Synthesis, Characterization, and Electrocatalytic Properties of PrMn0.5M0.5O3 (M = Cr, Fe, Co, Ni) Perovskites
Abstract
1. Introduction
2. Experimental Section
2.1. Materials
2.2. Syntheses of Perovskites
2.3. Powder X-Ray Diffraction
2.4. Scanning Electron Microscopy
2.5. Infrared Spectroscopy
2.6. Cyclic Voltammetry
3. Results and Discussion
3.1. XRPD and Crystallochemical Calculations
3.2. Morphology and Elemental Composition
3.3. Infrared Spectra of the Obtained Perovskites
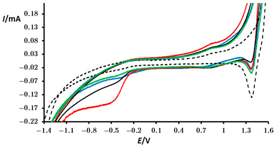
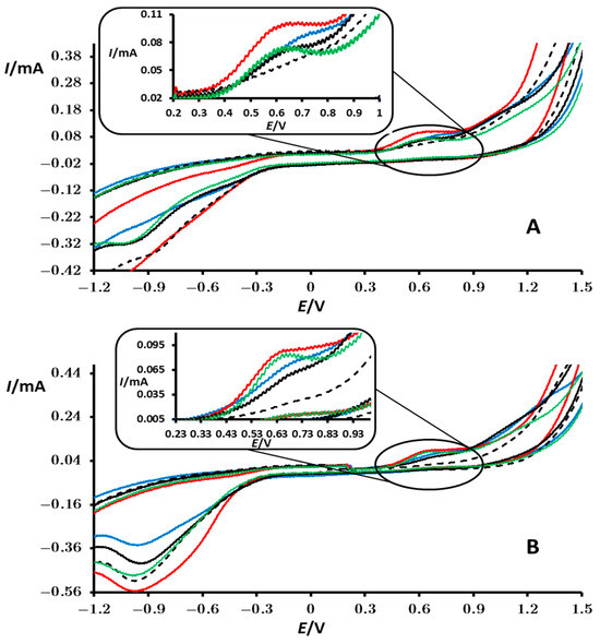
3.4. Electrocatalytic Properties
4. Conclusions
Supplementary Materials
Author Contributions
Funding
Institutional Review Board Statement
Informed Consent Statement
Data Availability Statement
Conflicts of Interest
References
- Tilley, R.D. Perovskites Structure-Property Relationships, 1st ed.; John Willey & Sons, Ltd.: Hoboken, NJ, USA, 2016; pp. 7–11. [Google Scholar]
- Borowski, M. Perovskites: Structure, Properties and Uses; Nova Science Publishers: Hauppauge, NY, USA, 2010; pp. 9–15. [Google Scholar]
- Kumar, D.; Yadav, R.S.; Monika; Singh, A.K.; Rai, S.B. Synthesis Techniques and Applications of Perovskite Materials. In Perovskite Materials, Devices and Integration; IntechOpen: London, UK, 2020. [Google Scholar] [CrossRef]
- Atta, N.F.; Galal, A.; El-Ads, E.H. Perovskite Nanomaterials—Synthesis, Characterization, and Applications. In Perovskite Materials—Synthesis, Characterisation, Properties, and Applications; IntechOpen: London, UK, 2016. [Google Scholar] [CrossRef]
- Assirey, E.A.R. Perovskite Synthesis, Properties and Their Related Biochemical and Industrial Application. Saudi Pharm. J. 2019, 27, 817–829. [Google Scholar] [CrossRef]
- Fu, L.; Li, B.; Li, S.; Yin, L. Magnetic, Electronic, and Optical Properties of Perovskite Materials. In Materials Horizons: From Nature to Nanomaterials; Springer: Singapore, 2020; pp. 43–59. [Google Scholar] [CrossRef]
- Hou, X.; Ren, J.; Li, F.; Ma, C.; Zhang, X.; Feng, H. Research Progress of Perovskite Materials as Catalysts. IOP Conf. Ser. Earth Env. Sci. 2019, 295, 032020. [Google Scholar] [CrossRef]
- Cheong, S.-W.; Mostovoy, M. Multiferroics: A magnetic twist for ferroelectricity. Nat. Mater. 2007, 6, 13–20. [Google Scholar] [CrossRef] [PubMed]
- Rao, C.N.R.; Cheetham, A.K. Giant Magnetoresistance, Charge-Ordering, and Related Aspects of Manganates and Other Oxide Systems. Adv. Mater. 1997, 9, 1009–1017. [Google Scholar] [CrossRef]
- Yusuf, S.M. Magnetic studies of colossal magnetoresistance perovskites on macroscopic, mesoscopic and microscopic length scales. Pramana J. Phys. 2004, 63, 133–141. [Google Scholar] [CrossRef]
