Impact of M-POSS on Selected Properties of Experimental Methacrylate Matrices and Composites †
Abstract
1. Introduction
2. Materials and Methods
3. Results
4. Discussion
5. Conclusions
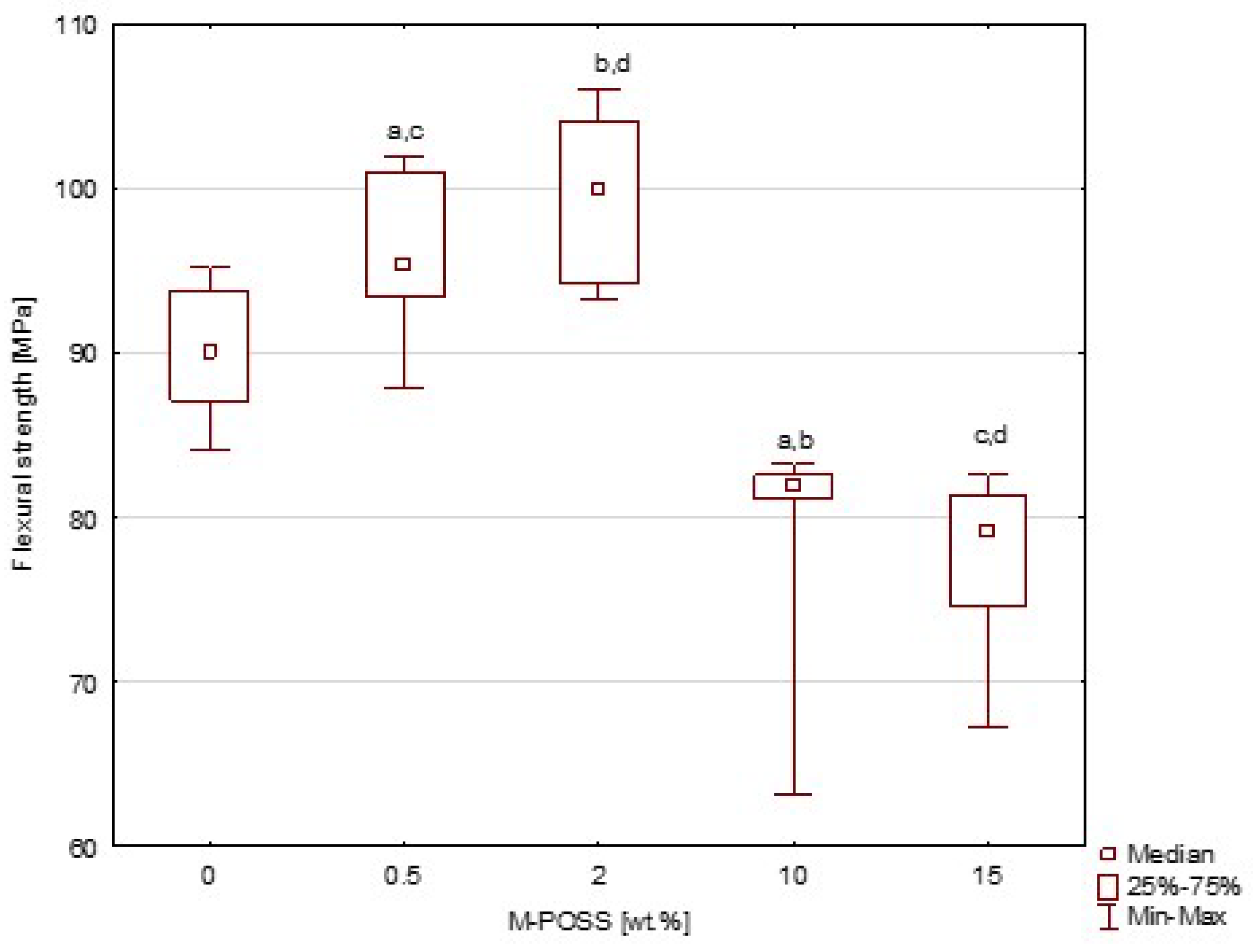
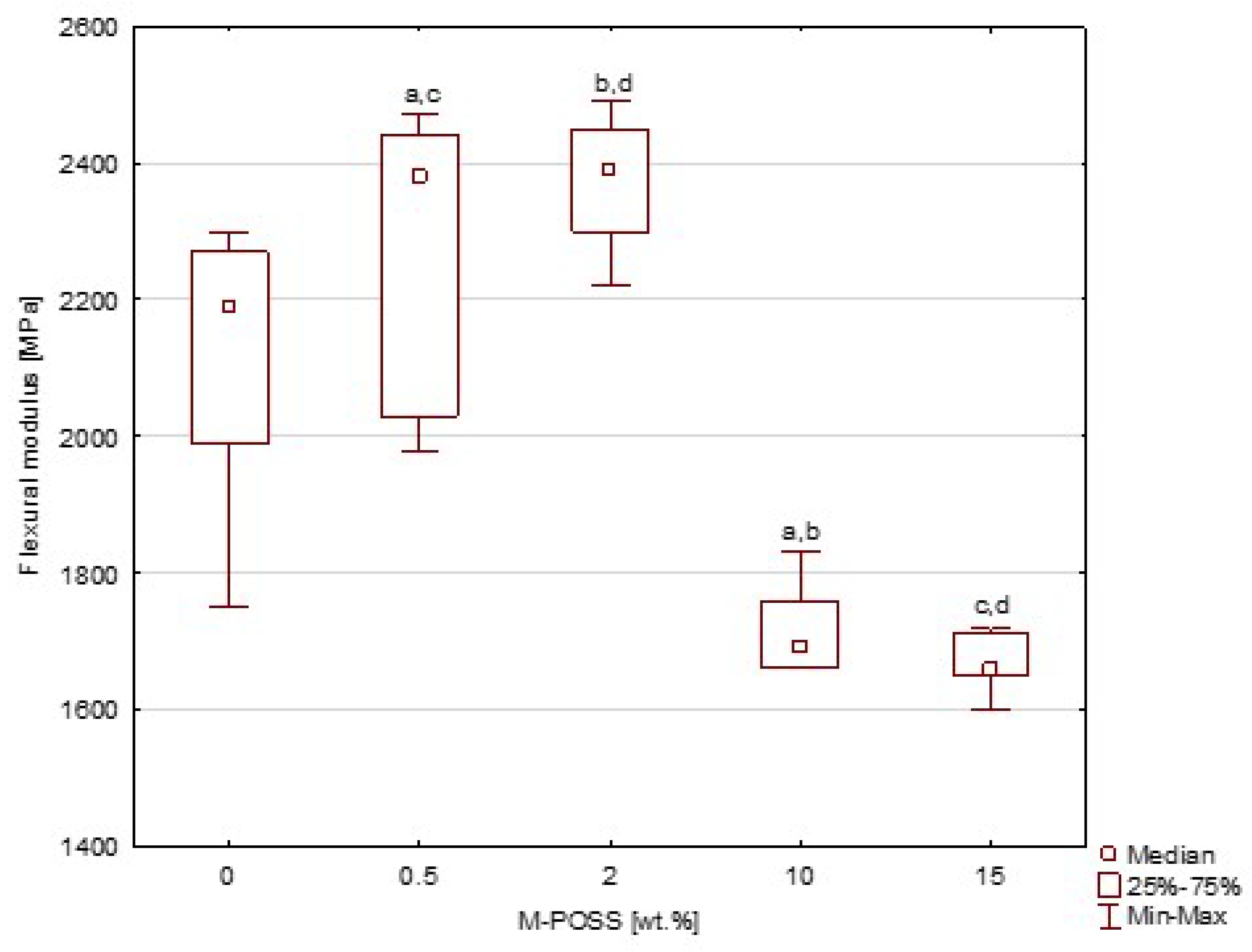
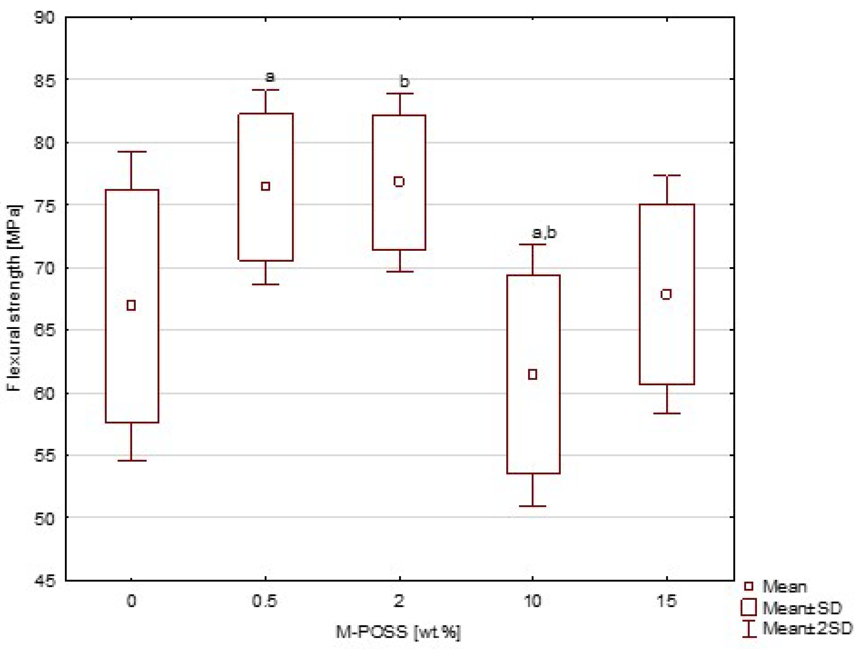
- Regarding the influence of M-POSS addition on the mechanical properties of cured matrices and composites, low concentrations of M-POSS (0.5–2 wt.%) effectively improve the mechanical performance of Bis-GMA/UDMA/TEGDMA/HEMA-based polymer matrices and their corresponding composites.
- A reduction in polymerization shrinkage stress was observed for composites containing only 2 wt.% or 10 wt.% M-POSS, indicating a concentration-dependent effect of the modifier.
- Further enhancement of composite performance may be achieved by increasing filler content and optimizing filler composition; however, maintaining adequate homogeneity under laboratory conditions continues to be a significant challenge.
Supplementary Materials
Author Contributions
Funding
Institutional Review Board Statement
Data Availability Statement
Conflicts of Interest
Appendix A







![]() | ![]() | ![]() | ![]() |
| 0 wt.% M-POSS | 0.5 wt.% M-POSS | 2 wt.% M-POSS | 10 wt.% M-POSS |
![]() | |||
| 15 wt.% M-POSS | |||
References
