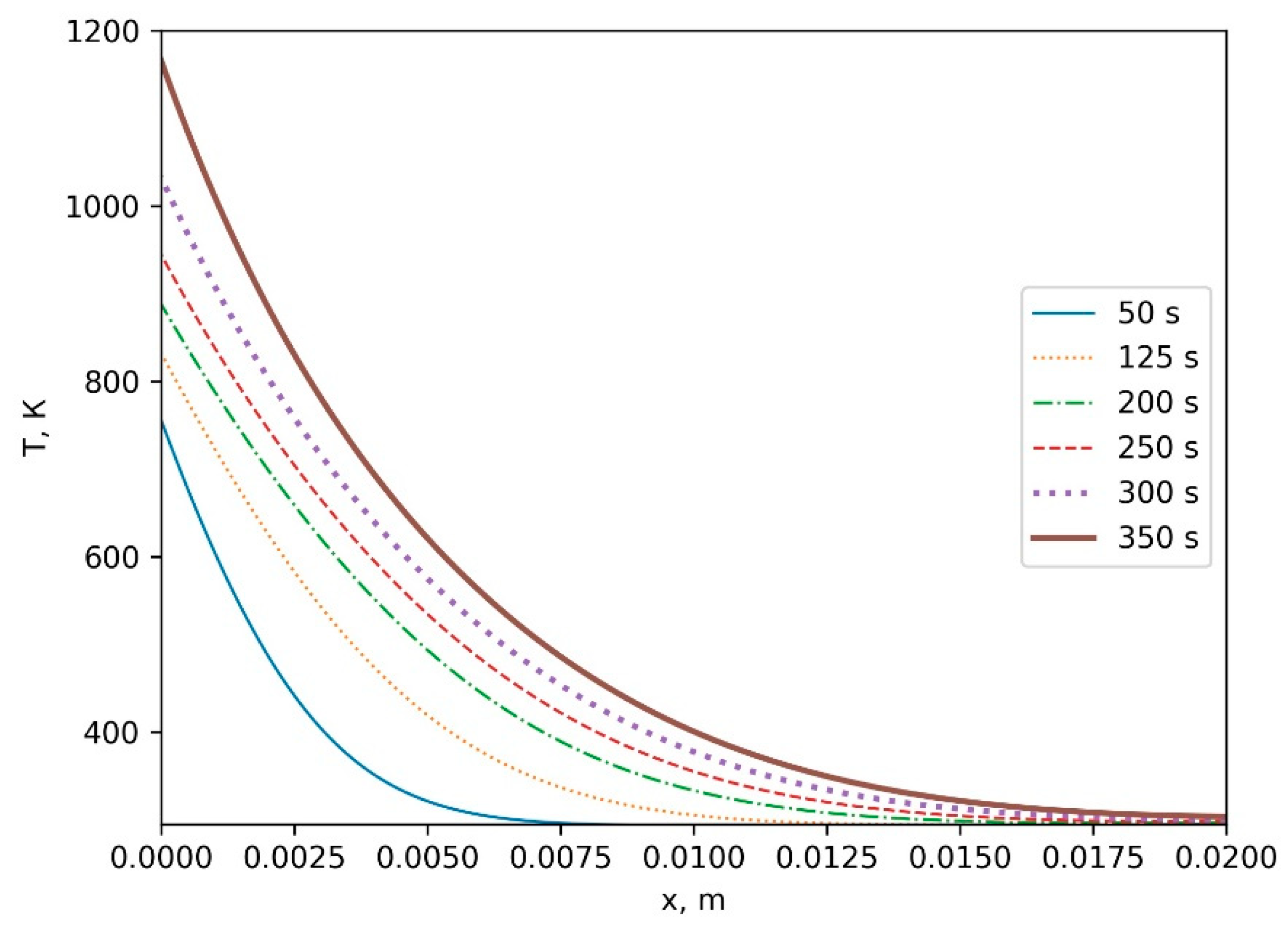
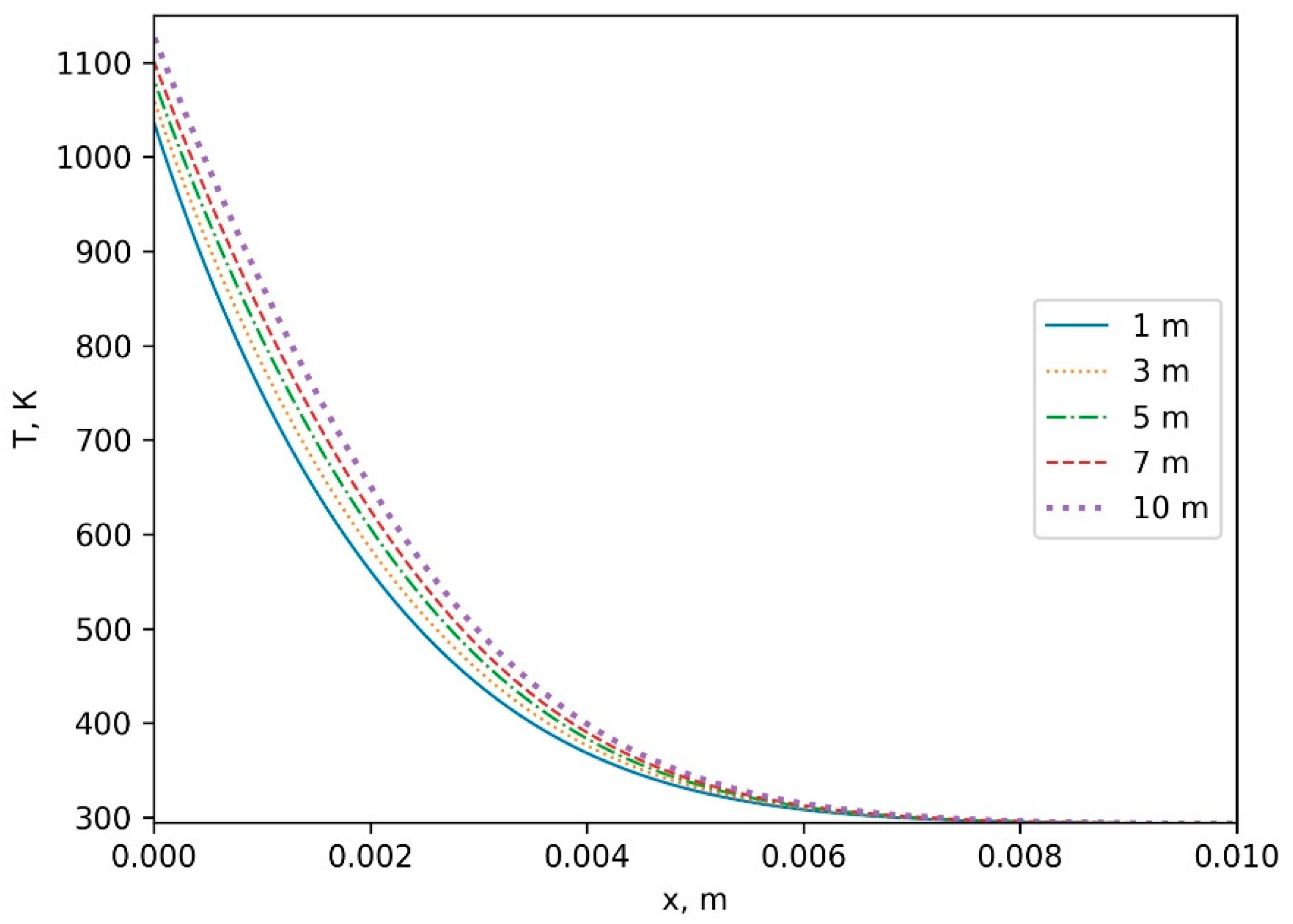
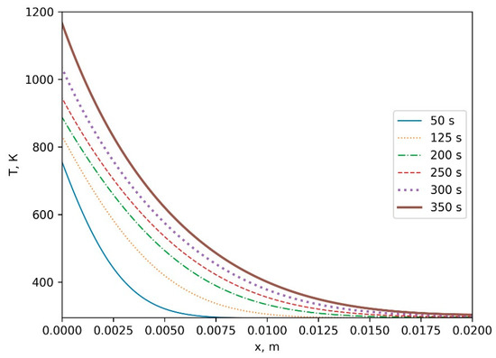
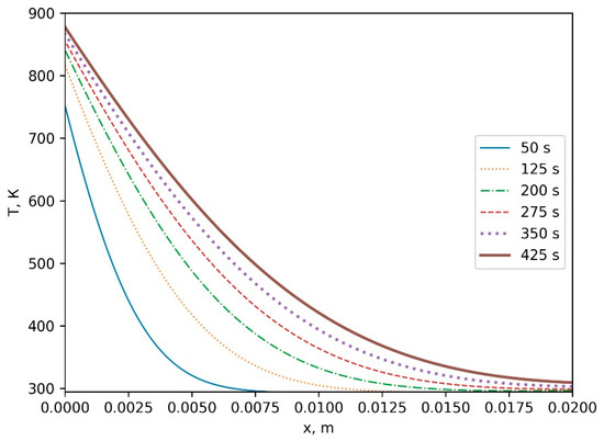
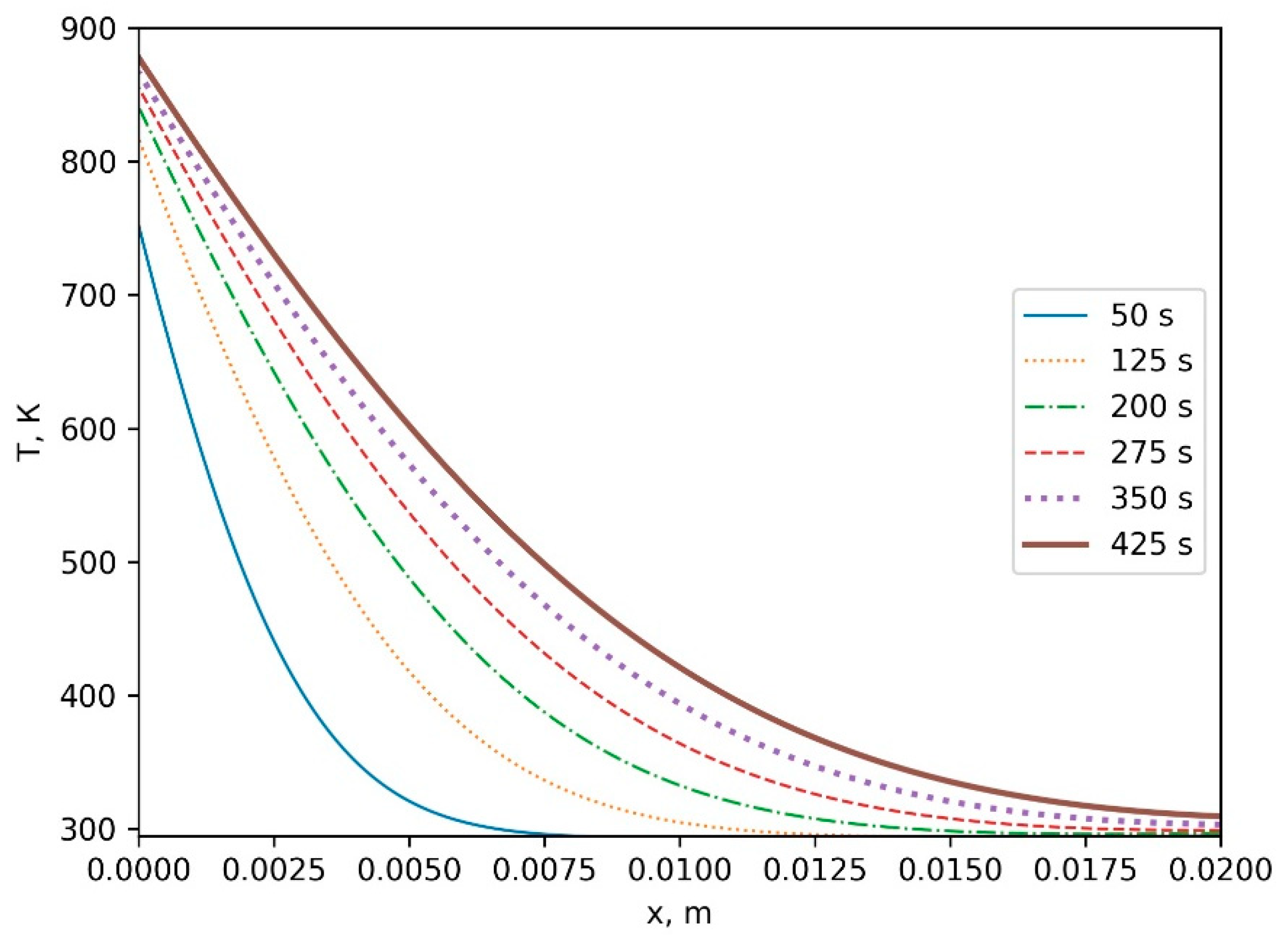
5. Results and Discussion
6. Conclusions
Author Contributions
Funding
Institutional Review Board Statement
Informed Consent Statement
Data Availability Statement
Conflicts of Interest
References
- McNamee, M.; Meacham, B.; van Hees, P.; Bisby, L.; Chow, W.K.; Coppalle, A.; Weckman, B. IAFSS agenda 2030 for a fire safe world. Fire Saf. J. 2019, 110, 102889. [Google Scholar] [CrossRef]
- Liu, D.; Xu, Z.; Wang, Z.; Zhou, Y.; Fan, C. Estimation of effective coverage rate of fire station services based on real-time travel times. Fire Saf. J. 2021, 120, 103021. [Google Scholar] [CrossRef]
- Calkin, D.E.; Gebert, K.M.; Jones, J.G.; Neilson, R.P. Forest service large fire area burned and suppression expenditure trends, 1970–2002. J. For. 2005, 103, 179–183. [Google Scholar] [CrossRef]
- Short, K.C. A spatial database of wildfires in the United States, 1992–2011. Earth Syst. Sci. Data 2014, 6, 1–27. [Google Scholar] [CrossRef] [Green Version]
- Monedero, S.; Ramírez, J.; Molina-Terrén, D.; Cardil, A. Simulating wildfires backwards in time from the final fire perimeter in point-functionalfire models. Environ. Model. Softw. 2017, 92, 163–168. [Google Scholar] [CrossRef]
- Zárate, L.; Arnaldos, J.; Casal, J. Establishing safety distances for wildland fires. Fire Saf. J. 2008, 43, 565–575. [Google Scholar] [CrossRef]
- Bao, T.; Liu, S.; Qin, Y.; Liu, Z.L. 3D modeling of coupled soil heat and moisture transport beneath a surface fire. Int. J. Heat Mass Transf. 2019, 149, 119163. [Google Scholar] [CrossRef]
- Certini, G. Effects of fire on properties of forest soils: A review. Oecologia 2005, 143, 1–10. [Google Scholar] [CrossRef]