- Hussain, I.; Tran, H.P.; Jaksik, J.; Moore, J.; Islam, N.; Uddin, M.J. Functional Materials, device architecture, and flexibility of perovskite solar cell. Emergent Mater. 2018, 1, 133–154. [Google Scholar] [CrossRef]
- Hipólito, E.L.; Quintero-Lizárraga, O.L.; Torres-Martínez, L.M. A Critical Review of the Use of Bismuth Halide Perovskites for CO2 Photoreduction: Stability Challenges and Strategies Implemented. Catalysts 2022, 12, 1410. [Google Scholar] [CrossRef]
- Mitchell, R.H. Perovskites: Modern and Ancient; Almaz Press Inc.: Thunder Bay, ON, Canada, 2000. [Google Scholar]
- Agarwal, C.; Mittal, H.; Bano, T.; Kumar, J.; Gora, M.; Kumar, A.; Chandra, S.; Vikal, S.; Gautam, Y.K.; Kumar, S. A Review on Recent Advancements in Rare-Earth Based Double Perovskite Compounds. Res. Rev. J. Pure Appl. Phys. 2022, 10, 1–16. [Google Scholar] [CrossRef]
- Vasala, S.; Karppinen, M. A2B′B″O6 perovskites: A review. Prog. Solid State Chem. 2015, 43, 1–36. [Google Scholar] [CrossRef]
- Dasqupta, T.S. Double perovskites with 3d and 4d/5d transition metals: Compounds with promises. Mater. Res. Express 2020, 7, 014003. [Google Scholar] [CrossRef]
- Anderson, M.T.; Greenwood, K.B.; Taylor, G.A.; Poeppelmeier, K.R. B-cation arrangements in double perovskites. Prog. Solid State Chem. 1993, 22, 197–233. [Google Scholar] [CrossRef]
- King, G.; Woodward, P.M. Cation ordering in perovskites. J. Mater. Chem. 2010, 20, 5785–5796. [Google Scholar] [CrossRef]
- Tong, Y.; Wu, J.; Chen, P.; Liu, H.; Chu, W.; Wu, C.; Xie, Y. Vibronic superexchange in double perovskite electrocatalyst for efficient electrocatalytic oxygen evolution. J. Am. Chem. Soc. 2018, 140, 11165–11169. [Google Scholar] [CrossRef] [PubMed]
- Geiger, S.; Kasian, O.; Ledendecker, M.; Pizzutilo, E.; Mingers, A.M.; Fu, W.T.; Diaz-Morales, O.; Li, Z.; Oellers, T.; Fruchter, L.; et al. The stability number as a metric for electrocatalyst stability benchmarking. Nat. Catal. 2018, 1, 508–515. [Google Scholar] [CrossRef]
- Diaz Morales, O.A.; Raaijman, S.; Kortlever, R.; Kooyman, P.J.; Wezendonk, T.; Gascon, J.; Fu, W.T.; Koper, M.T.M. Iridium-based double perovskites for efficient water oxidation in acid media. Nat. Commun. 2016, 7, 12363. [Google Scholar] [CrossRef] [PubMed]
- Grimaud, A.; Demortière, A.; Saubanère, M.; Dachraoui, W.; Duchamp, M.; Doublet, M.L.; Tarascon, J.M. Activation of surface oxygen sites on an iridium-based model catalyst for the oxygen evolution reaction. Nat. Energy 2016, 2, 16189. [Google Scholar] [CrossRef]
- Cheriti, M.; Kahoul, A. Double perovskite oxides Sr2MMoO6 (M = Fe and Co) as cathode materials for oxygen reduction in alkaline medium. Mater. Res. Bull. 2012, 47, 135–141. [Google Scholar] [CrossRef]