- Cho, K.; Rajan, G.; Farrar, P.; Prentice, L.; Prusty, B.G. Dental Resin Composites: A Review on Materials to Product Realizations. Compos. B Eng. 2022, 230, 109495. [Google Scholar] [CrossRef]
- Zhou, X.; Huang, X.; Li, M.; Peng, X.; Wang, S.; Zhou, X.; Cheng, L. Development and Status of Resin Composite as Dental Restorative Materials. J. Appl. Polym. Sci. 2019, 136, 48180. [Google Scholar] [CrossRef]
- Omidi, B.R.; Heidari, S.; Izadpanah, A. Bond Strength of Flowable Dental Composites in the Cementation of Indirect Restorations: A Systematic Review and Meta-Analysis. Evid. Based. Dent. 2025, 26, 178–179. [Google Scholar] [CrossRef]
- Zhang, J.; Yang, Y.; Chen, Y.; Chen, X.; Li, A.; Wang, J.; Shen, D.; Zheng, S. A Review of New Generation of Dental Restorative Resin Composites with Antibacterial, Remineralizing and Self-Healing Capabilities. Discover Nano. 2024, 19, 189. [Google Scholar] [CrossRef] [PubMed]
- Shah, Y.; Shiraguppi, V.; Deosarkar, B.; Shelke, U. Long-Term Survival and Reasons for Failure in Direct Anterior Composite Restorations: A Systematic Review. J. Conserv. Dent. 2021, 24, 415. [Google Scholar] [CrossRef] [PubMed]
- Pratap, B.; Gupta, R.K.; Bhardwaj, B.; Nag, M. Resin Based Restorative Dental Materials: Characteristics and Future Perspectives. Jpn. Dent. Sci. Rev. 2019, 55, 126–138. [Google Scholar] [CrossRef]
