Microstructural Response in Friction Stir Additive Manufacturing of 5A06 Aluminum Alloy
Abstract
1. Introduction
2. Experimental Procedures
3. Results and Discussion
3.1. Morphology of Friction Stir Additive Manufactured AA5A06
3.2. Microstructural Responses of Friction Stir Additive Manufactured AA5A06
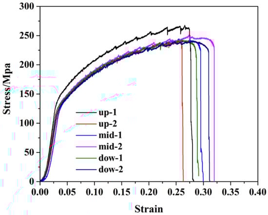
3.3. Tensile Properties of Friction Stir Additive Manufactured AA5A06
3.4. Morphology of AA5A06 in FSAM with Carbon Nanotubes Added
3.5. Microstructural Responses of AA5A06 in FSAM with Carbon Nanotubes Added
3.6. Tensile Properties of AA5A06 in FSAM with Carbon Nanotubes Added
3.7. Comparison Between FSAM and FSAM with Carbon Nanotubes Added
3.8. Comparison Between FSAM and Solidification-Based AM
4. Conclusions
- (1)
- Based on the consumption-based stirring tool method of FSAM, a well-formed additive structure can be obtained. The structure is composed of multiple layers of stirred metal. At the same time, the microstructure and performance consistency of the additive structure across the upper, middle, and lower regions are relatively good.
- (2)
- The microstructure of the additive structure of AA5A06 consists of refined recrystallized grains and deformed grains within each layer, while the interface between layers is composed of a finer grain band, with an average grain size of 6 µm. After the addition of carbon nanotubes, the grains in the additive structure of AA5A06 are further refined, and the structure is predominantly made up of recrystallized grains, with an average grain size of 2 µm.
- (3)
- The tensile strength of the additive structure of 5A06 aluminum alloy ranges from 225 MPa to 260 MPa, with an elongation of 26% to 32%. After the addition of carbon nanotubes, although the grain size was refined, there was no improvement in tensile strength, and the elongation was reduced. The tensile strength now ranges from 225 MPa to 270 MPa, with elongation between 12% and 16%. This may be because the fully refined grain structure of the additive material has a limited tensile strength of 250 MPa.
Author Contributions
Funding
Institutional Review Board Statement
Informed Consent Statement
Data Availability Statement
Conflicts of Interest
References
- Praveena, B.A.; Lokesh, N.; Santhosh, N.; Praveena, B.L.; Vignesh, R. A comprehensive review of emerging additive manufacturing (3D printing technology): Methods, materials, applications, challenges, trends and future potential. Mater. Today Proc. 2022, 52, 1309–1313. [Google Scholar]
- Srivastava, M.; Rathee, S. Additive manufacturing: Recent trends, applications and future outlooks. Prog. Addit. Manuf. 2022, 7, 261–287. [Google Scholar] [CrossRef]
- Esmaeilian, B.; Behdad, S.; Wang, B. The evolution and future of manufacturing: A review. J. Manuf. Syst. 2016, 39, 79–100. [Google Scholar] [CrossRef]
- Mehrpouya, M.; Dehghanghadikolaei, A.; Fotovvati, B.; Vosooghnia, A.; Emamian, S.S.; Gisario, A. The potential of additive manufacturing in the smart factory industrial 4.0: A review. Appl. Sci. 2019, 9, 3865. [Google Scholar] [CrossRef]
- Daraban, A.E.O.; Negrea, C.S.; Artimon, F.G.P.; Angelescu, D.; Popan, G.; Gheorghe, S.I.; Gheorghe, M. A deep look at metal additive manufacturing recycling and use tools for sustainability performance. Sustainability 2019, 11, 5494. [Google Scholar] [CrossRef]
- Sam-Daliri, O.; Ghabezi, P.; Steinbach, J.; Flanagan, T.; Finnegan, W.; Mitchell, S.; Harrison, N. Experimental study on mechanical properties of material extrusion additive manufactured parts from recycled glass fibre-reinforced polypropylene composite. Compos. Sci. Technol. 2023, 241, 110125. [Google Scholar] [CrossRef]
- Oladimeji, O.O.; Taban, E. Trend and innovations in laser beam welding of wrought aluminum alloys. Weld. World 2016, 60, 415–457. [Google Scholar] [CrossRef]
- Langelandsvik, G.; Akselsen, O.M.; Furu, T.; Roven, H.J. Review of aluminum alloy development for wire arc additive manufacturing. Materials 2021, 14, 5370. [Google Scholar] [CrossRef]
