A Novel Low-Cost Fibrous Tempered-Martensite/Ferrite Low-Alloy Dual-Phase Steel Exhibiting Balanced High Strength and Ductility
Highlights
- A novel low-cost 1200 MPa grade fibrous tempered-martensite/ferrite DP steel with balanced high strength and ductility beyond currently reported DP steels was developed.
- Platelike or quasi-spherical fine carbides were precipitated and relative high-density dislocations was maintained due to the delay of laths recovery by Mn and C enrichment.
- Nano-twins and a very small amount of RA existed due to the chemistry of enriched martensite.
- High-density dislocations, fine-carbides, and partially twinned structure strengthened the tempered-martensite while keeping relatively high ductility
Abstract
1. Introduction
2. Materials and Methods
2.1. Material Preparation
2.2. Heat Treatment
2.3. Mechanical Testing
2.4. Microstructural Characterization
3. Results
3.1. Microstructure of IQ-DP Steels
3.2. Mechanical Properties of IQ-DP Steels
3.3. Mechanical Properties of IQT-DP Steels
3.4. Strength–Ductility Comparison
4. Discussion
5. Conclusions
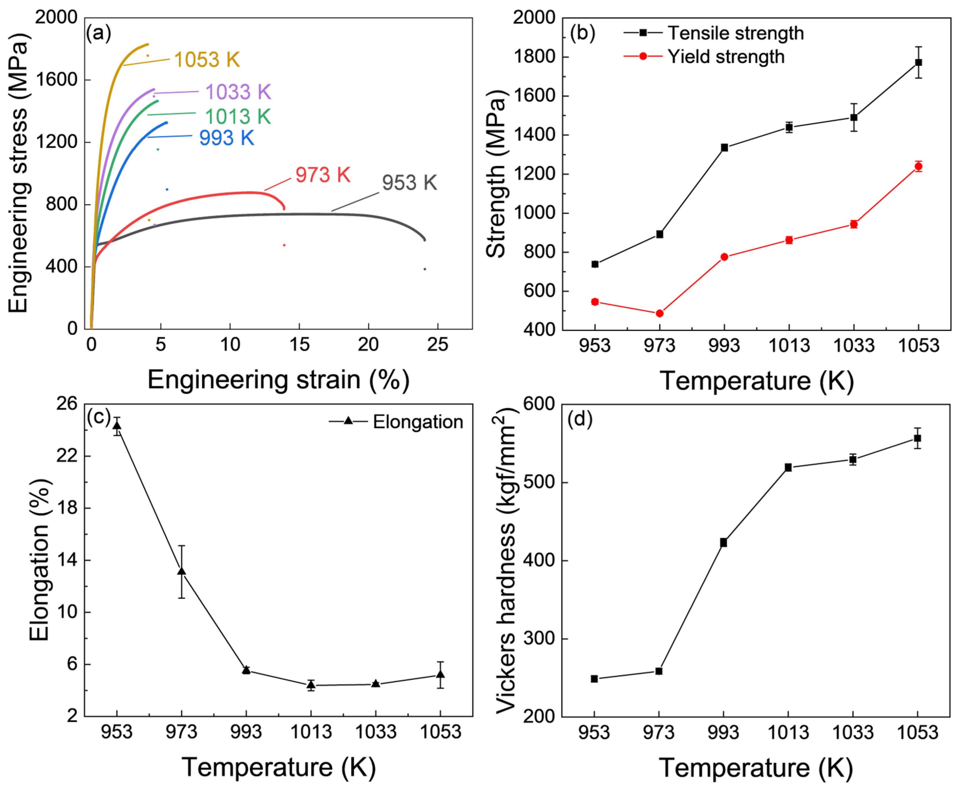
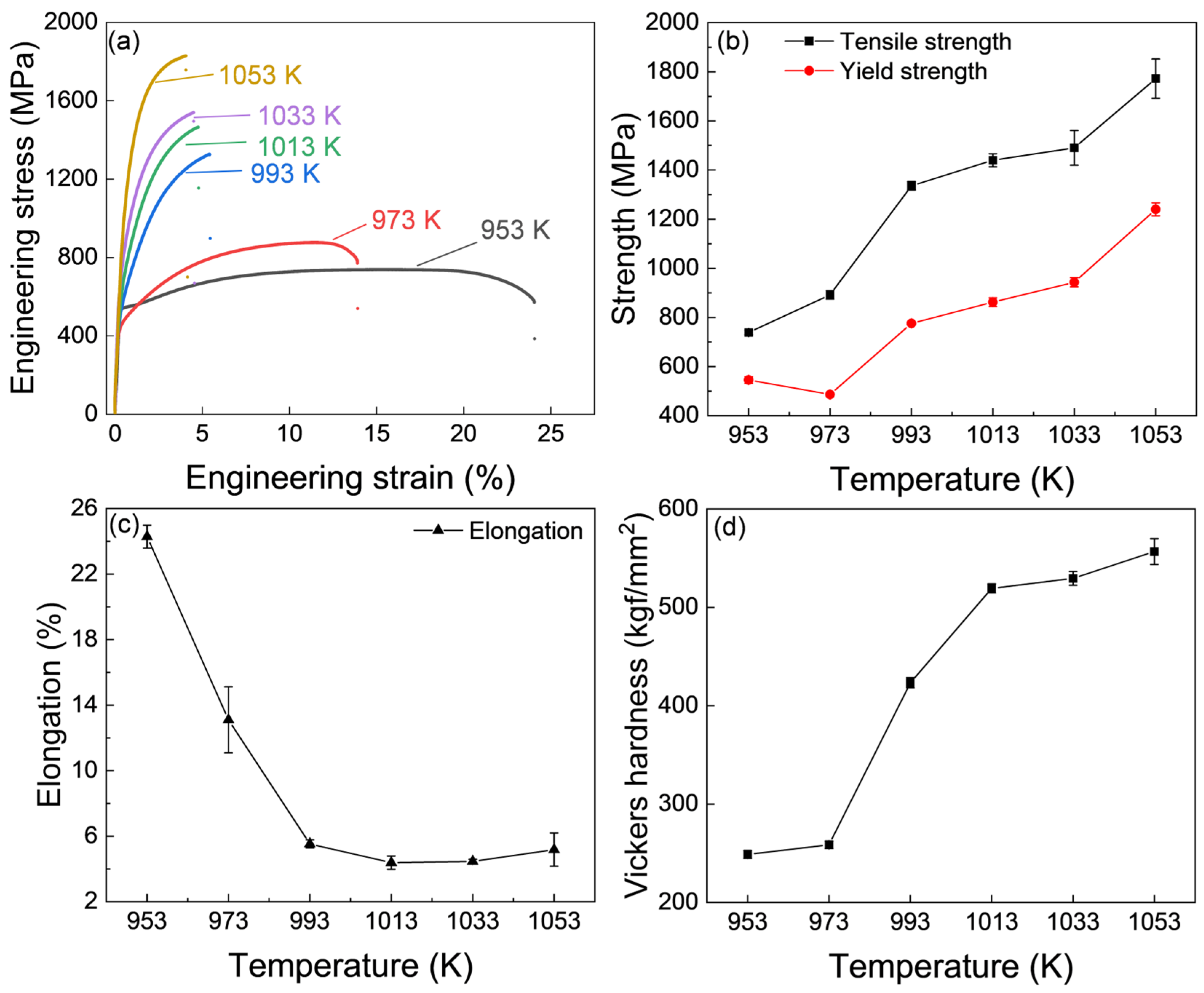
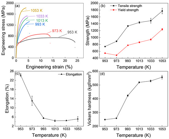
- Fibrous DP steel was obtained via partial reversion from martensite. As the annealing temperature increased above 993 K, the strength gradually increased beyond 1300 MPa, while the ductility dramatically decreased and was below 6%, which is attributed to the increment in the amount of fresh-martensite formation.