- Knicker, H. How does fire affect the nature and stability of soil organic nitrogen and carbon? A review. Biogeochemistry 2007, 85, 91–118. [Google Scholar] [CrossRef]
- González-Pérez, J.A.; Gonzalez-Vila, F.J.; Almendros, G.; Knicker, H. The effect of fire on soil organic matter—A review. Environ. Int. 2004, 30, 855–870. [Google Scholar] [CrossRef]
- Massman, W.J.; Frank, J.M.; Mooney, S.J. Advancing investigation and physical modeling of first-order fire effects on soils. Fire Ecol. 2010, 6, 36–54. [Google Scholar] [CrossRef]
- Peinl, P. A retrospective on ASPires—An advanced system for the prevention and early detection of forest fires. Internet Things 2021, 100456. [Google Scholar] [CrossRef]
- Hirsch, K.; Martell, D. A review of initial attack fire crew productivity and effectiveness. Int. J. Wildland Fire 1996, 6, 199–215. [Google Scholar] [CrossRef]
- Frangieh, N.; Accary, G.; Rossi, J.-L.; Morvan, D.; Meradji, S.; Marcelli, T.; Chatelon, F.-J. Fuelbreak effectiveness against wind-driven and plume-dominated fires: A 3D numerical study. Fire Saf. J. 2021, 124, 103383. [Google Scholar] [CrossRef]
- Klimont, Z.; Kupiainen, K.; Heyes, C.; Purohit, P.; Cofala, J.; Rafaj, P.; Borken-Kleefeld, J.; Schöpp, W. Global anthropogenic emissions of particulate matter including black carbon. Atmos. Chem. Phys. Discuss. 2017, 17, 8681–8723. [Google Scholar] [CrossRef] [Green Version]
- Kadir, E.A.; Rosa, S.L.; Syukur, A.; Othman, M.; Daud, H. Forest fire spreading and carbon concentration identification in tropical region Indonesia. Alex. Eng. J. 2021. [Google Scholar] [CrossRef]
