Al Doping Effect on Enhancement of Nonlinear Optical Absorption in Amorphous Bi2Te3 Thin Films
Abstract
1. Introduction
2. Materials and Methods
3. Results and Discussion
3.1. Structure, Morphology, and Chemical States Analysis
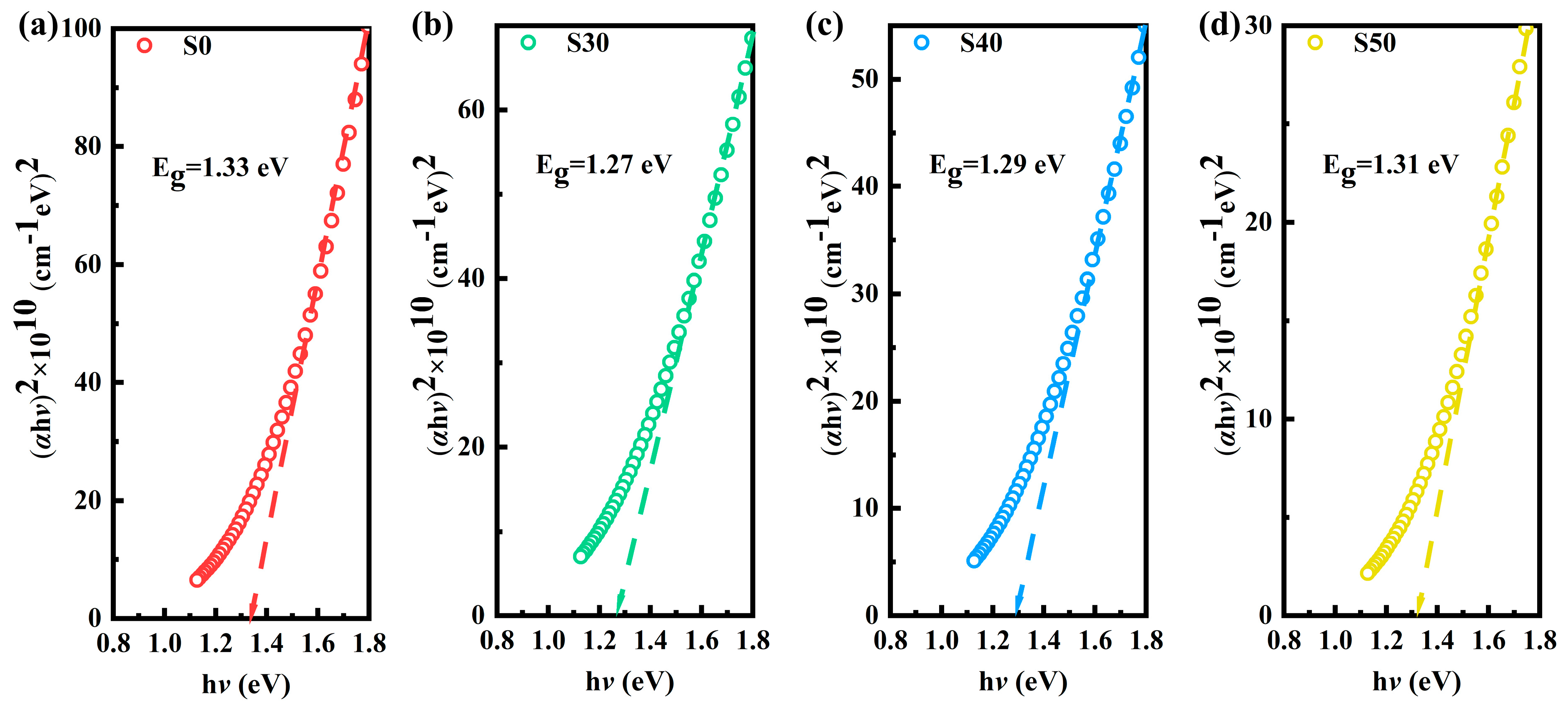
3.2. Linear Optical Analysis
3.3. Nonlinear Optical Analysis
4. Conclusions
Author Contributions
Funding
Institutional Review Board Statement
Informed Consent Statement
Data Availability Statement
Acknowledgments
Conflicts of Interest
References
- Feutelais, Y.; Legendre, B.; Rodier, N.; Agafonov, V. A study of the phases in the bismuth-tellurium system. Mater. Res. Bull. 1993, 28, 591–596. [Google Scholar] [CrossRef]
- Zhang, W.; Yu, R.; Zhang, H.-J.; Dai, X.; Fang, Z. First-principles studies of the three-dimensional strong topological insulators Bi2Te3, Bi2Se3 and Sb2Te3. New J. Phys. 2010, 12, 065013. [Google Scholar] [CrossRef]
- Witting, I.T.; Chasapis, T.C.; Ricci, F.; Peters, M.; Heinz, N.A.; Hautier, G.; Snyder, G.J. The Thermoelectric Properties of Bismuth Telluride. Adv. Electron. Mater. 2019, 5, 1800904. [Google Scholar] [CrossRef]
- Yao, J.; Shao, J.; Wang, Y.; Zhao, Z.; Yang, G. Ultra-broadband and high response of the Bi2Te3-Si heterojunction and its application as a photodetector at room temperature in harsh working environments. Nanoscale 2015, 7, 12535–12541. [Google Scholar] [CrossRef]
- Mamur, H.; Bhuiyan, M.R.A.; Korkmaz, F.; Nil, M. A review on bismuth telluride (Bi2Te3) nanostructure for thermoelectric applications. Renew. Sustain. Energy Rev. 2018, 82, 4159–4169. [Google Scholar] [CrossRef]
- Chowdhury, I.; Prasher, R.; Lofgreen, K.; Chrysler, G.; Narasimhan, S.; Mahajan, R.; Koester, D.; Alley, R.; Venkatasubramanian, R. On-chip cooling by superlattice-based thin-film thermoelectrics. Nat. Nanotechnol. 2009, 4, 235–238. [Google Scholar] [CrossRef]
- Qiao, H.; Yuan, J.; Xu, Z.; Chen, C.; Lin, S.; Wang, Y.; Song, J.; Liu, Y.; Khan, Q.; Hoh, H.Y.; et al. Broadband Photodetectors Based on Graphene–Bi2Te3 Heterostructure. ACS Nano 2015, 9, 1886–1894. [Google Scholar] [CrossRef]
- Xiao, G.; Zhu, C.; Ma, Y.; Liu, B.; Zou, G.; Zou, B. Unexpected room-temperature ferromagnetism in nanostructured Bi2Te3. Angew. Chem. Int. Edit. 2014, 53, 729–733. [Google Scholar] [CrossRef]
- Jung, M.; Lee, J.; Koo, J.; Park, J.; Song, Y.W.; Lee, K.; Lee, S.; Lee, J.H. A femtosecond pulse fiber laser at 1935 nm using a bulk-structured Bi2Te3 topological insulator. Opt. Express 2014, 22, 7865–7874. [Google Scholar] [CrossRef]