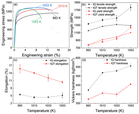
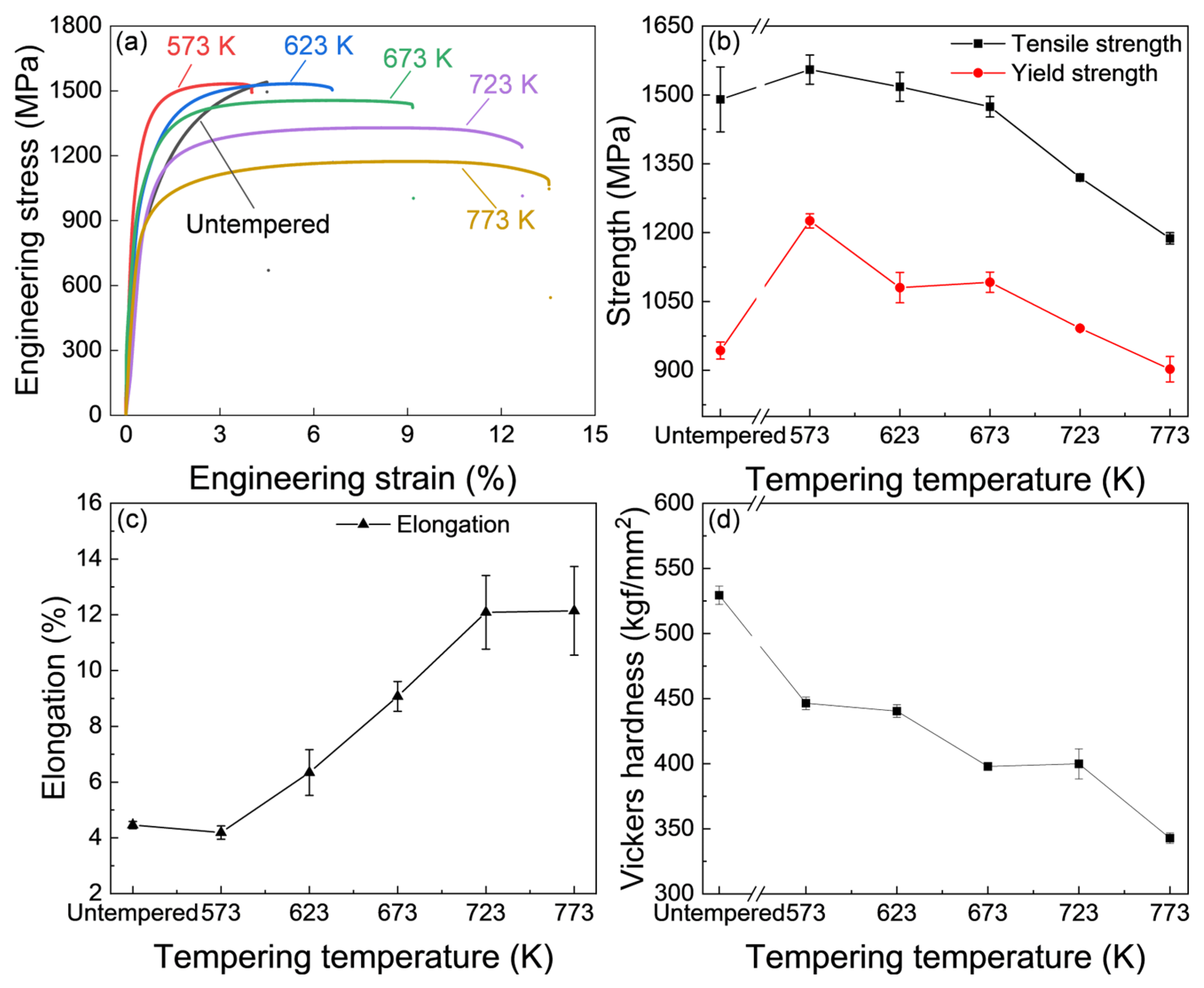
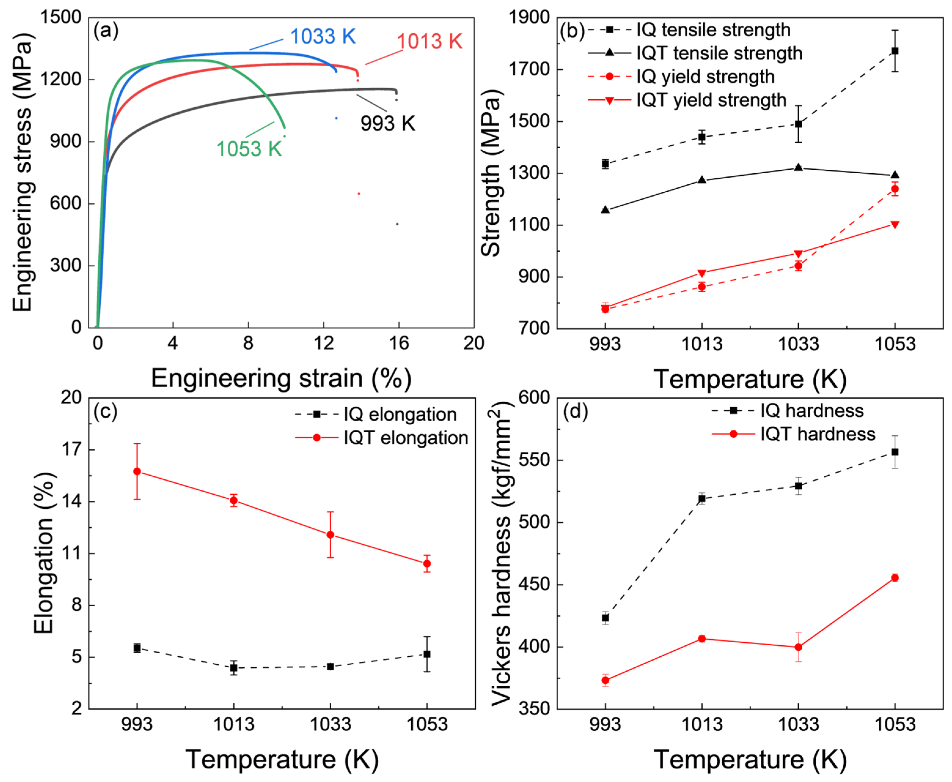
- The IQ-DP steel, after tempering, exhibited an increment in ductility with an acceptable loss in ultimate tensile strength of above 1200 MPa. The yield strength of the IQT-DP steels is even higher than that of the IQ-DP case as the tempering temperature is increased until 723 K. At the strength level of 1200 MPa–1300 MPa, the total elongation reached as high as 13%. The mechanical properties were beyond the current commercialized, and the literature reported low-alloy DP steels that used the low-cost Fe-C-Mn-Si lean alloy system without adding expensive alloying elements.
- Plate-like or quasi-spherical fine carbides were precipitated, and the relatively high-density dislocations were maintained due to possible delay of lath recovery. In addition, nanotwins and a very small amount of RA existed due to the high Mn and C contents of the acicular shape martensite. These contribute to the resistance to tempering softening while keeping relatively high ductility. Quantitative strengthening models and calculations were not included in the present work, which is an interesting topic and will be studied in the future.
Author Contributions
Funding
Institutional Review Board Statement
Informed Consent Statement
Data Availability Statement
Conflicts of Interest
References
- Chu, S.J.; Mao, B.; Hu, G.K. Microstructure Control and Strengthening Mechanism of High Strength Cold Rolled Dual Phase Steels for Automobile Applications. Acta Metall. Sin. 2022, 58, 551–566. [Google Scholar] [CrossRef]
- Sun, Y.Z.; Wang, X.; Wang, Y.L.; Zhang, G.F.; Yi, H.L. Research progress on DP steel for automobiles. Mater. China 2015, 34, 475–481. [Google Scholar]
- Horvath, C.D. Materials, Design and Manufacturing for Lightweight Vehicles; Woodhead Publishing: Cambridge, UK, 2021; pp. 39–95. [Google Scholar]
- Nanda, T.; Singh, V.; Singh, G.; Singhet, M.; Kumar, B.R. Processing routes, resulting microstructures, and strain rate dependent deformation behaviour of advanced high strength steels for automotive applications. Arch. Civ. Mech. Eng. 2021, 21, 7. [Google Scholar] [CrossRef]
