Research on the High-Temperature Stability of Twin-Screw Desulphurised Rubber Powder Composite SBS-Modified Asphalt and Its Mixtures
Abstract
1. Introduction
2. Materials and Methods
2.1. Raw Materials
2.2. Test Methods
- (1)
- Temperature scanning test
- (2)
- Multi-stress repeated creep recovery (MSCR) test
- (3)
- Water immersion Hamburg rutting test
- (4)
- Fluorescence microscope test
3. Results
3.1. Asphalt Conventional Performance Test Results
3.2. Results of Temperature Scanning Test
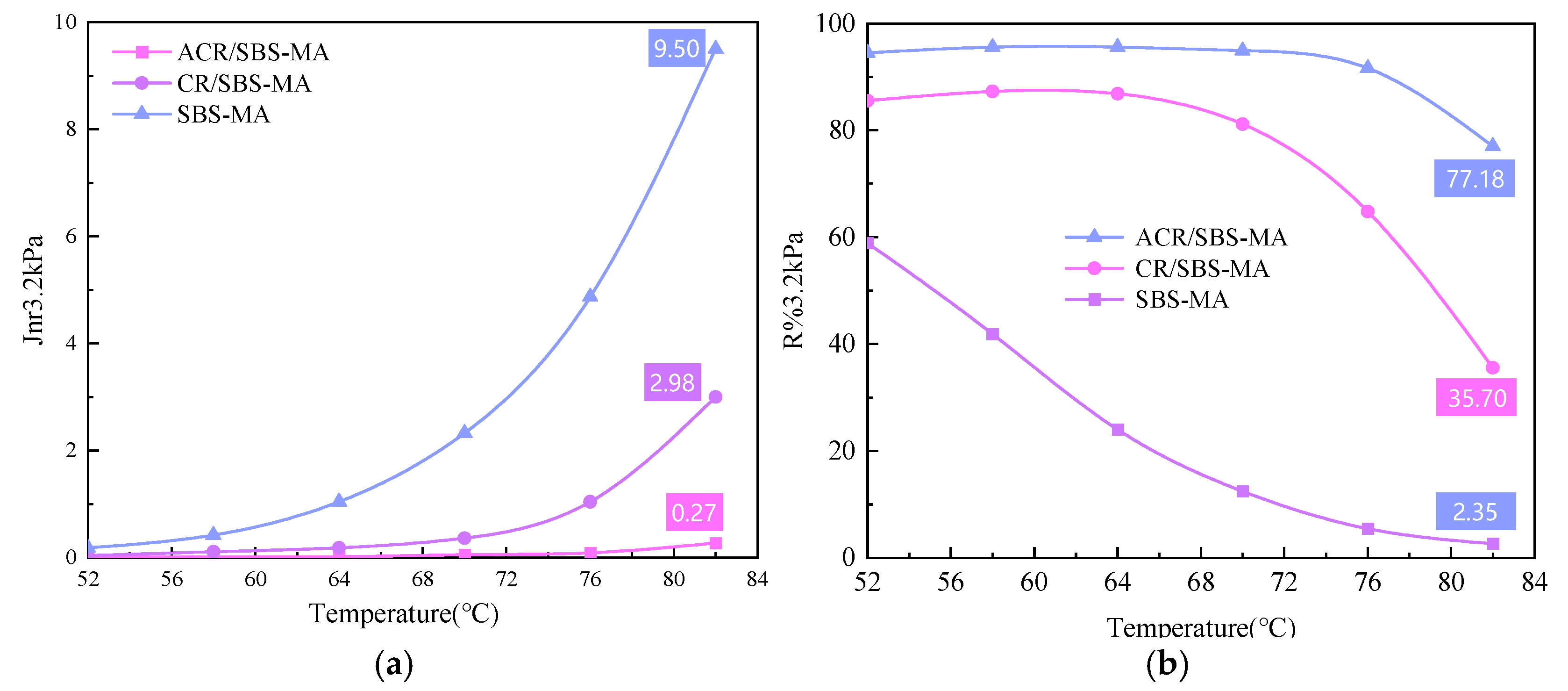
3.3. Multi-Stress Repeated Creep Recovery (MSCR) Test Results
3.4. Rutting Test Results of Immersion Burger
3.5. Analysis of Fluorescence Microscopy Results
4. Conclusions
- (1)
- Rubber powder by twin-screw desulphurisation will significantly improve the high-temperature rutting resistance of its composite-modified asphalt. SBS-modified asphalt will significantly improve at a temperature of more than 76 °C with the basic loss of high-temperature performance, and this will cease with the increase in temperature. The rubber powder composite-modified asphalt by twin-screw desulphurisation at 82 °C still has a good creep recovery rate.