- Chen, Y.; Zhao, C.; Chen, S.; Du, J.; Tang, P.; Jiang, G.; Zhang, H.; Wen, S.; Tang, D. Large Energy, Wavelength Widely Tunable, Topological Insulator Q-Switched Erbium-Doped Fiber Laser. IEEE J. Sel. Top. Quantum Electron. 2014, 20, 315–322. [Google Scholar] [CrossRef]
- Ren, K.; Li, R.; Shen, J.; Xin, T.; Lv, S.; Ji, Z.; Song, Z. Study on the phase change behavior of nitrogen doped Bi2Te3 films. J. Alloys Compd. 2018, 754, 227–231. [Google Scholar] [CrossRef]
- Han, M.K.; Jin, Y.; Lee, D.H.; Kim, S.J. Thermoelectric Properties of Bi2Te3: CuI and the Effect of Its Doping with Pb Atoms. Materials 2017, 10, 1235. [Google Scholar] [CrossRef] [PubMed]
- Abishek, N.S.; Gopalakrishna Naik, K. Influence of gallium doping on structural and thermoelectric properties of bismuth telluride. J. Cryst. Growth 2021, 565, 126141. [Google Scholar] [CrossRef]
- Zhou, C.; Li, L. Electronic structures and thermoelectric properties of La or Ce-doped Bi2Te3 alloys from first principles calculations. J. Phys. Chem. Solids 2015, 85, 239–244. [Google Scholar] [CrossRef]
- Hadia, N.M.A.; Mohamed, S.H.; Mohamed, W.S.; Alzaid, M.; Khan, M.T.; Awad, M.A. Structural, optical and electrical properties of Bi2−xMnxTe3 thin films. J. Mater. Sci. Mater. Electron. 2021, 33, 158–166. [Google Scholar] [CrossRef]
- Ren, Z.-K.; Jiang, X.-M.; Liu, Y.-X.; Kan, S.-S.; Jiang, M.-K.; Deng, S.-X.; Yao, C.-B. Promoting the optoelectronic and nonlinear optics properties of MoS2 nanosheets via metal Al anchoring. Opt. Mater. 2024, 151, 115426. [Google Scholar] [CrossRef]
- Sun, D.; Fang, Y.; Liu, K.; Ye, R.; Sun, W.; Zhao, L. Ultrafast broadband nonlinear response of Al-doped Sb2Se3 at near-infrared. Mater. Lett. 2022, 306, 130885. [Google Scholar] [CrossRef]
- Liu, C.; Yuan, Y.; Zhang, X.; Su, J.; Song, X.; Ling, H.; Liao, Y.; Zhang, H.; Zheng, Y.; Li, J. Ta Doping Effect on Structural and Optical Properties of InTe Thin Films. Nanomaterials 2020, 10, 1887. [Google Scholar] [CrossRef]
- Jin, W.; Wang, J.; Hong, R. Laser thinning induced the tunable of nonlinear optical property of MoS2 thin film. Opt. Mater. 2022, 129, 112506. [Google Scholar] [CrossRef]
- Zhang, T.; Wei, S.; Song, X.; Zhang, S.; Li, Y.; Zou, Y.; Wang, Y.; Li, M.; Jiang, Y.; Wang, J.; et al. Annealing Effect on Linear and Ultrafast Nonlinear Optical Properties of Bi2Te3 Thin Films. Materials 2024, 17, 6281. [Google Scholar] [CrossRef]