- Badkoobeh, F.; Mostaan, H.; Rafiei, M.; Bakhsheshi-Rad, H.R.; Berto, F. Microstructural characteristics and strengthening mechanisms of ferritic–martensitic dual-phase steels: A review. Metals 2022, 12, 101. [Google Scholar] [CrossRef]
- Ma, X.; Chu, X.; Yang, Y.; Lu, H.; Wang, W.; Zhao, Z. Influence of Annealing and Aging Parameters on the Microstructure and Properties of 1200 MPa Grade Cold-Rolled Dual-Phase Steel. Materials 2024, 17, 4933. [Google Scholar] [CrossRef]
- Yaddanapudi, K.; Knezevic, M.; Mahajan, S.; Beyerlein, I.J. Plasticity and structure evolution of ferrite and martensite in DP 1180 during tension and cyclic bending under tension to large strains. Mater. Sci. Eng. A 2021, 820, 141536. [Google Scholar] [CrossRef]
- Zhang, J.; Chen, L.; Gao, T.; Xu, H.; Han, Y.; Li, H.; Tian, Y. Effect of annealing temperature in continuous annealing process on microstructure and properties of DP1180 steel. Ansactions Mater. Heat Treat. 2023, 44, 115–124. [Google Scholar] [CrossRef]
- Samei, J.; Zhou, L.F.; Kang, J.D.; Wilkinson, D.S. Microstructural analysis of ductility and fracture in fine-grained and ultrafine-grained vanadium-added DP1300 steels. Int. J. Plast. 2019, 117, 58–70. [Google Scholar] [CrossRef]
- Pelligra, C.; Samei, J.; Kang, J.D.; Wilkinson, D.S. The effect of vanadium on microstrain partitioning and localized damage during deformation of unnotched and notched DP1300 steels. Int. J. Plast. 2022, 158, 103435. [Google Scholar] [CrossRef]
- Mazaheri, Y.; Kermanpur, A.; Najafizadeh, A. Microstructures, mechanical properties, and strain hardening behavior of an ultrahigh strength dual phase steel developed by intercritical annealing of cold-rolled ferrite/martensite. Metall. Mater. Trans. A 2015, 46, 3052–3062. [Google Scholar] [CrossRef]
- Wang, R.; Dong, S.Y.; Fu, P.M.; Zhang, Y.; Yu, Z.; Yan, Z. Effect of niobium microalloying on microstructure and properties of 1GPa hot-rolled dual-phase steel. J. Iron Steel Res. 2024, 36, 520–528. [Google Scholar] [CrossRef]
- Lee, J.; Lee, S.J.; De Cooman, B.C. Effect of micro-alloying elements on the stretch-flangeability of dual phase steel. Mater. Sci. Eng. A 2012, 536, 231–238. [Google Scholar] [CrossRef]