- Zalega, M.; Krasowski, M.; Dawicka, O.; Jasińska, A.; Żabecka, A.; Kałuża, P.; Bociong, K. The Preparation of Experimental Resin-Based Dental Composites Using Different Mixing Methods for the Filler and Matrix. Processes 2025, 13, 1332. [Google Scholar] [CrossRef]
- Zheng, Y.; Gao, Z.; Han, J. Current Chemistry of Cyclic Oligomeric Silsesquioxanes. Curr. Org. Chem. 2018, 21, 2814–2828. [Google Scholar] [CrossRef]
- Ozimek, J.; Łukaszewska, I.; Pielichowski, K. POSS and SSQ Materials in Dental Applications: Recent Advances and Future Outlooks. Int. J. Mol. Sci. 2023, 24, 4493. [Google Scholar] [CrossRef]
- Abbasi, M.R.; Karimi, M.; Atai, M. Modified POSS Nano-Structures as Novel Co-Initiator-Crosslinker: Synthesis and Characterization. Dent. Mater. 2021, 37, 1283–1294. [Google Scholar] [CrossRef]
- Blanco, I.; Abate, L.; Bottino, F.A.; Bottino, P. Synthesis, Characterization and Thermal Stability of New Dumbbell-Shaped Isobutyl-Substituted POSSs Linked by Aromatic Bridges. J. Therm. Anal. Calorim. 2014, 117, 243–250. [Google Scholar] [CrossRef]
- Fong, H.; Dickens, S.; Flaim, G. Evaluation of Dental Restorative Composites Containing Polyhedral Oligomeric Silsesquioxane Methacrylate. Dent. Mater. 2005, 21, 520–529. [Google Scholar] [CrossRef] [PubMed]