- Wang, X.; Zhang, D.; Li, A.; Yi, D.; Li, T. A Review on Traditional Processes and Laser Powder Bed Fusion of Aluminum Alloy Microstructures, Mechanical Properties, Costs, and Applications. Materials 2024, 17, 2553. [Google Scholar] [CrossRef]
- Montanari, R.; Palombi, A.; Richetta, M.; Varone, A. Additive manufacturing of aluminum alloys for aeronautic applications: Advantages and problems. Metals 2023, 13, 716. [Google Scholar] [CrossRef]
- DebRoy, T.; Wei, H.L.; Zuback, J.S.; Mukherjee, T.; Elmer, J.W.; Milewski, J.O.; Zhang, W. Additive manufacturing of metallic components–process, structure and properties. Prog. Mater. Sci. 2018, 92, 112–224. [Google Scholar] [CrossRef]
- Singh, A.; Kapil, S.; Das, M. A comprehensive review of the methods and mechanisms for powder feedstock handling in directed energy deposition. Addit. Manuf. 2020, 35, 101388. [Google Scholar] [CrossRef]
- Galati, M.; Rizza, G.; Defanti, S.; Denti, L. Surface roughness prediction model for Electron Beam Melting (EBM) processing Ti6Al4V. Precis. Eng. 2021, 69, 19–28. [Google Scholar] [CrossRef]
- Yu, H.Z.; Jones, M.E.; Brady, G.W.; Griffiths, R.J.; Garcia, D.; Rauch, H.A.; Cox, C.D.; Hardwick, N. Non-beam-based metal additive manufacturing enabled by additive friction stir deposition. Scr. Mater. 2018, 153, 122–130. [Google Scholar] [CrossRef]
- Zhou, L.; Hyer, H.; Park, S.; Pan, H.; Bai, Y.; Rice, K.P.; Sohn, Y. Microstructure and mechanical properties of Zr-modified aluminum alloy 5083 manufactured by laser powder bed fusion. Addit. Manuf. 2019, 28, 485–496. [Google Scholar] [CrossRef]
- Del Guercio, G.; McCartney, D.; Aboulkhair, N.; Robertson, S.; Maclachlan, R.; Tuck, C.; Simonelli, M. Cracking behaviour of high-strength AA2024 aluminium alloy produced by Laser Powder Bed Fusion. Addit. Manuf. 2022, 54, 102776. [Google Scholar] [CrossRef]
- Qi, Y.; Zhang, H.; Nie, X.; Hu, Z.; Zhu, H.; Zeng, X. A high strength Al–Li alloy produced by laser powder bed fusion: Densification, microstructure, and mechanical properties. Addit. Manuf. 2020, 35, 101346. [Google Scholar] [CrossRef]
- Uddin, S.Z.; Murr, L.E.; Terrazas, C.A.; Morton, P.; Roberson, D.A.; Wicker, R.B. Processing and characterization of crack-free aluminum 6061 using high-temperature heating in laser powder bed fusion additive manufacturing. Addit. Manuf. 2018, 22, 405–415. [Google Scholar] [CrossRef]
- Liu, C.; Xiao, H.; Lin, B.; Shi, H.; Chen, X. Simultaneously improving strength and ductility of Mg-Gd-Zr alloy via solute segregation. J. Magnes. Alloys, 2024; in press. [Google Scholar] [CrossRef]
- Opprecht, M.; Garandet, J.-P.; Roux, G.; Flament, C.; Soulier, M. A solution to the hot cracking problem for aluminium alloys manufactured by laser beam melting. Acta Mater. 2020, 197, 40–53. [Google Scholar] [CrossRef]
- Tan, Q.; Zhang, J.; Sun, Q.; Fan, Z.; Li, G.; Yin, Y.; Zhang, M.X. Inoculation treatment of an additively manufactured 2024 aluminium alloy with titanium nanoparticles. Acta Mater. 2020, 196, 1–16. [Google Scholar] [CrossRef]
- Meng, X.; Huang, Y.; Cao, J.; Shen, J.; dos Santos, J.F. Recent progress on control strategies for inherent issues in friction stir welding. Prog. Mater. Sci. 2021, 115, 100706. [Google Scholar] [CrossRef]
- Liu, X.C.; Ye, T.; Li, Y.Z.; Pei, X.J.; Sun, Z. Quasi-in-situ characterization of microstructure evolution in friction stir welding of aluminum alloy. J. Mater. Res. Technol. 2023, 25, 6380–6394. [Google Scholar] [CrossRef]
- Farhang, M.; Farahani, M.; Nazari, M.; Sam-Daliri, O. Experimental Correlation Between Microstructure, Residual Stresses and Mechanical Properties of Friction Stir Welded 2024-T6 Aluminum Alloys. Int. J. Adv. Des. Manuf. Technol. 2022, 15, 1–9. [Google Scholar] [CrossRef]
- Kumar, B.; Bag, S.; Mahadevan, S.; Paul, C.; Das, C.; Bindra, K. On the interaction of microstructural morphology with residual stress in fiber laser welding of austenitic stainless steel. CIRP J. Manuf. Sci. Technol. 2021, 33, 158–175. [Google Scholar] [CrossRef]