- Najjar, H.; Batis, H. Development of Mn-Based Perovskite Materials: Chemical Structure and Applications. Catal. Rev. 2016, 58, 371–438. [Google Scholar] [CrossRef]
- Xia, W.; Pei, Z.; Leng, K.; Zhu, X. Research Progress in Rare Earth-Doped Perovskite Manganite Oxide Nanostructures. Nanoscale Res. Lett. 2020, 15, 9. [Google Scholar] [CrossRef] [PubMed]
- Salamon, M.B.; Jaime, M. The Physics of Manganites: Structure and Transport. Rev. Mod. Phys. 2001, 73, 583–628. [Google Scholar] [CrossRef]
- Guo, L.; Bai, Y.; Huang, C.; Ma, W. Revisiting La2MMnO6 (M = Co, Ni, Cu, Zn) perovskites in view of 3d-electron configuration. J. Appl. Phys. 2018, 124, 065103. [Google Scholar] [CrossRef]
- Harbi, A.; Le Godec, Y.; Moutaabbid, H.; Benmokhtar, S.; Moutaabbid, M. Tailoring the Griffiths-like cluster formation in insulator ferromagnet spin Gd2NixCo1–xMnO6 double perovskites. Phys. Rev. B 2021, 104, 054404. [Google Scholar] [CrossRef]
- Baral, S.C.; Maneesha, P.; Rini, E.G.; Sen, S. Recent advances in La2NiMnO6 Double Perovskites for various applications; challenges and opportunities. Cond. Mat. Mat. Sci. 2023, 72, 100429. [Google Scholar] [CrossRef]
- Zhank, Y.; Lia, H.; Guoa, D.; Houa, L.; Lia, X.; Rena, S.; Wildeb, G. Cryogenic magnetic properties and magnetocaloric performance in double perovskite Pr2NiMnO6 and Pr2CoMnO6 compounds. Ceram. Int. 2018, 44, 20762–20767. [Google Scholar] [CrossRef]
- Elhamel, M.; Hebboul, Z.; Benbertal, D.; Botella, P.; Errandonea, D. Synthesis, Structural Characterization, and Infrared Analysis of Double Perovskites Pr2NiMnO6, Gd2NiMnO6, and Er2NiMnO6 Functional Nano-Ceramics. Nanomaterials 2024, 14, 960. [Google Scholar] [CrossRef]
- Rawat, K.; Meenakshi and Mahato, R.N. Investigation of structural, magnetic, and magnetocaloric properties of nanocrystalline double perovskite Pr2CoMnO6. Mater. Res. Express 2018, 5, 066110. [Google Scholar] [CrossRef]
- Aswathia, K.; Palakkal, J.P.; Varmaa, R.M. Magnetization sign reversal, exchange bias, and Griffiths-like phase in orthorhombic perovskite Pr2FeMnO6. J. Magn. Magn. Mater. 2018, 476, 45–52. [Google Scholar] [CrossRef]
- Muddelwar, R.K.; Pani, J.; Lad, A.B.; Kumar, K.U.; Gaikwad, V.M.; Borkar, H. Pr2CrMnO6 double perovskite as new electrode material for electrochemical energy storage. Mater. Chem. Phys. 2023, 302, 127726. [Google Scholar] [CrossRef]
- Carlos, E.; Martins, R.; Fortunato, E.; Branquinho, R. Solution Combustion Synthesis: Towards a Sustainable Approach for Metal Oxides. Chem. A Eur. J. 2020, 26, 9099–9125. [Google Scholar] [CrossRef]