- Wang, J.; Liu, Y.; Yu, J.; Sun, Y.; Xie, W. Study of POSS on the Properties of Novel Inorganic Dental Composite Resin. Polymers 2020, 12, 478. [Google Scholar] [CrossRef]
- Zhou, Q.; Lin, J.; Li, Q. Study of High-Strength, Low-Shrinkage Dental Resin Composites with Bifunctional Polysilsesquioxane. Dent. Mater. 2025, 41, 755–767. [Google Scholar] [CrossRef]
- Sobon, N.; Krasowski, M.; Kopacz, K.; Lapinska, B.; Barszczewska-Rybarek, I.; Kula, P.; Bociong, K. The Effect of Methacrylate-POSS in Nanosilica Dispersion Addition on Selected Mechanical Properties of Photo-Cured Dental Resins and Nanocomposites. J. Compos. Sci. 2025, 9, 403. [Google Scholar] [CrossRef]
- Bociong, K.; Kosior, B.; Sokołowska, J.; Szczesio-Włodarczyk, A. Wpływ Ilości M-POSS Na Podstawowe Właściwości Mechaniczne Światłoutwardzalnej Macierzy i Kompozytu Żywiczego. In Proceedings of the XXI Konferencja Biomateriały I Mechanika W Stomatologii, Ustroń, Poland, 12–15 October 2023. [Google Scholar]
- Kleczewska, J.; Bieliński, D.M.; Nowak, J.; Sokołowski, J.; Łukomska-Szymańska, M. Dental Composites Based on Dimethacrylate Resins Reinforced by Nanoparticulate Silica. Polym. Polym. Compos. 2016, 24, 411–418. [Google Scholar] [CrossRef]
- ISO 4049; Dentistry—Polymer-Based Restorative Materials. ISO: Geneva, Switzerland, 2009.