- Thomas, G.; Rosalie, V.; Olivier, C.; Maria, D.G.A.; Antonio, L.P. Modelling forest fire and firebreak scenarios in a mediterranean mountainous catchment: Impacts on sediment loads. J. Environ. Manag. 2021, 289, 112497. [Google Scholar] [CrossRef]
- Mizukami, T.; Utiskul, Y.; Quintiere, J.G. A compartment burning rate algorithm for a zone model. Fire Saf. J. 2016, 79, 57–68. [Google Scholar] [CrossRef]
- Zhu, Q.; Liu, Y.; Jia, R.; Hua, S.; Shao, T.; Wang, B. A numerical simulation study on the impact of smoke aerosols from Russianforestfires on the air pollution over Asia. Atmos. Environ. 2018, 182, 263–274. [Google Scholar] [CrossRef]
- Miller, C.; Urban, D.L. Connectivity of forest fuels and surface fire regimes. Landsc. Ecol. 2000, 15, 145–154. [Google Scholar] [CrossRef]
- Loehle, C. Applying landscape principles to fire hazard reduction. For. Ecol. Manag. 2004, 198, 261–267. [Google Scholar] [CrossRef] [Green Version]
- Ager, A.A.; Day, M.A.; Finney, M.A.; Vance-Borland, K.; Vaillant, N.M. Analyzing the transmission of wildfire exposure on a fire-prone landscape in Oregon, USA. For. Ecol. Manag. 2014, 334, 377–390. [Google Scholar] [CrossRef]
- Schertzer, E.; Staver, A.C.; Levin, S. Implications of the spatial dynamics of fire spread for the bistability of savanna and forest. J. Math. Biol. 2015, 70, 329–341. [Google Scholar] [CrossRef] [PubMed]
- Oliveira, T.M.; Barros, A.M.G.; Ager, A.A.; Fernandes, P.M. Assessing the effect of a fuel break network to reduce burnt area and wildfire risk transmission. Int. J. Wildland Fire 2016, 25, 619–632. [Google Scholar] [CrossRef]
- Viedma, O.; Angeler, D.G.; Moreno, J.M. Landscape structural features control fire size in a Mediterranean forested area of central Spain. Int. J. Wildland Fire 2009, 18, 575–583. [Google Scholar] [CrossRef]