- (2)
- In 70 °C hydrothermal coupling conditions, twin-screw desulfurisation of rubber powder composite SBS-modified asphalt mixture of high-temperature stability and water stability significantly improved.
- (3)
- Under the condition of hydrothermal coupling at 80 °C, the rutting depth of ACR/SBS-MA mixtures has the smallest increase rate with the number of loads, which is one-third and one-thirteenth of CR/SBS-MA mixtures and SBS-modified asphalt mixtures, respectively.
- (4)
- The desulphurised rubber powder and SBS modifier in twin-screw desulphurised rubber powder composite SBS-modified asphalt form a stable cross-linking network structure in the asphalt matrix, which in turn improves its high-temperature stability performance and water stability performance.
- (5)
- The research results of this project can save 10% for construction and maintenance during the whole life cycle and extend the service life of the pavement by 2–3 years. The asphalt dosage is recommended to be determined in combination with the actual gradation of the project.
- (6)
- In the next step, we would like to test the durability and ageing performance of FGD composite modified asphalt mixtures under freeze–thaw cycles as well as the monitoring of the engineering practice, with a view to providing technical support and engineering practice for its promotion and application.
Author Contributions
Funding
Institutional Review Board Statement
Informed Consent Statement
Data Availability Statement
Acknowledgments
Conflicts of Interest
References
- Zhao, Z.; Xu, L.; Guan, X.; Li, X.; Xiao, F. Rutting and strain characteristics of rubberized asphalt pavement based on accelerated pavement tester. J. Clean. Prod. 2022, 376, 134219. [Google Scholar] [CrossRef]
- Pratico, F.G.; Perri, G.; Rose, M.D.; Vaiana, R. Comparing bio-binders, rubberised asphalts, and traditional pavement technologies. Constr. Build. Mater. 2023, 400, 132813. [Google Scholar] [CrossRef]
- Xie, J.; Zhang, Y.; Yang, Y. Study on Preparation Method of Terminal Blend Rubberized Asphalt Binder. Front. Mater. 2020, 7, 279. [Google Scholar] [CrossRef]
- Dong, R.K.; Liang, W.B.; Tang, N.P.; Zhao, M.Z. Composition and Viscoelasticity of Asphalt Modified with Crumb Rubber Pre-desulfurized by Waste Cooking Oil. China J. Highw. Transp. 2019, 32, 226–234. [Google Scholar]
- Han, L.; Zheng, M.; Guo, H.; Wang, T.; Zhu, J.; Hajikarimi, P. Mechanism behind Time Dependent Elasticity of Crumb Rubber-Nano-Asphalt Hybrids Using Discrete Relaxation Spectrum. J. Renew. Mater. 2022, 10, 1727–1752. [Google Scholar] [CrossRef]
- Zheng, W.; Wang, H.; Chen, Y.; Ji, J.; You, Z.; Zhang, Y. A review on compatibility between crumb rubber and asphalt binder. Constr. Build. Mater. 2021, 297, 123820. [Google Scholar] [CrossRef]