- Li, C.H.; Chen, C.Y.; Tsai, S.P.; Yan, J.R. Microstructure characterization and strengthening behavior of dual precipitation particles in CuTi microalloyed dual-phase steels. Mater. Des. 2019, 166, 107613. [Google Scholar] [CrossRef]
- Wang, J.; Beladi, H.; Pan, L.; Fang, F.; Hu, J.; Kong, L.; Hodgson, P.D.; Timokhina, I. Interphase precipitation hardening of a TiMo microalloyed dual-phase steel produced by continuous cooling. Mater. Sci. Eng. A 2021, 804, 140518. [Google Scholar] [CrossRef]
- Bellavoine, M.; Dumont, M.; Drillet, J.; Hébert, V.; Maugis, P. Combined effect of heating rate and microalloying elements on recrystallization during annealing of dual-phase steels. Metall. Mater. Trans. A 2018, 49, 2865–2875. [Google Scholar] [CrossRef]
- Hu, B.; Zhu, H.; Liu, S.; Zheng, C.; Chen, L.; Li, D. Role of refined martensite microstructure and intercritical Mn partitioning on austenite reversion in Fe–5Mn-1.5Al-0.2C alloy. J. Mater. Res. Technol. 2025, 34, 2060–2070. [Google Scholar] [CrossRef]
- Xu, S.; Li, J.; Cui, Y.; Zhang, Y.; Sun, L.; Luan, J.; Jiao, Z.; Wang, X.-L.; Liu, C.; Zhang, Z. Mechanical properties and deformation mechanisms of a novel austenite-martensite dual phase steel. Int. J. Plast. 2020, 128, 102677. [Google Scholar] [CrossRef]
- Liang, Z.; Cao, Z.; Lu, J.; Huang, M.; Tasan, C. Influence of co-existing medium Mn and dual phase steel microstructures on ductility and Lüders band formation. Acta Mater. 2021, 221, 117418. [Google Scholar] [CrossRef]
- Tian, G.; Xiao, J.; Bao, Z.; Yao, S.; Yan, L.; Zhao, A. Achieving 1.5 GPa grade medium Mn steel with high ductility via interrupted intercritical annealing process. Mater. Sci. Eng. A 2024, 905, 145943. [Google Scholar] [CrossRef]
- Ismail, K.; Perlade, A.; Jacques, P.J.; Pardoen, T. Outstanding cracking resistance of fibrous dual phase steels. Acta Mater. 2021, 207, 116700. [Google Scholar] [CrossRef]
- Shi, P.; Ren, Y.; Zhang, X.; Wang, H.; Chen, J.; Pei, Y.; Yan, J.; Zheng, H.; Zhang, J. Role of martensite morphology on mechanical response of dual-phase steel produced by partial reversion from martensite. Mater. Sci. Eng. A 2024, 893, 146116. [Google Scholar] [CrossRef]