- Luo, M.; He, Y.; Beck, V. Application of field model and two-zone model to flashover fires in a full-scale multi-room single level building. Fire Saf. J. 1997, 29, 1–25. [Google Scholar] [CrossRef]
- Rein, G.; Bar-Ilan, A.; Fernandez-Pello, A.C.; Alvares, N. A comparison of three models for the simulation of accidental fires. J. Fire Prot. Eng. 2006, 16, 183–209. [Google Scholar] [CrossRef]
- McGrattan, K.; Baum, H.; Rehm, R. Large eddy simulations of smoke movement. Fire Saf. J. 1998, 30, 161–178. [Google Scholar] [CrossRef]
- Yeoh, G.; Yuen, R.; Chueng, S.; Kwok, W. On modelling combustion, radiation and soot processes in compartment fires. Build. Environ. 2003, 38, 771–785. [Google Scholar] [CrossRef]
- Keramida, E.P.; Boudouvis, A.G.; Lois, E.; Markatos, N.; Karayannis, A.N. Evaluation of two radiation models in CFD fire modeling. Numer. Heat Transf. Appl. 2001, 39, 711–722. [Google Scholar] [CrossRef]
- D’Amico, D.F.; Quiring, S.M.; Maderia, C.M.; McRoberts, D.B. Improving the hurricane outage prediction model by includingtree species. Clim. Risk Manag. 2019, 25, 100193. [Google Scholar] [CrossRef]
- Liu, D.; Xu, Z.; Fan, C. Predictive analysis of fire frequency based on daily temperatures. Nat. Hazards 2019, 97, 1175–1189. [Google Scholar] [CrossRef]
- Li, P.; Zhao, W. Image fire detection algorithms based on convolutional neural networks. Case Stud. Therm. Eng. 2020, 19, 100625. [Google Scholar] [CrossRef]
- Liu, D.; Xu, Z.; Zhou, Y.; Fan, C. Heat map visualisation offire incidents based on transformed sigmoid risk model. Fire Saf. J. 2019, 109, 102863. [Google Scholar] [CrossRef]
- Xu, Z.; Liu, D.; Yan, L. Temperature-based fire frequency analysis using machine learning: A case of Changsha, China. Clim. Risk Manag. 2021, 31, 100276. [Google Scholar] [CrossRef]
- Kwon, B.; Ejaz, F.; Hwang, L.K. Machine learning for heat transfer correlations. Int. Commun. Heat Mass Transf. 2020, 116, 104694. [Google Scholar] [CrossRef]