- Zhang, G.; Li, Y.; Chen, L.; Ye, F.; Wang, S. Rheological Properties of the Asphalt Modified by the Activated Rubber in the Presence of Waste Engine Oil. J. Build. Mater. 2018, 21, 320–326. [Google Scholar]
- Guang-Tai, Z.; Shuo, F.; Fen, Y.E. Rheological Properties of Crumb Rubber-modified Asphalt Prepared by Twin-screw Extrusion. China J. Highw. Transp. 2019, 32, 57–63. [Google Scholar]
- Si, H.; Chen, T.; Zhang, Y. Effects of high shear stress on the devulcanization of ground tire rubber in a twin-screw extruder. J. Appl. Polym. Sci. 2013, 128, 2307–2318. [Google Scholar] [CrossRef]
- Yazdani, H.; Karrabi, M.; Ghasmi, I.; Azizi, H.; Bakhshandeh, G.R. Devulcanization of waste tires using a twin-screw extruder: The effects of processing conditions. J. Vinyl Addit. Technol. 2011, 17, 64–69. [Google Scholar] [CrossRef]
- Yazdani, H.; Ghasemi, I.; Karrabi, M.; Azizi, H.; Bakhshandeh, G.R. Continuous devulcanization of waste tires by using a Co-rotating twin screw extruder: Effects of screw configuration, temperature profile, and devulcanization agent concentration. J. Vinyl Addit. Technol. 2013, 19, 65–72. [Google Scholar] [CrossRef]
- Lu, X.; Ren, D.; Zhang, L. Simulation Analysis on Refining Process of the Rubber Desulfurization in the Co-Rotating Twin Screw Extruder and the Mixing Mill. Polym. Mater. Sci. Eng. 2017, 34, 273–282. [Google Scholar]
- Maridass, B.; Gupta, B.R. Process optimization of devulcanization of waste rubber powder from syringe stoppers by twin screw extruder using response surface methodology. Polym. Compos. 2010, 29, 1350–1357. [Google Scholar] [CrossRef]
- Xing, Z.; Zhang, L.; Zhang, Y.; Li, D. Effects of crosslink bond type of iir-based waste rubber powder on the epdm-assisted devulcanization reaction. Rubber Chem. Technol. 2021, 94, 575–590. [Google Scholar] [CrossRef]
- Li, H.; Feng, Z.; Liu, H.; Ahmed, A.T.; Zhang, M.; Zhao, G.; Guo, P.; Sheng, Y. Performance and inorganic fume emission reduction of desulfurized rubber powder/styrene-butadiene-styrene composite modified asphalt and its mixture. J. Clean. Prod. 2022, 364, 132690. [Google Scholar] [CrossRef]
- Peng, W.; Li, P.; Gong, W.; Tian, S.; Wang, Z.; Liu, S.; Liu, Z. Preparation and mechanism of rubber-plastic alloy crumb rubber modified asphalt with low viscosity and stabilized performance. Constr. Build. Mater. 2023, 388, 131687. [Google Scholar] [CrossRef]
- JT/T 797-2019; Rubber Powder for Road Waste Tires. State Administration for Market Regulation: Beijing, China, 2019.
- JTG E20-2011; Standard Test Methods of Bitumen and Bituminous Mixtures for Highway Engineering. Edited by the Institute of Highway Science, Ministry of Communications; People’s Transportation Press: Beijing, China, 1984.
- AASHTOT 350-2019; Standard Method of Test for Multiple Stress Creep Recovery (MSCR) Test of Asphalt Binder Using a Dynamic Shear Rheometer (DSR). American Association of State Highway and Transportation Officials: Washington, DC, USA, 2019.