- Niu, G.; Ding, C.; Liu, Z.; Jia, X.; Chen, H.; Gong, N.; Wang, Y.; Cheh, D.T.C.; Misra, R.D.K.; Wu, H. Achieving high strength and high ductility of dual-phase steel via alternating lamellar microstructure. Mater. Sci. Eng. A 2024, 892, 146072. [Google Scholar] [CrossRef]
- Lu, Q.; Lai, Q.; Chai, Z.; Wei, X.; Xiong, X.; Yi, H.; Huang, M.; Xu, W.; Wang, J. Revolutionizing car body manufacturing using a unified steel metallurgy concept. Sci. Adv. 2021, 7, eabk0176. [Google Scholar] [CrossRef] [PubMed]
- Song, S.; Che, W.; Zhang, J.; Huang, L.; Duan, S.; Liu, F. Kinetics and microstructural modeling of isothermal austenite-to-ferrite transformation in Fe-C-Mn-Si steels. J. Mater. Sci. Technol. 2019, 35, 1753–1766. [Google Scholar] [CrossRef]
- Dai, Z.B.; Ding, R.; Yang, Z.G.; Zhang, C.; Chen, H. Elucidating the effect of Mn partitioning on interface migration and carbon partitioning during Quenching and Partitioning of the Fe-C-Mn-Si steels: Modeling and experiments. Acta Mater. 2018, 144, 666–678. [Google Scholar] [CrossRef]
- Dai, Z.B.; Yang, Z.G.; Zhang, C.; Chen, H. Incomplete carbon partitioning during quenching and partitioning of Fe–C–Mn–Si steels: Modeling and experimental validations. Acta Mater. 2020, 200, 597–607. [Google Scholar] [CrossRef]
- Dai, Z.; Chen, H.; Ding, R.; Lu, Q.; Zhang, C.; Yang, Z.; van der Zwaag, S. Fundamentals and application of solid-state phase transformations for advanced high strength steels containing metastable retained austenite. Mater. Sci. Eng. R Rep. 2021, 143, 100590. [Google Scholar] [CrossRef]
- Morales-Rivas, L. Viewpoints on Technological Aspects of Advanced High-Strength Bainitic Steels. Metals 2022, 12, 195. [Google Scholar] [CrossRef]
- Zhang, X.G.; Liu, H.; Ren, Y.J.; Yang, W.C.; Chen, J.; Shi, P.; Miyamoto, G.; Furuhara, T. A Novel Way Refining the Partially Reverted Globular Austenite in Reversion from Martensite. ISIJ Int. 2023, 63, 737–745. [Google Scholar] [CrossRef]
- ASTM E8/E8M-24; Standard Test Methods for Tension Testing of Metallic Materials. ASTM International: West Conshohocken, PA, USA, 2024.
- ASTM E384-22; Standard Test Method for Microindentation Hardness of Materials. ASTM International: West Conshohocken, PA, USA, 2022.