- Musah, J.-D.; Or, S.W.; Kong, L.; Wu, C.-M.L. Al-doped Bi2Se3 nanoparticulate semiconductors with controlled resonance states for enhanced thermoelectric efficiency. Mater. Today Energy 2024, 42, 101555. [Google Scholar] [CrossRef]
- Cicvaric, K.; Meng, L.; Newbrook, D.W.; Huang, R.; Ye, S.; Zhang, W.; Hector, A.L.; Reid, G.; Bartlett, P.N.; de Groot, C.H.K. Thermoelectric Properties of Bismuth Telluride Thin Films Electrodeposited from a Nonaqueous Solution. ACS Omega 2020, 5, 14679–14688. [Google Scholar] [CrossRef] [PubMed]
- Guo, J.-H.; Qiu, F.; Zhang, Y.; Deng, H.-Y.; Hu, G.-J.; Li, X.-N.; Yu, G.-L.; Dai, N. Surface Oxidation Properties in a Topological Insulator Bi2Te3 Film. Chin. Phys. Lett. 2013, 30, 106801. [Google Scholar] [CrossRef]
- de los Santos, D.M.; Navas, J.; Sánchez-Coronilla, A.; Alcántara, R.; Fernández-Lorenzo, C.; Martín-Calleja, J. Highly Al-doped TiO2 nanoparticles produced by Ball Mill Method: Structural and electronic characterization. Mater. Res. Bull. 2015, 70, 704–711. [Google Scholar] [CrossRef]
- McGuire, G.E.; Schweitzer, G.K.; Carlson, T.A. Core electron binding energies in some Group IIIA, VB, and VIB compounds. Inorg. Chem. 2002, 12, 2450–2453. [Google Scholar] [CrossRef]
- Xu, C.; Diemant, T.; Liu, X.; Passerini, S. Modified Solid Electrolyte Interphases with Alkali Chloride Additives for Aluminum–Sulfur Batteries with Enhanced Cyclability. Adv. Funct. Mater. 2023, 33, 2214405. [Google Scholar] [CrossRef]
- Yang, S.-D.; Yang, L.; Zheng, Y.-X.; Zhou, W.-J.; Gao, M.-Y.; Wang, S.-Y.; Zhang, R.-J.; Chen, L.-Y. Structure-Dependent Optical Properties of Self-Organized Bi2Se3 Nanostructures: From Nanocrystals to Nanoflakes. ACS Appl. Mater. Interfaces 2017, 9, 29295–29301. [Google Scholar] [CrossRef]
- Jia, C.; Chen, Y.; Zhang, W.F. Optical properties of aluminum-, gallium-, and indium-doped Bi4Ti3O12 thin films. J. Appl. Phys. 2009, 105, 113108. [Google Scholar] [CrossRef]
- Srivastava, P.; Singh, K. Effects of Cs-doping on morphological, optical and electrical properties of Bi2Te3 nanostructures. Mater. Lett. 2014, 136, 337–340. [Google Scholar] [CrossRef]
- Dheepa, J.; Sathyamoorthy, R.; Velumani, S. Characterization of Bismuth Telluride thin films—Flash evaporation method. Mater. Charact. 2007, 58, 782–785. [Google Scholar] [CrossRef]
- Karatay, A.; Yaglioglu, H.G.; Elmali, A.; Parlak, M.; Karaagac, H. Thickness-dependent nonlinear absorption behaviors in polycrystalline ZnSe thin films. Opt. Commun. 2012, 285, 1471–1475. [Google Scholar] [CrossRef]