- Plourde, F.; Doan-Kim, S.; Dumas, J.; Malet, J. A new model of wildland fire simulation. Fire Saf. J. 1997, 29, 283–299. [Google Scholar] [CrossRef]
- Novozhilov, V.; Moghtaderi, B.; Fletcher, D.; Kent, J. Computational fluid dynamics modelling of wood combustion. Fire Saf. J. 1996, 27, 69–84. [Google Scholar] [CrossRef]
- Morvan, D.; Dupuy, J.L. Modeling of fire spread through a forest fuel bed using a multiphase formulation. Combust. Flame 2001, 127, 1981–1984. [Google Scholar] [CrossRef]
- Mell, W.; Maranghides, A.; McDermott, R.; Manzello, S.L. Numerical simulation and experiments of burning Douglasfir trees. Combust. Flame 2009, 156, 2023–2041. [Google Scholar] [CrossRef]
- Bufacchi, P.; Krieger, G.C.; Mell, W.; Alvarado, E.; Santos, J.C.; Carvalho, J.A. Numerical simulation of surface forest fire in Brazilian Amazon. Fire Saf. J. 2016, 79, 44–56. [Google Scholar] [CrossRef] [Green Version]
- Renane, R.; Chetehouna, K.; Séro-Guillaume, O.; Nour, A.; Rudz, S. Numerical simulations of laminar burning velocities of a major volatile organic compound involved in accelerating forest fires. Appl. Therm. Eng. 2013, 51, 670–676. [Google Scholar] [CrossRef]
- Singh, K.R.; Neethu, K.; Madhurekaa, K.; Harita, A.; Mohan, P. Parallel SVM model for forest fire prediction. Soft Comput. Lett. 2021, 3, 100014. [Google Scholar] [CrossRef]
- Hegedűs, F.; Krähling, P.; Lauterborn, W.; Mettin, R.; Parlitz, U. High-performance GPU computations in nonlinear dynamics: An efficient tool for new discoveries. Meccanica 2020, 55, 2493–2504. [Google Scholar] [CrossRef] [Green Version]