- DeHoff, R.T. Point counting method. In Quantitative Metallography; McGraw-Hill: New York, NY, USA, 1968. [Google Scholar]
- Hou, X.Y.; Ding, M.K.; Liu, W.C.; Chen, G.; Hao, L.; Yin, C.; Wang, Y.; Wang, P. Microstructure control and mechanical properties of high-strength dual-phase steels. Iron Steel 2024, 59, 111–122. [Google Scholar] [CrossRef]
- Yang, D.P.; Liang, J.W.; Zhou, J.L.; Xu, X.; Hu, Z.P.; Gu, X.L.; Wang, G.D. A Novel 1000 MPa Grade Ultrafine-Grained Dual-Phase Press Hardening Steel with Superior Oxidation Resistance and High Ductility. Materials 2023, 16, 5994. [Google Scholar] [CrossRef] [PubMed]
- Baosteel Group Product Manual for Hot Rolled Automotive Steel Sheets. Available online: https://ecommerce.ibaosteel.com/portal/download/manual/HRASS.pdf (accessed on 23 February 2025).
- Tian, Z.Q.; Tang, D.; Jiang, H.T.; Ma, X.L.; Xu, H.X. Research and Production Status of Dual Phase Steels for Automobiles. Mater. Mech. Eng. 2009, 33, 1. [Google Scholar]
- Torabian, N.; Favier, V.; Dirrenberger, J.; Adamski, F.; Ziaei-Rad, S.; Ranc, N. Correlation of the high and very high cycle fatigue response of ferrite based steels with strain rate-temperature conditions. Acta Mater. 2017, 134, 40–52. [Google Scholar] [CrossRef]
- Bergström, Y.; Granbom, Y.; Sterkenburg, D. A Dislocation-Based Theory for the Deformation Hardening Behavior of DP Steels: Impact of Martensite Content and Ferrite Grain Size. J. Metall. 2010, 2010, 647198. [Google Scholar] [CrossRef]
- Gang, F.; Mingtu, M.; Kim, D. Three kinds of strength level of DP steel formability. Strateg. Study CAE 2014, 16, 66–70. [Google Scholar]
- Xiong, Z.L.; Qi, J.J.; Sun, L.; Dong, Y.; Zhao, Y.; Yang, T.; Xing, C. Formability of high strength dual phase steels. Heat Treat. Met. 2021, 46, 66–71. [Google Scholar] [CrossRef]
- Zhou, B.; Zhang, Y.; Cui, X.; Han, F.; Guan, B.; Wu, X.; Wan, M. Mesoscale deformation incompatibility analysis of DP1180 steel. Met. Mater. Int. 2023, 29, 2878–2894. [Google Scholar] [CrossRef]
- Chen, Y.L.; Ping, D.H.; Wang, Y.Z.; Zhao, X.Q. An atomic mechanism for the formation of nanotwins in high carbon martensite. J. Alloys Compd. 2018, 767, 68–72. [Google Scholar] [CrossRef]
- Sun, J.-J.; Liu, Y.-N.; Zhu, Y.-T.; Lian, F.-L.; Liu, H.-J.; Jiang, T.; Guo, S.-W.; Liu, W.-Q.; Ren, X.-B. Super-strong dislocation-structured high-carbon martensite steel. Sci. Rep. 2017, 7, 6596. [Google Scholar] [CrossRef]
- Zhang, X.; Miyamoto, G.; Toji, Y.; Zhang, Y.; Furuhara, T. Role of cementite and retained austenite on austenite reversion from martensite and bainite in Fe-2Mn-1.5 Si-0.3 C alloy. Acta Mater. 2021, 209, 116772. [Google Scholar] [CrossRef]
- Toji, Y.; Miyamoto, G.; Raabe, D. Carbon partitioning during quenching and partitioning heat treatment accompanied by carbide precipitation. Acta Mater. 2015, 86, 137–147. [Google Scholar] [CrossRef]
- Caron, R.N.; Krauss, G. The tempering of Fe-C lath martensite. Metall. Trans. 1972, 3, 2381–2389. [Google Scholar] [CrossRef]
- Wei, F.G.; Tsuzaki, K. Crystallography of [0 1 1]/54.7° lath boundary and cementite in tempered 0.2 C steel. Acta Mater. 2005, 53, 2419–2429. [Google Scholar] [CrossRef]