- Abd-Elrahman, M.I.; Khafagy, R.M.; Zaki, S.A.; Hafiz, M.M. Characterization of optical constants of Se30Te70 thin film: Effect of the thickness. Mater. Sci. Semicond. Process. 2014, 18, 1–5. [Google Scholar] [CrossRef]
- Bi, S.L.X. Structure, conductivity, and transparency of Ga-doped ZnO thin films arising from thickness contributions. J. Appl. Phys. 2008, 104, 113533. [Google Scholar]
- Sheik-Bahae, M.; Said, A.A.; Van Stryland, E.W. High-sensitivity, single-beam n2 measurements. Opt. Lett. 1989, 14, 955–957. [Google Scholar] [CrossRef]
- Chen, H.R.; Tsai, C.Y.; Cheng, H.M.; Lin, K.H.; Yen, P.H.; Chen, C.H.; Hsieh, W.F. High-quality and Large-size Topological Insulator Bi2Te3-Gold Saturable Absorber Mirror for Mode-Locking Fiber Laser. Sci. Rep. 2016, 6, 38444. [Google Scholar] [CrossRef]
- Sheik-Bahae, M.; Said, A.A.; Wei, T.-H.; Hagan, D.J.; Van Stryland, E.W. Sensitive measurement of optical nonlinearities using a single beam. IEEE J. Quantum Electron. 1990, 26, 760–769. [Google Scholar] [CrossRef]
- Yüksek, M.; Kürüm, U.; Yaglioglu, H.G.; Elmali, A.; Ateş, A. Nonlinear and saturable absorption characteristics of amorphous InSe thin films. J. Appl. Phys. 2010, 107, 033115. [Google Scholar] [CrossRef]
- Tanaka, K. Optical nonlinearity in photonic glasses. J. Mater. Sci. Mater. Electron. 2005, 16, 633–643. [Google Scholar] [CrossRef]
- Wei, R.; Qiao, T.; Tian, X.; Zhang, H.; He, X.; Hu, Z.; Chen, Q.; Qiu, J. Enhanced nonlinear optical response of Se-doped MoS2 nanosheets for passively Q-switched fiber laser application. Nanotechnology 2017, 28, 215206. [Google Scholar] [CrossRef]
- Sandeep, K.M.; Bhat, S.; Dharmaprakash, S.M.; Patil, P.S.; Byrappa, K. Defect assisted saturable absorption characteristics in Al and Li doped ZnO thin films. J. Appl. Phys. 2016, 120, 123107. [Google Scholar]
- Ganeev, R.A.; Popov, V.S.; Zvyagin, A.I.; Lavrentyev, N.A.; Mirofyanchenko, A.E.; Mirofyanchenko, E.V.; Shuklov, I.A.; Ovchinnikov, O.V.; Ponomarenko, V.P.; Razumov, V.F. Exfoliated Bi2Te3 nanoparticle suspensions and films: Morphological and nonlinear optical characterization. Nanophotonics 2021, 10, 3857–3870. [Google Scholar] [CrossRef]
- He, X.; Wei, R.; Tian, X.; Qiu, J.; Zhang, M.; Zeng, Q.; Liu, J. Thermal evaporated Te-Bi2Te3 alloy thin film and its nonlinear optical properties. J. Alloys Compd. 2017, 714, 363–369. [Google Scholar] [CrossRef]
- Kumar, S.; Anija, M.; Kamaraju, N.; Vasu, K.S.; Subrahmanyam, K.S.; Sood, A.K.; Rao, C.N.R. Femtosecond carrier dynamics and saturable absorption in graphene suspensions. Appl. Phys. Lett. 2009, 95, 191911. [Google Scholar] [CrossRef]