- Pandya, S.B.; Patel, R.H.; Pandya, A.S. Evaluation of power consumption of entry-level and mid-range multi-core mobile processor. In Proceedings of the 4th International Conference on Electronics, Communications and Control Engineering, Seoul, Korea, 9–11 April 2021; pp. 32–39. [Google Scholar]
- Ma, Z.; Hong, K.; Gu, L. Volume: Enable large-scale in-memory computation on commodity clusters. In Proceedings of the 2013 IEEE 5th International Conference on Cloud Computing Technology and Science, Bristol, UK, 2–5 December 2013; pp. 56–63. [Google Scholar]
- Brun, C.; Artés, T.; Cencerrado, A.; Margalef, T.; Cortés, A. A high performance computing framework for continental-scale forest fire spread prediction. Procedia Comput. Sci. 2017, 108, 1712–1721. [Google Scholar] [CrossRef]
- Innocenti, E.; Silvani, X.; Muzy, A.; Hill, D.R. A software framework for fine grain parallelization of cellular models with OpenMP: Application to fire spread. Environ. Model. Softw. 2009, 24, 819–831. [Google Scholar] [CrossRef]
- Karafyllidis, I. Design of a dedicated parallel processor for the prediction of forest fire spreading using cellular automata and genetic algorithms. Eng. Appl. Artif. Intell. 2004, 17, 19–36. [Google Scholar] [CrossRef]
- Bianchini, G.; Caymes-Scutari, P.; Méndez-Garabetti, M. Evolutionary-statistical system: A parallel method for improving forest fire spread prediction. J. Comput. Sci. 2015, 6, 58–66. [Google Scholar] [CrossRef]
- Asllanaj, F.; Contassot-Vivier, S.; Botella, O.; França, F.H. Numerical solutions of radiative heat transfer in combustion systems using a parallel modified discrete ordinates method and several recent formulations of WSGG model. J. Quant. Spectrosc. Radiat. Transf. 2021, 274, 107863. [Google Scholar] [CrossRef]
- Kuleshov, A.; Chetverushkin, B.; Myshetskaya, E. Parallel computing in forest fires two-dimension modeling. Comput. Fluids 2013, 80, 202–206. [Google Scholar] [CrossRef]
