Identification of Dynamic Recrystallization Model Parameters for 40CrMnMoA Alloy Steel Using the Inverse Optimization Method
Abstract
1. Introduction
2. Materials and Methods
3. Results and Discussion
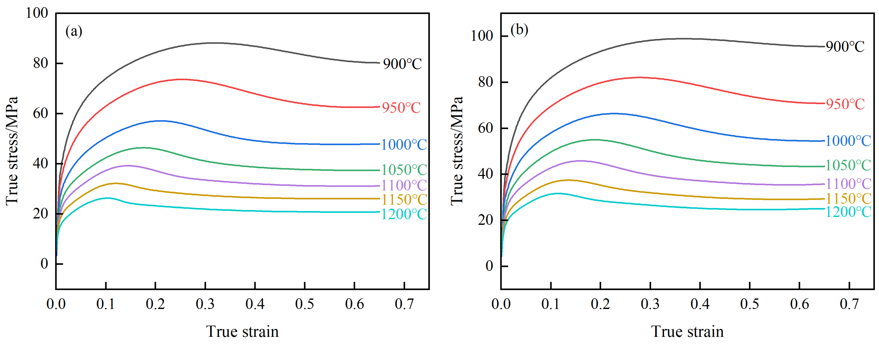
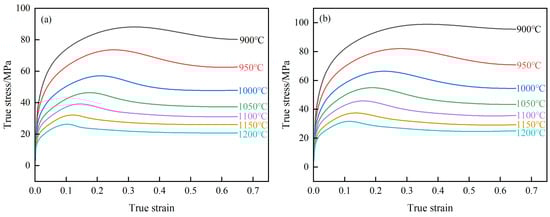
3.1. True Stress–Strain Curves
3.2. Analysis of DRX Structure Evolution
3.3. Establishment and Validation of DRX Model for 40CrMnMoA Steel
3.3.1. Acquisition of Critical Strain and Peak Strain Parameters
3.3.2. Establishment of DRX Model Using the Averaging Method
3.3.3. Global Inverse Optimization of DRX Model Parameters
3.3.4. Validation of DRX Model for 40CrMnMoA Steel
4. Conclusions
- Drawing from the true stress–strain data of 40CrMnMoA steel, its DRX behavior was analyzed. The steel tends to exhibit DRX behavior at high temperatures and low strain rates, especially at 1200 °C, 0.005 s−1. In contrast, at lower temperatures and higher strain rates, such as 950 °C, 0.1 s−1, DRX is either absent or minimal.
- Utilizing the inverse optimization method, the DRX model for 40CrMnMoA steel was established, achieving R, AARE, and RMSE values of 0.992, 60.945, and 0.046, respectively. These results confirmed the high precision of the developed model.
- Through the user subroutine, the determined DRX model was successfully embedded into the FEA software Forge®. The isothermal compression process was simulated at a strain rate of 0.01s−1 across various temperatures and cloud plots of DRX volume fraction and grain size were obtained. The grain size in the central region of the simulation results closely matched that of the experimental samples. The results indicate that the inverse optimization method can accurately identify the DRX model parameters of 40CrMnMoA alloy steel.
- The DRX model established based on the inverse optimization method reveals the dynamic recrystallization evolution of 40CrMnMoA steel more accurately, which is of great scientific value for the microstructure prediction and process design of large extrusion hot roll forming.