- Feng, Y.; Dong, N.; Wang, G.; Li, Y.; Zhang, S.; Wang, K.; Zhang, L.; Blau, W.J.; Wang, J. Saturable absorption behavior of free-standing graphene polymer composite films over broad wavelength and time ranges. Opt. Express 2015, 23, 559–569. [Google Scholar] [CrossRef]
- Wang, K.; Feng, Y.; Chang, C.; Zhan, J.; Wang, C.; Zhao, Q.; Coleman, J.N.; Zhang, L.; Blau, W.J.; Wang, J. Broadband ultrafast nonlinear absorption and nonlinear refraction of layered molybdenum dichalcogenide semiconductors. Nanoscale 2014, 6, 10530–10535. [Google Scholar] [CrossRef]
- Arjun, K.; Amaljith, C.; Karthikeyan, B. Enhancing saturable absorption in a Au-decorated MoS2/PEDOT:PSS nanocomposite through plasmon resonance and Pauli blocking. Phys. Chem. Chem. Phys. 2024, 26, 9645–9656. [Google Scholar]
- Xiao, S.; Fan, Q.; Ma, Y.; Zhao, Q.; Wang, G.; Xin, H.; Qin, Y.; Yu, X.; He, J. Reversal in optical nonlinearities of Bi2Se3 nanosheets dispersion influenced by resonance absorption. Opt. Express 2019, 27, 21741–21749. [Google Scholar] [CrossRef]
- Zhang, L.; Liu, J.; Li, J.; Wang, Z.; Wang, Y.; Ge, Y.; Dong, W.; Xu, N.; He, T.; Zhang, H.; et al. Site-Selective Bi2Te3-FeTe2 Heterostructure as a Broadband Saturable Absorber for Ultrafast Photonics. Laser Photon. Rev. 2020, 14, 1900409. [Google Scholar] [CrossRef]
- Liu, D.; He, C.; Chen, L.; Li, W.; Zu, Y. The nonlinear absorption effects and optical limiting properties of Bi2Te3/rGO thin films. Opt. Mater. 2021, 111, 110634. [Google Scholar] [CrossRef]
- Hurtado-Aviles, E.A.; Trejo-Valdez, M.; Torres, J.A.; Ramos-Torres, C.J.; Martínez-Gutiérrez, H.; Torres-Torres, C. Photo-induced structured waves by nanostructured topological insulator Bi2Te3. Opt. Laser Technol. 2021, 140, 107015. [Google Scholar] [CrossRef]








| Samples | Al Target Power (W) | Al (wt.%) | Thickness (nm) |
|---|---|---|---|
| S0 | 0 | 0 | 32.38 |
| S30 | 30 | 3.12 | 35.73 |
| S40 | 40 | 5.28 | 40.19 |
| S50 | 50 | 8.93 | 48.01 |
| Samples | Leff (nm) | β (cm/GW) | Imχ(3) (×10−9 esu) | FOM (10−14 esu × cm) | Damage Threshold (mJ/cm2) |
|---|---|---|---|---|---|
| S0 | 16.99 ± 0.09 | −2940.94 ± 18.23 | −14.39 ± 0.09 | 3.22 ± 0.02 | 9.56 ± 0.16 |
| S30 | 19.25 ± 0.13 | −4664.52 ± 34.37 | −14.91 ± 0.11 | 3.78 ± 0.03 | 10.7 ± 0.29 |
| S40 | 24.18 ± 0.16 | −4031.62 ± 32.06 | −12.19 ± 0.1 | 3.47 ± 0.03 | 11.17 ± 0.26 |
| S50 | 27.53 ± 0.22 | −2958.56 ± 36.48 | −8.67 ± 0.11 | 3.33 ± 0.04 | 11.97 ± 0.39 |
| Materials | λ (nm) | β (cm/GW) | Synthesis Method | Reference |