- Szczesio-Wlodarczyk, A.; Garoushi, S.; Vallittu, P.; Bociong, K.; Lassila, L. Polymerization Shrinkage Stress of Contemporary Dental Composites: Comparison of Two Measurement Methods. Dent. Mater. J. 2024, 43, 2023–2192. [Google Scholar] [CrossRef]
- Krasowski, M.; Ciesielska, S.; Śmielak, B.; Kopacz, K.; Bociong, K. Preparation of an Experimental Dental Composite with Different Bis-GMA/UDMA Proportions. Mater. Manuf. Process. 2024, 39, 1044–1051. [Google Scholar] [CrossRef]
- Ferracane, J.L. A Historical Perspective on Dental Composite Restorative Materials. J. Funct. Biomater. 2024, 15, 173. [Google Scholar] [CrossRef]
- Wang, W.; Sun, X.; Huang, L.; Gao, Y.; Ban, J.; Shen, L.; Chen, J. Structure-Property Relationships in Hybrid Dental Nanocomposite Resins Containing Monofunctional and Multifunctional Polyhedral Oligomeric Silsesquioxanes. Int. J. Nanomed. 2014, 9, 841–852. [Google Scholar] [CrossRef]
- Liu, Y.; Wu, X.; Sun, Y.; Xie, W. POSS Dental Nanocomposite Resin: Synthesis, Shrinkage, Double Bond Conversion, Hardness, and Resistance Properties. Polymers 2018, 10, 369. [Google Scholar] [CrossRef]
- Gao, F.; Tong, Y.; Schricker, S.R.; Culbertson, B.M. Evaluation of Neat Resins Based on Methacrylates Modified with Methacryl-POSS, as Potential Organic–Inorganic Hybrids for Formulating Dental Restoratives. Polym. Adv. Technol. 2001, 12, 355–360. [Google Scholar] [CrossRef]
- Yu, X.; Yang, S.; Han, D.; Wang, T.; Xie, Q.; Xie, W. A Novel Dental Resin Composite Based on POSS and MDP-Modified Zirconia: Preparation and Evaluation. J. Dent. 2025, 155, 105638. [Google Scholar] [CrossRef]
- Liu, Y.; Sun, Y.; Zeng, F.; Xie, W.; Liu, Y.; Geng, L. Effect of Nano SiO2 Particles on the Morphology and Mechanical Properties of POSS Nanocomposite Dental Resins. J. Nanoparticle Res. 2014, 16, 2736. [Google Scholar] [CrossRef]
- Andrzejewska, E.; Marcinkowska, A.; Prządka, D.; Kloziński, A.; Jakubowska, P. Polymeric Hybrid and Composite Materials Containing Functionalized Polyhedral Oligomeric Silsesquioxanes (POSS). Polimery 2013, 58, 794–804. [Google Scholar] [CrossRef]