- Emerson, D.R.; Ecer, A.; Periaux, J.; Satoruka, N.; Fox, P. Parallel simulation of forest fire spread due to firebrand transport. In Parallel Computational Fluid Dynamics ’97: Recent Developments and Advances Using Parallel Computers; Emerson, D., Fox, P., Satofuka, N., Ecer, A., Periaux, J., Eds.; North Holland: Haarlem, The Netherlands, 1998; pp. 115–121. [Google Scholar]
- Caymes-Scutari, P.; Tardivo, M.L.; Bianchini, G.; Méndez-Garabetti, M. Dynamic Tuning of a Forest Fire Prediction Parallel Method. Communications in Computer and Information Science; 1184 CCIS; CACIC: Río Cuarto, Argentina, 2019; pp. 19–34. [Google Scholar] [CrossRef]
- Artés, T.; Cencerrado, A.; Cortés, A.; Margalef, T. Relieving the effects of uncertainty in forest fire spread prediction by hybrid MPI-OpenMP parallel strategies. Procedia Comput. Sci. 2013, 18, 2278–2287. [Google Scholar] [CrossRef] [Green Version]
- Cencerrado, A.; Artés, T.; Cortes, A.; Margalef, T. Relieving uncertainty in forest fire spread prediction by exploiting multicore architectures. Procedia Comput. Sci. 2015, 51, 1752–1761. [Google Scholar] [CrossRef] [Green Version]
- Denham, M.; Laneri, K. Using efficient parallelization in graphic processing units to parameterize stochastic fire propagation models. J. Comput. Sci. 2018, 25, 76–88. [Google Scholar] [CrossRef] [Green Version]
- The Open MPI Organization. Open MPI: Open Source High Performance Computing. Available online: https://www.open-mpi.org/ (accessed on 20 October 2021).
- The OpenMP API Specification for Parallel Programming. Available online: https://www.openmp.org/ (accessed on 29 September 2021).
- CUDA Toolkit. Available online: https://developer.nvidia.com/cuda-toolkit (accessed on 29 September 2021).