|---|---|---|---|---|
| Graphene | 790 | −90~−20 | oxidation-reduction method | [43] |
| Graphene-PVA | 1030 | −(0.66 ± 0.3) | solution cast method | [44] |
| MoS2 | 800 | −(2.42 ± 0.8) × 10−2 | liquid-phase exfoliation | [45] |
| MoTe2 | 800 | −(3.7 ± 1.2) × 10−3 | liquid-phase exfoliation | [45] |
| Au-decorated MoS2/PEDOT: PSS | 532 | −(3.5 ± 0.23) × 103 | ultrasonic technique | [46] |
| Bi2Se3 nanosheets | 800 | −1.67 × 103 | solution-based methods | [47] |
| Bi2Te3 colloidal suspensions | 1064 | −70 | ultrasonic bath method | [41] |
| Bi2Te3 nanoplates | 800 | −5.7 × 10−4 | selective metal deposition | [48] |
| Bi2Te3-FeTe2 nanoplates | 800 | −7.53 × 10−4 | selective metal deposition | [48] |
| Bi2Te3 thin film | 532 | −80 | solvent-heat method | [49] |
| Al: Bi2Te3 thin film | 800 | −(4664.52 ± 34.37)~−(2940.94 ± 18.23) | magnetron co-sputtering | This work |
Disclaimer/Publisher’s Note: The statements, opinions and data contained in all publications are solely those of the individual author(s) and contributor(s) and not of MDPI and/or the editor(s). MDPI and/or the editor(s) disclaim responsibility for any injury to people or property resulting from any ideas, methods, instructions or products referred to in the content. |
© 2025 by the authors. Licensee MDPI, Basel, Switzerland. This article is an open access article distributed under the terms and conditions of the Creative Commons Attribution (CC BY) license (https://creativecommons.org/licenses/by/4.0/).
Share and Cite
Zhang, T.; Wei, S.; Zhang, S.; Li, M.; Wang, J.; Liu, J.; Wang, J.; Hu, E.; Li, J. Al Doping Effect on Enhancement of Nonlinear Optical Absorption in Amorphous Bi2Te3 Thin Films. Materials 2025, 18, 1372. https://doi.org/10.3390/ma18061372
Zhang T, Wei S, Zhang S, Li M, Wang J, Liu J, Wang J, Hu E, Li J. Al Doping Effect on Enhancement of Nonlinear Optical Absorption in Amorphous Bi2Te3 Thin Films. Materials. 2025; 18(6):1372. https://doi.org/10.3390/ma18061372
Chicago/Turabian StyleZhang, Tengfei, Shenjin Wei, Shubo Zhang, Menghan Li, Jiawei Wang, Jingze Liu, Junhua Wang, Ertao Hu, and Jing Li. 2025. "Al Doping Effect on Enhancement of Nonlinear Optical Absorption in Amorphous Bi2Te3 Thin Films" Materials 18, no. 6: 1372. https://doi.org/10.3390/ma18061372
APA StyleZhang, T., Wei, S., Zhang, S., Li, M., Wang, J., Liu, J., Wang, J., Hu, E., & Li, J. (2025). Al Doping Effect on Enhancement of Nonlinear Optical Absorption in Amorphous Bi2Te3 Thin Films. Materials, 18(6), 1372. https://doi.org/10.3390/ma18061372