- Megarajan, S.K.; Rayalu, S.; Nishibori, M.; Teraoka, Y.; Labhsetwar, N. Effects of Surface and Bulk Silver on PrMnO3+δ Perovskite for CO and Soot Oxidation: Experimental Evidence for the Chemical State of Silver. ACS Catal. 2015, 5, 301–309. [Google Scholar] [CrossRef]
- Alonso, J.A.; Martínez-Lope, M.J.; de La Calle, C.; Pomjakushin, V. Preparation and structural study from neutron diffraction data of RCoO3 (R = Pr, Tb, Dy, Ho, Er, Tm, Yb, Lu) perovskites. J. Mater. Chem. 2006, 16, 1555–1560. [Google Scholar] [CrossRef]
- Huo, G.; Song, D.; Yang, Q.; Dong, F. Structure, magnetic and electrical transport properties of the perovskites Sm1−xCaxFe1−xMnxO−. Ceram. Int. 2008, 34, 497–503. [Google Scholar] [CrossRef]
- Knížek, K.; Jirák, Z.; Hejtmánek, J.; Veverka, M.; Maryško, M.; Maris, G.; Palstra, T.T.M. Structural anomalies associated with the electronic and spin transitions in LnCoO3. Eur. Phys. J. B 2005, 47, 213–220. [Google Scholar] [CrossRef]
- Shannon, R.D. Revised Effective Ionic Radii and Systematic Studies of Interatomic Distances in Halides and Chalcogenides. Acta Cryst. 1976, 32, 751–767. [Google Scholar] [CrossRef]
- Dau, H.; Limberg, C.; Reier, T.; Risch, M.; Roggan, S.; Strasser, P. The Mechanism of Water Oxidation: From Electrolysis via Homogeneous to Biological Catalysis. ChemCatChem 2010, 2, 724–761. [Google Scholar] [CrossRef]
- Abu-Rabi, A.; Jašin, D.; Mentus, S. The Influence of Cathodic Pretreatment on the Kinetics of Hydroxide Ion Oxidation on Polycrystalline Gold Electrode. J. Electroanal. Chem. 2007, 600, 364–368. [Google Scholar] [CrossRef]
- Dimitrovska-Lazova, S.; Aleksovska, S.; Mirceski, V.; Pecovska-Gjorgjevich, M. Correlation between Composition, Electrical and Electrochemical Properties of LnCo1–xCrxO3 (Ln = Pr, Gd and x = 0, 0.5 and 1) Perovskites. J. Solid State Electrochem. 2019, 23, 861–870. [Google Scholar] [CrossRef]
- Dimitrovska-Lazova, S.; Aleksovska, S.; Tzvetkov, P.; Mirčeski, V.; Kovacheva, D. Influence of Y-Ion Substitution on Structural and Electrochemical Characteristics of YCo0.5Fe0.5O3 The Influence of Partial Substitution of Y3+ with Ca2+ in YCo0.5Fe0.5O3. Bulg. Chem. Commun. 2015, 47, 245–252. [Google Scholar]
- Shimizu, Y.; Komatsu, H.; Michishita, S.; Miura, N.; Yamazo, N. Sensing Characteristics of Hydrogen Peroxide Sensor Using Carbon-Based Electrode Loaded with Perovskite-Type Oxide. Sens. Actuators B Chem. 1996, 34, 493–498. [Google Scholar] [CrossRef]








| Parameter | PrMn0.5Cr0.5O3 | PrMn0.5Fe0.5O3 | PrMn0.5Co0.5O3 | PrMn0.5Ni0.5O3 |
|---|---|---|---|---|
| a/Å | 5.48332(15) | 5.50542(10) | 5.44150(7) | 5.44720(5) |
| b/Å | 7.71590(16) | 7.76003(16) | 7.71534(14) | 7.70407(9) |
| c/Å | 5.45981(13) | 5.47908(9) | 5.41677(56) | 5.44336(47) |