Author Contributions
Funding
Institutional Review Board Statement
Informed Consent Statement
Data Availability Statement
Conflicts of Interest
References
- Tian, G.; Fang, Y.; Cui, Y. Development status and prospect of cement industry in China. Cement 2023, 1, 6–12. [Google Scholar] [CrossRef]
- Wang, J.; Zhang, G.; Wang, S. Roller press technology and the development. Cem. Eng. 2011, 44–49. [Google Scholar] [CrossRef]
- Hu, W.; Wang, Q.; Li, B.; Cong, Q.; Qu, B. Cement grinding system status of roller press. Agric. Sci. Technol. 2012, 13, 1328–1330. [Google Scholar] [CrossRef]
- Liu, C.; Zhao, X.; Yang, Y. Effect of thermal deformation on grain size of 40CrMnMo steel. China Met. Bull. 2021, 123–125. [Google Scholar] [CrossRef]
- Zhong, X.-t.; Huang, L.-k.; Wang, L.; Liu, F.; Dong, X.-m.; Zhang, Z.-h. A discontinuous dynamic recrystallization model incorporating characteristics of initial microstructure. Trans. Nonferrous Met. Soc. China 2018, 28, 2294–2306. [Google Scholar] [CrossRef]
- Sellars, C.; Whiteman, J. Recrystallization and grain growth in hot rolling. Met. Sci. 1979, 13, 187–194. [Google Scholar] [CrossRef]
- Yada, H.; Matsuzu, N.; Nakajima, K. Deformation Stress and Structural Changes During High Strain Rate Hot Deformation of Carbon Steel. Met. Soc. 1982, 325–330. [Google Scholar]
- Kim, S.-I.; Lee, Y.; Lee, D.-L.; Yoo, Y.-C. Modeling of AGS and recrystallized fraction of microalloyed medium carbon steel during hot deformation. Mater. Sci. Eng. A 2003, 355, 384–393. [Google Scholar] [CrossRef]
- Kim, S.-I.; Yoo, Y.-C. Dynamic recrystallization behavior of AISI 304 stainless steel. Mater. Sci. Eng. A 2001, 311, 108–113. [Google Scholar] [CrossRef]
- McQueen, H. Initiating nucleation of dynamic recrystallization, primarily in polycrystals. Mater. Sci. Eng. A 1988, 101, 149–160. [Google Scholar] [CrossRef]
- Karhausen, K.; Kopp, R.; De Souza, M. Numerical simulation method for designing thermomechanical treatments, illustrated by bar rolling. Scand. J. Metall. 1991, 20, 351–363. [Google Scholar]
- Kopp, R.; Cho, M.L.; de Souza, M.M. Multi-level simulation of metal-forming processes. Steel Res. 1988, 59, 161–164. [Google Scholar] [CrossRef]
- Chen, F.; Cui, Z.; Chen, S. Recrystallization of 30Cr2Ni4MoV ultra-super-critical rotor steel during hot deformation. Part I: Dynamic recrystallization. Mater. Sci. Eng. A 2011, 528, 5073–5080. [Google Scholar] [CrossRef]
- Fang, B.; Ji, Z.; Liu, M.; Tian, G.; Jia, C.; Zeng, T.; Hu, B.; Chang, Y. Critical strain and models of dynamic recrystallization for FGH96 superalloy during two-pass hot deformation. Mater. Sci. Eng. A 2014, 593, 8–15. [Google Scholar] [CrossRef]
- Shang, X.; Cui, Z.; Fu, M. Dynamic recrystallization based ductile fracture modeling in hot working of metallic materials. Int. J. Plast. 2017, 95, 105–122. [Google Scholar] [CrossRef]
- Leonard, M.; Moussa, C.; Roatta, A.; Seret, A.; Signorelli, J.W. Continuous dynamic recrystallization in a Zn–Cu–Ti sheet subjected to bilinear tensile strain. Mater. Sci. Eng. A 2020, 789, 139689. [Google Scholar] [CrossRef]
- Wang, T.; Chen, Y.; Ouyang, B.; Zhou, X.; Hu, J.; Le, Q. Artificial neural network modified constitutive descriptions for hot deformation and kinetic models for dynamic recrystallization of novel AZE311 and AZX311 alloys. Mater. Sci. Eng. A 2021, 816, 141259. [Google Scholar] [CrossRef]