| Technical Indicators | Unit | Test Result | Required Value | Test Method | |
|---|---|---|---|---|---|
| Penetration (25 °C, 100 g, 5 s) | 0.1 mm | 68.7 | 60~80 | T0604 | |
| Softening point | °C | 46.8 | ≥46 | T0606 | |
| Ductility (10 °C) | cm | 41.7 | ≥20 | T0605 | |
| Ductility (15 °C) | cm | >150 | ≥100 | ||
| Density | g/cm3 | 1.032 | / | T0603 | |
| 60 °C power viscosity | Pa∙s | 191 | ≥180 | T0620 | |
| RTFOF (163 °C, 85 min) | Mass loss | % | 0.12 | ≤±0.8 | T0610 |
| Penetration ratio | % | 68 | ≥65 | T0604 | |
| Ductility (10 °C, 5 cm/min) | cm | 6.2 | ≥6 | T0605 | |
| Technical Index | Test Result | Required Value |
|---|---|---|
| Relative density/(g/cm3) | 1.15 | 1.1~1.2 |
| Water content/% | 0.52 | <1 |
| Iron content/% | 0.01 | <0.01 |
| Fiber content/% | 0.07 | <0.5 |
| Ash content/% | 7.23 | ≤8 |
| Acetone extractives/% | 6.24 | 6~16 |
| Carbon black content/% | 30 | ≥28 |
| Rubber hydrocarbon content/% | 52 | 42~65 |
| Index | SBS-MA | CR/SBS-MA | ACR/SBS-MA | |
|---|---|---|---|---|
| SBS content/% | 3.0 | 3.0 | 3.0 | |
| Gum powder content (mass ratio)/% | 0 | 20 | 20 | |
| Penetration (25 °C, 100 g, 5 s)/(0.1 mm) | 70 | 68 | 73 | |
| Penetration index | 0.21 | 3.30 | 2.20 | |
| Ductility (5 °C, 5 cm/min)/cm | 30 | 21 | 39 | |
| Softening point/°C | 72 | 83 | 91 | |
| 48 h Softening point difference/°C | 1.2 | 6.9 | 0.5 | |
| After ageing | Mass loss/% | −0.08 | 0.10 | −0.30 |
| Penetration ratio/% | 80 | 83 | 84 | |
| Ductility (5 °C, 5 cm/min)/cm | 26 | 14 | 27 | |
Disclaimer/Publisher’s Note: The statements, opinions and data contained in all publications are solely those of the individual author(s) and contributor(s) and not of MDPI and/or the editor(s). MDPI and/or the editor(s) disclaim responsibility for any injury to people or property resulting from any ideas, methods, instructions or products referred to in the content. |
© 2025 by the authors. Licensee MDPI, Basel, Switzerland. This article is an open access article distributed under the terms and conditions of the Creative Commons Attribution (CC BY) license (https://creativecommons.org/licenses/by/4.0/).
Share and Cite
Li, D.; Wang, Y.; Zhao, J.; Guo, F.; Li, B.; Yao, T. Research on the High-Temperature Stability of Twin-Screw Desulphurised Rubber Powder Composite SBS-Modified Asphalt and Its Mixtures. Materials 2025, 18, 480. https://doi.org/10.3390/ma18030480
Li D, Wang Y, Zhao J, Guo F, Li B, Yao T. Research on the High-Temperature Stability of Twin-Screw Desulphurised Rubber Powder Composite SBS-Modified Asphalt and Its Mixtures. Materials. 2025; 18(3):480. https://doi.org/10.3390/ma18030480
Chicago/Turabian StyleLi, Dongna, Yongning Wang, Jingzhuo Zhao, Fucheng Guo, Bo Li, and Tengfei Yao. 2025. "Research on the High-Temperature Stability of Twin-Screw Desulphurised Rubber Powder Composite SBS-Modified Asphalt and Its Mixtures" Materials 18, no. 3: 480. https://doi.org/10.3390/ma18030480
APA StyleLi, D., Wang, Y., Zhao, J., Guo, F., Li, B., & Yao, T. (2025). Research on the High-Temperature Stability of Twin-Screw Desulphurised Rubber Powder Composite SBS-Modified Asphalt and Its Mixtures. Materials, 18(3), 480. https://doi.org/10.3390/ma18030480