- Ghanbari, H.; Cousins, B.G.; Seifalian, A.M. A Nanocage for Nanomedicine: Polyhedral Oligomeric Silsesquioxane (POSS). Macromol. Rapid Commun. 2011, 32, 1032–1046. [Google Scholar] [CrossRef]
- Szczesio-Wlodarczyk, A.; Domarecka, M.; Kopacz, K.; Sokolowski, J.; Bociong, K. An Evaluation of the Properties of Urethane Dimethacrylate-Based Dental Resins. Materials 2021, 14, 2727. [Google Scholar] [CrossRef]
- Della Bona, Á.; Benetti, P.; Borba, M.; Cecchetti, D. Flexural and Diametral Tensile Strength of Composite Resins. Braz. Oral Res. 2008, 22, 84–89. [Google Scholar] [CrossRef]
- Szczesio-Wlodarczyk, A.; Polikowski, A.; Krasowski, M.; Fronczek, M.; Sokolowski, J.; Bociong, K. The Influence of Low-Molecular-Weight Monomers (TEGDMA, HDDMA, HEMA) on the Properties of Selected Matrices and Composites Based on Bis-GMA and UDMA. Materials 2022, 15, 2649. [Google Scholar] [CrossRef]
- Szczesio-Wlodarczyk, A.; Kopacz, K.; Ranoszek-Soliwoda, K.; Sokolowski, J.; Bociong, K. Towards the Standardization of Artificial Aging Protocols for Dental Composites: Evaluation of Proposed Methods. J. Funct. Biomater. 2025, 16, 49. [Google Scholar] [CrossRef]
- Domarecka, M.; Sokołowska, A.; Szynkowska-Jóźwik, M.; Sokołowski, K.; Sokołowski, J.; Łukomska-Szymańska, M. Some Properties of Flowable Low-Shrinkage Dental Composites. Przem. Chem. 2014, 93, 775–778. [Google Scholar]
- Ilie, N.; Hickel, R. Investigations on Mechanical Behaviour of Dental Composites. Clin. Oral Investig. 2009, 13, 427–438. [Google Scholar] [CrossRef]
- Aminoroaya, A.; Neisiany, R.E.; Khorasani, S.N.; Panahi, P.; Das, O.; Madry, H.; Cucchiarini, M.; Ramakrishna, S. A Review of Dental Composites: Challenges, Chemistry Aspects, Filler Influences, and Future Insights. Compos. B Eng. 2021, 216, 108852. [Google Scholar] [CrossRef]
- Santos, M.; Fidalgo-Pereira, R.; Torres, O.; Carvalho, O.; Henriques, B.; Özcan, M.; Souza, J.C.M. The Impact of Inorganic Fillers, Organic Content, and Polymerization Mode on the Degree of Conversion of Monomers in Resin-Matrix Cements for Restorative Dentistry: A Scoping Review. Clin. Oral Investig. 2024, 28, 454. [Google Scholar] [CrossRef] [PubMed]