- Babu, K.A.; Mozumder, Y.H.; Athreya, C.; Sarma, V.S.; Mandal, S. Implication of initial grain size on DRX mechanism and grain refinement in super-304H SS in a wide range of strain rates during large-strain hot deformation. Mater. Sci. Eng. A 2022, 832, 142269. [Google Scholar] [CrossRef]
- Wang, X.; Wang, D.; Jin, J.; Li, J. Effects of strain rates and twins evolution on dynamic recrystallization mechanisms of austenite stainless steel. Mater. Sci. Eng. A 2019, 761, 138044. [Google Scholar] [CrossRef]
- Li, J.; Wu, X.; Cao, L.; Liao, B.; Wang, Y.; Liu, Q. Hot deformation and dynamic recrystallization in Al-Mg-Si alloy. Mater. Charact. 2021, 173, 110976. [Google Scholar] [CrossRef]
- Zhang, J.; Yi, Y.; Huang, S.; Mao, X.; He, H.; Tang, J.; Guo, W.; Dong, F. Dynamic recrystallization mechanisms of 2195 aluminum alloy during medium/high temperature compression deformation. Mater. Sci. Eng. A 2021, 804, 140650. [Google Scholar] [CrossRef]
- Jia, Z.; Sun, X.; Ji, J.; Wang, Y.; Wei, B.; Yu, L. Hot deformation behavior and dynamic recrystallization nucleation mechanisms of Inconel 625 during hot compressive deformation. Adv. Eng. Mater. 2021, 23, 2001048. [Google Scholar] [CrossRef]
- Jeong, H.; Park, H.; Kim, W.J. Dynamic recrystallization and hot deformation mechanisms of a eutectic Al0. 7CoCrFeMnNi high-entropy alloy. J. Alloys Compd. 2021, 871, 159488. [Google Scholar] [CrossRef]
- Hu, Y.; Lin, X.; Li, Y.; Zhang, S.; Gao, X.; Liu, F.; Li, X.; Huang, W. Plastic deformation behavior and dynamic recrystallization of Inconel 625 superalloy fabricated by directed energy deposition. Mater. Des. 2020, 186, 108359. [Google Scholar] [CrossRef]
- Zhou, L.; Liu, Y.; Chen, W.; Fu, M. Thermal deformation behavior and processing map of Ti-4Al-5Mo-6Cr-5V-1Nb alloy. Chin. J. Rare Met. 2022, 46, 27–35. [Google Scholar]
- Xu, Q.; Zhang, C.; Zhang, L.; Shen, W.; Yang, Q. Cellular Automaton Modeling of Dynamic Recrystallization of Nimonic 80A Superalloy Based on Inhomogeneous Distribution of Dislocations Inside Grains. J. Mater. Eng. Perform. 2018, 27, 4955–4967. [Google Scholar] [CrossRef]
- Wan, Z.; Sun, Y.; Hu, L.; Yu, H. Experimental study and numerical simulation of dynamic recrystallization behavior of TiAl-based alloy. Mater. Des. 2017, 122, 11–20. [Google Scholar] [CrossRef]
- Poliak, E.I.; Jonas, J.J. Initiation of dynamic recrystallization in constant strain rate hot deformation. ISIJ Int. 2003, 43, 684–691. [Google Scholar] [CrossRef]
- Li, Y.; Huang, X.; Ji, H.; Li, Y.; Wang, B.; Tang, X. Study on Dynamic Recrystallization Models of 21-4N Heat Resistant Steel. Arch. Metall. Mater. 2021, 66, 145–152. [Google Scholar] [CrossRef]
- Laasraoui, A.; Jonas, J.J. Prediction of steel flow stresses at high temperatures and strain rates. Metall. Trans. A 1991, 22, 1545–1558. [Google Scholar] [CrossRef]
- Chen, X.; Sun, J.; Yang, Y.; Liu, B.; Si, Y.; Zhou, J. Finite Element Analysis of Dynamic Recrystallization Model and Microstructural Evolution for GCr15 Bearing Steel Warm–Hot Deformation Process. Materials 2023, 16, 4806. [Google Scholar] [CrossRef]
- Khomutov, M.; Churyumov, A.Y.; Pozdnyakov, A.; Voitenko, A.; Chereshneva, A. Simulation of the kinetics of dynamic recrystallization of alloy KhN55MBYu-VD during hot deformation. Met. Sci. Heat Treat. 2019, 60, 606–610. [Google Scholar] [CrossRef]
- Chen, S.; Luk, B.L. Adaptive simulated annealing for optimization in signal processing applications. Signal Process. 1999, 79, 117–128. [Google Scholar] [CrossRef]