| β/° | 90 | 90 | 90 | 90 |
| V/Å3 | 230.998 | 234.078 | 227.412 | 228.431 |
| t | 0.8983 | 0.8917 | 0.9141 | 0.9016 |
| s | 0.004297 | 0.004796 | 0.004555 | 0.000716 |
| ap/Å | 3.86530 | 3.88241 | 3.845209 | 3.850927 |
| d | 0.04893 | 0.04026 | 0.08698 | 0.001269 |
| (b/√2)/Å | 5.455965 | 5.48717 | 5.455569 | 5.4476 |
| distorth | 0.003831 | 0.003475 | 0.005108 | 0.000617 |
| PrMn0.5Cr0.5O3 | PrMn0.5Fe0.5O3 | PrMn0.5Co0.5O3 | PrMn0.5Ni0.5O3 | ||||
|---|---|---|---|---|---|---|---|
| Element | Atomic % | Element | Atomic % | Element | Atomic % | Element | Atomic % |
| Mn | 3.09 | Mn | 3.74 | Mn | 6.85 | Mn | 5.07 |
| Cr | 2.50 | Fe | 3.51 | Co | 6.23 | Ni | 5.89 |
| Pr | 5.43 | Pr | 6.51 | Pr | 10.72 | Pr | 10.13 |
Disclaimer/Publisher’s Note: The statements, opinions and data contained in all publications are solely those of the individual author(s) and contributor(s) and not of MDPI and/or the editor(s). MDPI and/or the editor(s) disclaim responsibility for any injury to people or property resulting from any ideas, methods, instructions or products referred to in the content. |
© 2025 by the authors. Licensee MDPI, Basel, Switzerland. This article is an open access article distributed under the terms and conditions of the Creative Commons Attribution (CC BY) license (https://creativecommons.org/licenses/by/4.0/).
Share and Cite
Ramadani, B.C.; Sela, J.; Stojanov, L.; Popovska, S.; Mirčeski, V.; Bukleski, M.; Dimitrovska-Lazova, S.; Reka, A.A.; Aleksovska, S. Synthesis, Characterization, and Electrocatalytic Properties of PrMn0.5M0.5O3 (M = Cr, Fe, Co, Ni) Perovskites. Materials 2025, 18, 717. https://doi.org/10.3390/ma18030717
Ramadani BC, Sela J, Stojanov L, Popovska S, Mirčeski V, Bukleski M, Dimitrovska-Lazova S, Reka AA, Aleksovska S. Synthesis, Characterization, and Electrocatalytic Properties of PrMn0.5M0.5O3 (M = Cr, Fe, Co, Ni) Perovskites. Materials. 2025; 18(3):717. https://doi.org/10.3390/ma18030717
Chicago/Turabian StyleRamadani, Besarta Cheliku, Jeta Sela, Leon Stojanov, Sofija Popovska, Valentin Mirčeski, Miha Bukleski, Sandra Dimitrovska-Lazova, Arianit A. Reka, and Slobotka Aleksovska. 2025. "Synthesis, Characterization, and Electrocatalytic Properties of PrMn0.5M0.5O3 (M = Cr, Fe, Co, Ni) Perovskites" Materials 18, no. 3: 717. https://doi.org/10.3390/ma18030717
APA StyleRamadani, B. C., Sela, J., Stojanov, L., Popovska, S., Mirčeski, V., Bukleski, M., Dimitrovska-Lazova, S., Reka, A. A., & Aleksovska, S. (2025). Synthesis, Characterization, and Electrocatalytic Properties of PrMn0.5M0.5O3 (M = Cr, Fe, Co, Ni) Perovskites. Materials, 18(3), 717. https://doi.org/10.3390/ma18030717