- Wu, X.; Sun, Y.; Xie, W.; Liu, Y.; Song, X. Development of Novel Dental Nanocomposites Reinforced with Polyhedral Oligomeric Silsesquioxane (POSS). Dent. Mater. 2010, 26, 456–462. [Google Scholar] [CrossRef]
- Soh, M.S.; Yap, A.U.J.; Sellinger, A. Methacrylate and Epoxy Functionalized Nanocomposites Based on Silsesquioxane Cores for Use in Dental Applications. Eur. Polym. J. 2007, 43, 315–327. [Google Scholar] [CrossRef]
- Li, G.Z.; Cho, H.; Wang, L.; Toghiani, H.; Pittman, C.U. Synthesis and Properties of Poly(Isobutyl Methacrylate-Co-Butanediol Dimethacrylate-Co-Methacryl Polyhedral Oligomeric Silsesquioxane) Nanocomposites. J. Polym. Sci. A Polym. Chem. 2005, 43, 355–372. [Google Scholar] [CrossRef]
- Kim, D.; Sohn, H.; Kim, S.; Lee, A.; Lee, J. Star-shaped Polymers Having Side Chain Poss Groups for Solid Polymer Electrolytes; Synthesis, Thermal Behavior, Dimensional Stability, and Ionic Conductivity. J. Polym. Sci. A Polym. Chem. 2012, 50, 3618–3627. [Google Scholar] [CrossRef]
- Wheeler, P.A.; Fu, B.X.; Lichtenhan, J.D.; Weitao, J.; Mathias, L.J. Incorporation of Metallic POSS, POSS Copolymers, and New Functionalized POSS Compounds into Commercial Dental Resins. J. Appl. Polym. Sci. 2006, 102, 2856–2862. [Google Scholar] [CrossRef]


| M-POSS Content [wt.%] | Median FS (MPa) | QT | Median FM (MPa) | QT | Median HV | QT |
|---|---|---|---|---|---|---|
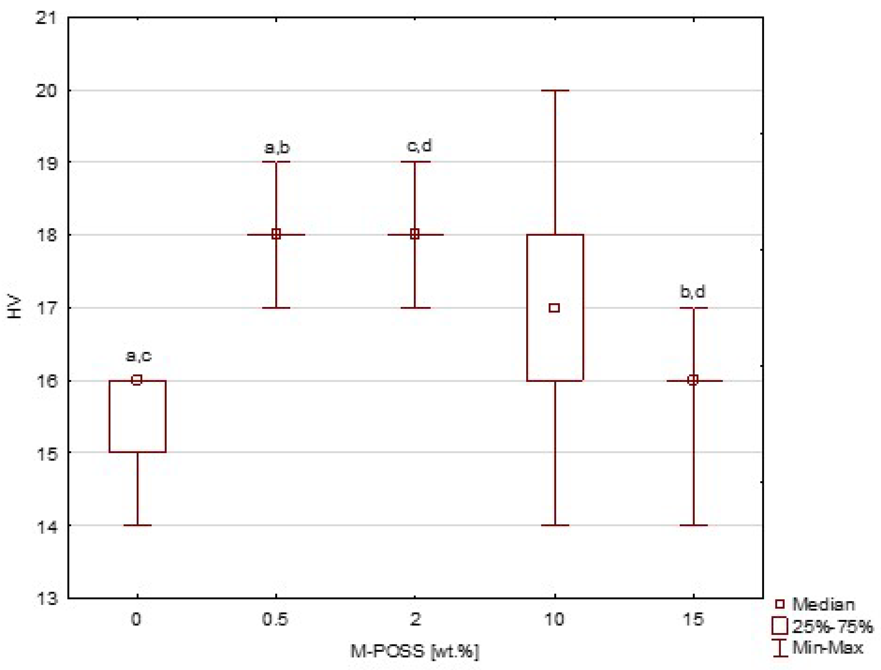
| 0 | 90.1 | 6.7 | 2190 | 280 | 16 a,c | 1 |
| 0.5 | 95.3 a,b | 7.6 | 2380 a,b | 410 | 18 a,b | 0 |
| 2 | 99.9 c,d | 9.7 | 2390 c,d | 150 | 18 c,d | 0 |
| 10 | 81.9 a,c | 1.5 | 1690 a,c | 100 | 17 | 2 |
| 15 | 79.2 b,d | 6.6 | 1660 b,d | 60 | 16 b,d | 0 |
| M-POSS Content [wt.%] | Mean FS (MPa) | SD | Mean FM (MPa) | SD | Median HV | QT | Mean DTS (MPa) | SD |
|---|---|---|---|---|---|---|---|---|
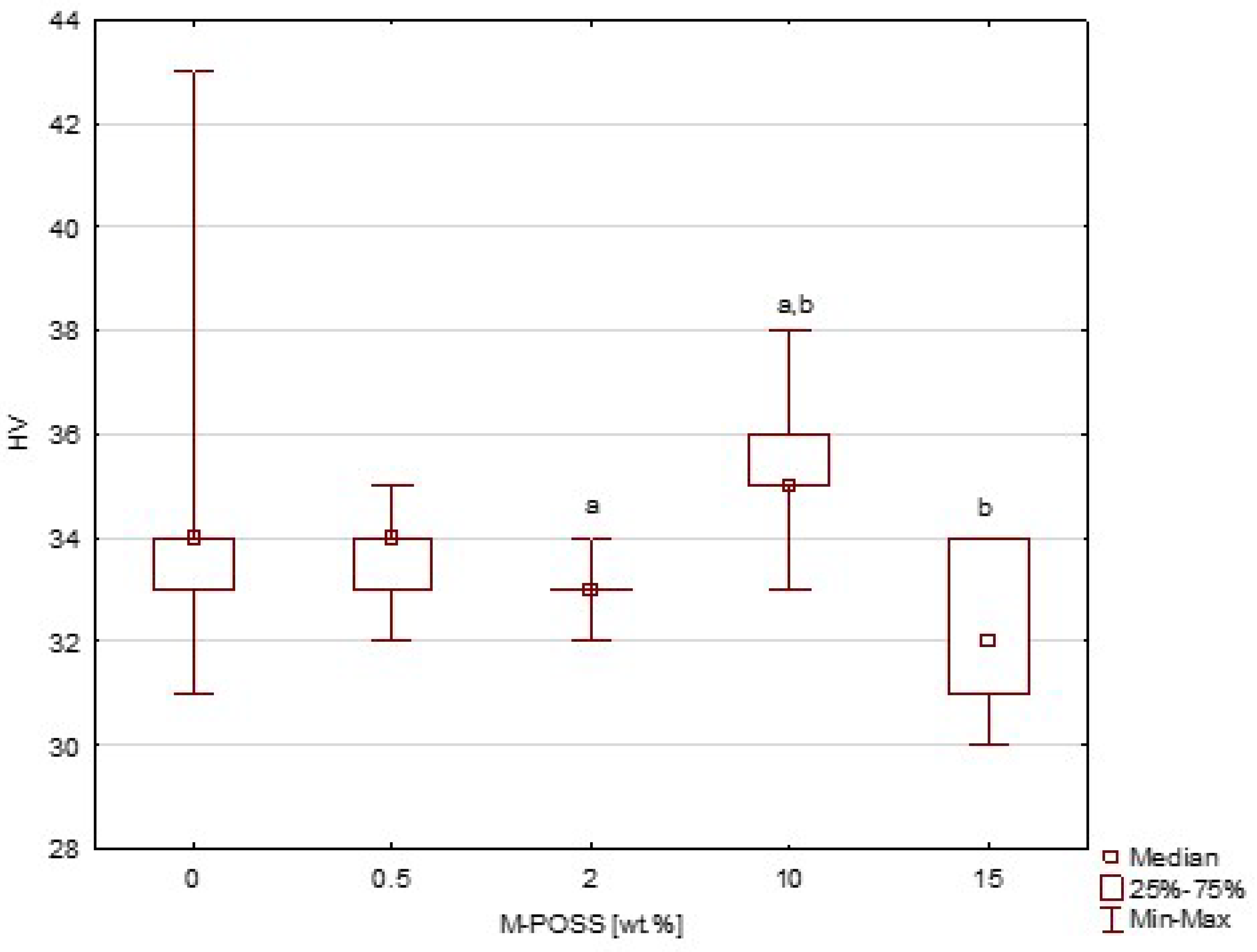
| 0 | 66.9 | 12.3 | 4174 a–c | 125 | 34 | 1 | 37.5 | 3.6 |
| 0.5 | 76.4 a | 7.7 | 4037 d–f | 227 | 34 | 1 | 32.1 | 5.3 |
| 2 | 76.8 b | 7.2 | 3746 a,d | 150 | 33 a | 0 | 33.1 | 5.2 |
| 10 | 61.4 a,b | 10.5 | 3673 b,e | 209 | 35 a,b | 1 | 31.4 | 5.4 |