- Yang, Y.; Chen, X.; Zhang, B. Reverse optimization method of Hansel-Spittel constitutive model parameters for warm forming of GCr15 steel based on particle swarm optimization. Trans. Mater. Heat Treat. 2022, 43, 147–156. [Google Scholar] [CrossRef]















| C | Mn | Si | P | S | Ni | Cr | Mo | Fe |
|---|---|---|---|---|---|---|---|---|
| 0.42 | 1.0 | 0.36 | 0.007 | 0.005 | 0.25 | 1.1 | 0.3 | Bal |
| Temperature | 0.005 s−1 | 0.01 s−1 | 0.1 s−1 | |||
|---|---|---|---|---|---|---|
| 900 °C | 0.157 | 0.319 | 0.177 | 0.367 | - | - |
| 950 °C | 0.123 | 0.254 | 0.135 | 0.279 | 0.201 | 0.412 |
| 1000 °C | 0.102 | 0.209 | 0.110 | 0.227 | 0.144 | 0.332 |
| 1050 °C | 0.082 | 0.175 | 0.087 | 0.188 | 0.142 | 0.295 |
| 1100 °C | 0.068 | 0.145 | 0.076 | 0.16 | 0.117 | 0.249 |
| 1150 °C | 0.057 | 0.12 | 0.063 | 0.135 | 0.101 | 0.214 |
| 1200 °C | 0.049 | 0.103 | 0.056 | 0.115 | 0.085 | 0.187 |
| Temperature | 0.005 s−1 | 0.01 s−1 | 0.1 s−1 |
|---|---|---|---|
| 900 °C | 0.442 | 0.455 | - |
| 950 °C | 0.371 | 0.411 | 0.507 |
| 1000 °C | 0.302 | 0.346 | 0.457 |
| 1050 °C | 0.259 | 0.29 | 0.425 |
| 1100 °C | 0.222 | 0.249 | 0.382 |
| 1150 °C | 0.185 | 0.214 | 0.335 |
| 1200 °C | 0.154 | 0.182 | 0.298 |
| Parameters | Initial Value | Range | Parameters | Initial Value | Range |
|---|---|---|---|---|---|
| 0.001961477 | 0~0.05 | 1 | 0.5~1 | ||
| 0.183264286 | 0~1 | 1 | 0.5~1 | ||
| 51,682.3123 | 10,000~100,000 | 2.35367 | 1~5 | ||
| 0.012486827 | 0~0.5 | 45,822.75598 | 10,000~100,000 | ||
| 0.148662857 | 0~1 | 0.117188571 | 0~1 | ||
| 42,053.11969 | 10,000~100,000 | −72,714.96784 | −10,000~−100,000 | ||
| 0.693 | 0~1 |
| R | RMSE | AARE/% | |
|---|---|---|---|
| Traditional method | 0.925 | 0.047 | 92.131 |
| ASA optimization | 0.992 | 0.046 | 60.945 |
Disclaimer/Publisher’s Note: The statements, opinions and data contained in all publications are solely those of the individual author(s) and contributor(s) and not of MDPI and/or the editor(s). MDPI and/or the editor(s) disclaim responsibility for any injury to people or property resulting from any ideas, methods, instructions or products referred to in the content. |
© 2025 by the authors. Licensee MDPI, Basel, Switzerland. This article is an open access article distributed under the terms and conditions of the Creative Commons Attribution (CC BY) license (https://creativecommons.org/licenses/by/4.0/).
Share and Cite
Chen, X.; Li, Q.; Liu, B.; Zhao, S.; Sun, L.; Yi, H. Identification of Dynamic Recrystallization Model Parameters for 40CrMnMoA Alloy Steel Using the Inverse Optimization Method. Materials 2025, 18, 718. https://doi.org/10.3390/ma18030718
Chen X, Li Q, Liu B, Zhao S, Sun L, Yi H. Identification of Dynamic Recrystallization Model Parameters for 40CrMnMoA Alloy Steel Using the Inverse Optimization Method. Materials. 2025; 18(3):718. https://doi.org/10.3390/ma18030718
Chicago/Turabian StyleChen, Xuewen, Qiang Li, Bingqi Liu, Shiqi Zhao, Lei Sun, and Hao Yi. 2025. "Identification of Dynamic Recrystallization Model Parameters for 40CrMnMoA Alloy Steel Using the Inverse Optimization Method" Materials 18, no. 3: 718. https://doi.org/10.3390/ma18030718
APA StyleChen, X., Li, Q., Liu, B., Zhao, S., Sun, L., & Yi, H. (2025). Identification of Dynamic Recrystallization Model Parameters for 40CrMnMoA Alloy Steel Using the Inverse Optimization Method. Materials, 18(3), 718. https://doi.org/10.3390/ma18030718