- Baranovskiy, N.; Malinin, A. Mathematical simulation of forest fire impact on industrial facilities and wood-based buildings. Sustainability 2020, 12, 5475. [Google Scholar] [CrossRef]
- Gosstroy. Thermal Performance of the Buildings; Gosstroy: Moscow, Russia, 2003. (In Russian) [Google Scholar]
- Zabolotnyi, A.E.; Zabolotnaya, M.M.; Timoshin, V.N. Determining the regions of safe use of solidfuel generators of fire-extinguishing aerosols. Issues Spec. Eng. 1995, 7, 15–22. (In Russian) [Google Scholar]
- Samarskii, A.A.; Vabishchevich, P.N. Computational Heat Transfer; Volume 1: Mathematical Modelling; Wiley: Chichester, UK, 1995; p. 418. [Google Scholar]
- Samarskii, A.A.; Vabishchevich, P.N. Computational Heat Transfer; Volume 2: The Finite Difference Method; Wiley: Chichester, UK, 1995; p. 432. [Google Scholar]
- Valendik, E.N.; Kosov, I.V. Effect of thermal radiation of forest fire on the environment. Contemp. Probl. Ecol. 2008, 1, 399–403. [Google Scholar] [CrossRef]
- Baranovskiy, N.V. Forest fire danger assessment using SPDM-model of computation for massive parallel system. Int. Rev. Modeling Simulation. 2017, 10, 193–201. [Google Scholar]
- Baranovskiy, N.V.; Malinin, A. Mathematical simulation of forest fire front influence on wood-based building using one-dimensional model of heat transfer. E3S Web Conf. 2020, 200, 03007. [Google Scholar] [CrossRef]














| Material | |||
|---|---|---|---|
| Pine wood | 0.12 | 1670 | 500 |
| Birch wood | 0.28 | 2200 | 440 |
| Glued plywood | 0.12 | 2300 | 600 |
| Cardboard | 0.18 | 2300 | 1000 |
| Fiberboard (1000) | 0.15 | 2300 | 1000 |
| Fiberboard (800) | 0.13 | 2300 | 800 |
| Ignition Delay, s | Heat Flux to the Surface, kW/m2 | Surface Temperature, K |
|---|---|---|
| 63.5 | 12.5 | 658 |
| 45.0 | 21 | 700 |
| 11.1 | 42 | 726 |
| 2.6 | 84 | 773 |
| 0.4 | 210 | 867 |
| Paint | Absorption Coefficient |
|---|---|
| Pure wood | 0.6 |
| Gray | 0.7 |
| White | 0.3 |
| Blue | 0.6 |
| Straw-colored | 0.45 |
| Scenario | Series 1 | Series 2 | Series 3 |
|---|---|---|---|
| 1 (surface temperature) | 10% | 15% | 210% |
| 1 (in-depth temperature) | 13% | 18% | 212% |
| 2 (surface temperature) | 12% | 14% | 12% |
| 2 (in-depth temperature) | 17% | 19% | 22% |
| 3 (surface temperature) | 13% | 15% | 27% |
| 3 (in-depth temperature) | 15% | 17% | 29% |
Publisher’s Note: MDPI stays neutral with regard to jurisdictional claims in published maps and institutional affiliations. |
© 2021 by the authors. Licensee MDPI, Basel, Switzerland. This article is an open access article distributed under the terms and conditions of the Creative Commons Attribution (CC BY) license (https://creativecommons.org/licenses/by/4.0/).
Share and Cite
Baranovskiy, N.V.; Podorovskiy, A.; Malinin, A. Parallel Implementation of the Algorithm to Compute Forest Fire Impact on Infrastructure Facilities of JSC Russian Railways. Algorithms 2021, 14, 333. https://doi.org/10.3390/a14110333
Baranovskiy NV, Podorovskiy A, Malinin A. Parallel Implementation of the Algorithm to Compute Forest Fire Impact on Infrastructure Facilities of JSC Russian Railways. Algorithms. 2021; 14(11):333. https://doi.org/10.3390/a14110333
Chicago/Turabian StyleBaranovskiy, Nikolay Viktorovich, Aleksey Podorovskiy, and Aleksey Malinin. 2021. "Parallel Implementation of the Algorithm to Compute Forest Fire Impact on Infrastructure Facilities of JSC Russian Railways" Algorithms 14, no. 11: 333. https://doi.org/10.3390/a14110333
APA StyleBaranovskiy, N. V., Podorovskiy, A., & Malinin, A. (2021). Parallel Implementation of the Algorithm to Compute Forest Fire Impact on Infrastructure Facilities of JSC Russian Railways. Algorithms, 14(11), 333. https://doi.org/10.3390/a14110333