| 15 | 67.8 | 9.6 | 3514 c,f | 187 | 32 b | 3 | 31.1 | 4.6 |
| M-POSS Content [wt.%] | σr [MPa] | σθ [MPa] | σint [MPa] |
|---|---|---|---|
| 0 | 8.0 ± 0.4 | −9.3 ± 0.3 | 17.3 ± 0.8 |
| 0.5 | 8.2 ± 0.5 | −9.5 ± 0.7 | 17.6 ± 1.2 |
| 2 | 7.1 ± 0.4 | −8.3 ± 0.4 | 15.4 ± 0.8 |
| 10 | 7.2 ± 0.5 | −8.5 ± 0.4 | 15.7 ± 0.9 |
| 15 | 8.8 ± 0.3 | −10.1 ± 0.4 | 18.8 ± 0.7 |
Disclaimer/Publisher’s Note: The statements, opinions and data contained in all publications are solely those of the individual author(s) and contributor(s) and not of MDPI and/or the editor(s). MDPI and/or the editor(s) disclaim responsibility for any injury to people or property resulting from any ideas, methods, instructions or products referred to in the content. |
© 2026 by the authors. Licensee MDPI, Basel, Switzerland. This article is an open access article distributed under the terms and conditions of the Creative Commons Attribution (CC BY) license.
Share and Cite
Bociong, K.; Kosior, B.; Soboń, N.; Domarecka, M.; Sokołowski, J.; Zimon, A.; Krasowski, M.; Szczesio-Wlodarczyk, A. Impact of M-POSS on Selected Properties of Experimental Methacrylate Matrices and Composites. Materials 2026, 19, 1261. https://doi.org/10.3390/ma19061261
Bociong K, Kosior B, Soboń N, Domarecka M, Sokołowski J, Zimon A, Krasowski M, Szczesio-Wlodarczyk A. Impact of M-POSS on Selected Properties of Experimental Methacrylate Matrices and Composites. Materials. 2026; 19(6):1261. https://doi.org/10.3390/ma19061261
Chicago/Turabian StyleBociong, Kinga, Barbara Kosior, Norbert Soboń, Monika Domarecka, Jerzy Sokołowski, Aleksandra Zimon, Michał Krasowski, and Agata Szczesio-Wlodarczyk. 2026. "Impact of M-POSS on Selected Properties of Experimental Methacrylate Matrices and Composites" Materials 19, no. 6: 1261. https://doi.org/10.3390/ma19061261
APA StyleBociong, K., Kosior, B., Soboń, N., Domarecka, M., Sokołowski, J., Zimon, A., Krasowski, M., & Szczesio-Wlodarczyk, A. (2026). Impact of M-POSS on Selected Properties of Experimental Methacrylate Matrices and Composites. Materials, 19(6), 1261. https://doi.org/10.3390/ma19061261