- Tomimura, K.; Takaki, S.; Tanimoto, S.; Tokunaga, Y. Optimal chemical composition in Fe-Cr-Ni alloys for ultra grain refining by reversion from deformation induced martensite. ISIJ Int. 1991, 31, 721–727. [Google Scholar] [CrossRef]
- Williamson, D.L.; Schupmann, R.G.; Materkowski, J.P.; Krauss, G. Determination of small amounts of austenite and carbide in hardened medium carbon steels by Mössbauer spectroscopy. Metall. Trans. A 1979, 10, 379–382. [Google Scholar] [CrossRef]
- Sarikaya, M.; Jhingan, A.K.; Thomas, G. Retained austenite and tempered martensite embrittlement in medium carbon steel. Metall. Trans. A 1983, 14, 1121–1133. [Google Scholar] [CrossRef]
- Kor, S.R.A.; Bramfitt, B.L. Fundamentals of Dual-Phase Steels; TMS-AIME: Warrendale, PA, USA, 1981; p. 16. [Google Scholar]
- Joarder, A.; Jha, J.N.; Ojha, S.N.; Sarma, D.S. The tempering behavior of a plain carbon dual-phase steel. Mater. Charact. 1990, 25, 199–209. [Google Scholar] [CrossRef]
- Du, C.; Hoefnagels, J.; Kölling, S.; Geers, M.; Sietsma, J.; Petrov, R.; Bliznuk, V.; Koenraad, P.; Schryvers, D.; Amin-Ahmadi, B. Martensite crystallography and chemistry in dual phase and fully martensitic steels. Mater. Charact. 2018, 139, 411–420. [Google Scholar] [CrossRef]
- Ogatsu, K.; Ogawa, T.; Chen, T.-T.; Sun, F.; Adachi, Y. Dramatic improvement in strength–ductility balance of dual-phase steels by optimizing features of ferrite phase. J. Mater. Res. Technol. 2025, 35, 289–297. [Google Scholar] [CrossRef]












| C | Mn | Si | S | P | Al | Fe |
|---|---|---|---|---|---|---|
| 0.34 | 2.51 | 1.47 | 0.002 | 0.0048 | 0.0028 | Bal. |
| Element | Ortho | Experiment (Average) |
|---|---|---|
| C | 0.40 | - |
| Mn | 2.76 | 3.19 |
| Si | 1.42 | 1.33 |
Disclaimer/Publisher’s Note: The statements, opinions and data contained in all publications are solely those of the individual author(s) and contributor(s) and not of MDPI and/or the editor(s). MDPI and/or the editor(s) disclaim responsibility for any injury to people or property resulting from any ideas, methods, instructions or products referred to in the content. |
© 2025 by the authors. Licensee MDPI, Basel, Switzerland. This article is an open access article distributed under the terms and conditions of the Creative Commons Attribution (CC BY) license (https://creativecommons.org/licenses/by/4.0/).
Share and Cite
Zhang, X.; Pei, Y.; Han, H.; Feng, S.; Zhang, Y. A Novel Low-Cost Fibrous Tempered-Martensite/Ferrite Low-Alloy Dual-Phase Steel Exhibiting Balanced High Strength and Ductility. Materials 2025, 18, 1292. https://doi.org/10.3390/ma18061292
Zhang X, Pei Y, Han H, Feng S, Zhang Y. A Novel Low-Cost Fibrous Tempered-Martensite/Ferrite Low-Alloy Dual-Phase Steel Exhibiting Balanced High Strength and Ductility. Materials. 2025; 18(6):1292. https://doi.org/10.3390/ma18061292
Chicago/Turabian StyleZhang, Xianguang, Yiwu Pei, Haoran Han, Shouli Feng, and Yongjie Zhang. 2025. "A Novel Low-Cost Fibrous Tempered-Martensite/Ferrite Low-Alloy Dual-Phase Steel Exhibiting Balanced High Strength and Ductility" Materials 18, no. 6: 1292. https://doi.org/10.3390/ma18061292
APA StyleZhang, X., Pei, Y., Han, H., Feng, S., & Zhang, Y. (2025). A Novel Low-Cost Fibrous Tempered-Martensite/Ferrite Low-Alloy Dual-Phase Steel Exhibiting Balanced High Strength and Ductility. Materials, 18(6), 1292. https://doi.org/10.3390/ma18061292