- Chen, H.; Meng, X.; Chen, J.; Xie, Y.; Wang, J.; Sun, S.; Zhao, Y.; Li, J.; Wan, L.; Huang, Y. Wire-based friction stir additive manufacturing. Addit. Manuf. 2023, 70, 103557. [Google Scholar] [CrossRef]
- Venkit, H.; Selvaraj, S.K. Review on latest trends in friction-based additive manufacturing techniques. Proc. Inst. Mech. Eng. Part C J. Mech. Eng. Sci. 2022, 236, 10090–10121. [Google Scholar] [CrossRef]
- Kotadia, H.; Gibbons, G.; Das, A.; Howes, P. A review of Laser Powder Bed Fusion Additive Manufacturing of aluminium alloys: Microstructure and properties. Addit. Manuf. 2021, 46, 102155. [Google Scholar] [CrossRef]
- Tawfik, M.M.; Nemat-Alla, M.M.; Dewidar, M.M. Enhancing the properties of aluminum alloys fabricated using wire þ arc additive manufacturing technique-A review. J. Mater. Res. Technol. 2021, 13, 754–768. [Google Scholar] [CrossRef]
- Horgar, A.; Fostervoll, H.; Nyhus, B.; Ren, X.; Eriksson, M.; Akselsen, O. Additive manufacturing using WAAM with AA5183 wire. J. Mater. Process. Technol. 2018, 259, 68–74. [Google Scholar] [CrossRef]
- Qi, Z.; Cong, B.; Qi, B.; Sun, H.; Zhao, G.; Ding, J. Microstructure and mechanical properties of double-wire + arc additively manufactured Al-Cu-Mg alloys. J. Mater. Process. Technol. 2018, 255, 347–353. [Google Scholar] [CrossRef]














| FSAM | FSAM with Carbon Nanotubes Added | |
|---|---|---|
| Comparison of microstructure | ![]() | ![]() |
| Comparison of properties | ![]() | |
| Build Process | FSAM (This Study) | FSAM with Carbon Nanotubes (This Study) | L-PBF [28] | WAAM [29,30,31] |
|---|---|---|---|---|
| Microstructure | Fine grains within the layers and even finer grains between the layers | Refined grains | Epitaxial columnar grains | Coarse equiaxed grains |
| Grain size | ~6 μm | ~2 μm | 10~100 μm | 10~100 μm |
| Defects type | Dense | Dense | Gas porosity, voids, hot cracking | Gas porosity, voids, hot cracking |
| Tensile Strength/MPa | Around ~250 MPa | Around ~250 MPa | 100~350 MPa | 250~300 MPa |
| Elongation/% | 26~32% | 12~16% | 10~30% | 20~30% |
| Cost | Moderate | High | High | Lower |
| Application prospects | Aerospace | Aerospace | Automotive trim, boathulls, architecturalcomponents | Automotive trim, boathulls, architecturalcomponents |
| Microstructure image | ![]() | |||
Disclaimer/Publisher’s Note: The statements, opinions and data contained in all publications are solely those of the individual author(s) and contributor(s) and not of MDPI and/or the editor(s). MDPI and/or the editor(s) disclaim responsibility for any injury to people or property resulting from any ideas, methods, instructions or products referred to in the content. |
© 2025 by the authors. Licensee MDPI, Basel, Switzerland. This article is an open access article distributed under the terms and conditions of the Creative Commons Attribution (CC BY) license (https://creativecommons.org/licenses/by/4.0/).
Share and Cite
Zhao, Y.; Chen, B.; Li, W.; Li, J.; Shi, J.; Wang, B.; Jin, F. Microstructural Response in Friction Stir Additive Manufacturing of 5A06 Aluminum Alloy. Materials 2025, 18, 1713. https://doi.org/10.3390/ma18081713
Zhao Y, Chen B, Li W, Li J, Shi J, Wang B, Jin F. Microstructural Response in Friction Stir Additive Manufacturing of 5A06 Aluminum Alloy. Materials. 2025; 18(8):1713. https://doi.org/10.3390/ma18081713
Chicago/Turabian StyleZhao, Yaobang, Bo Chen, Wukai Li, Junchen Li, Junmiao Shi, Baiming Wang, and Feng Jin. 2025. "Microstructural Response in Friction Stir Additive Manufacturing of 5A06 Aluminum Alloy" Materials 18, no. 8: 1713. https://doi.org/10.3390/ma18081713
APA StyleZhao, Y., Chen, B., Li, W., Li, J., Shi, J., Wang, B., & Jin, F. (2025). Microstructural Response in Friction Stir Additive Manufacturing of 5A06 Aluminum Alloy. Materials, 18(8), 1713. https://doi.org/10.3390/ma18081713




