One-Step Electrodeposition of Hybrid Semiconductive CdSe/Nitrogen-Doped Carbon Dots Thin Films
Abstract
1. Introduction
2. Materials and Methods
2.1. Production of the NCDs Solution
2.2. Production of the Hybrid Semiconductive Thin Films
2.3. Characterization of the Hybrid Semiconductive Thin Films
3. Results and Discussion
3.1. XRD Investigation of the Thin Films
3.2. SEM and SEM-EDS Investigation of Thin Films
3.3. Investigation of Thin Films Band Gap
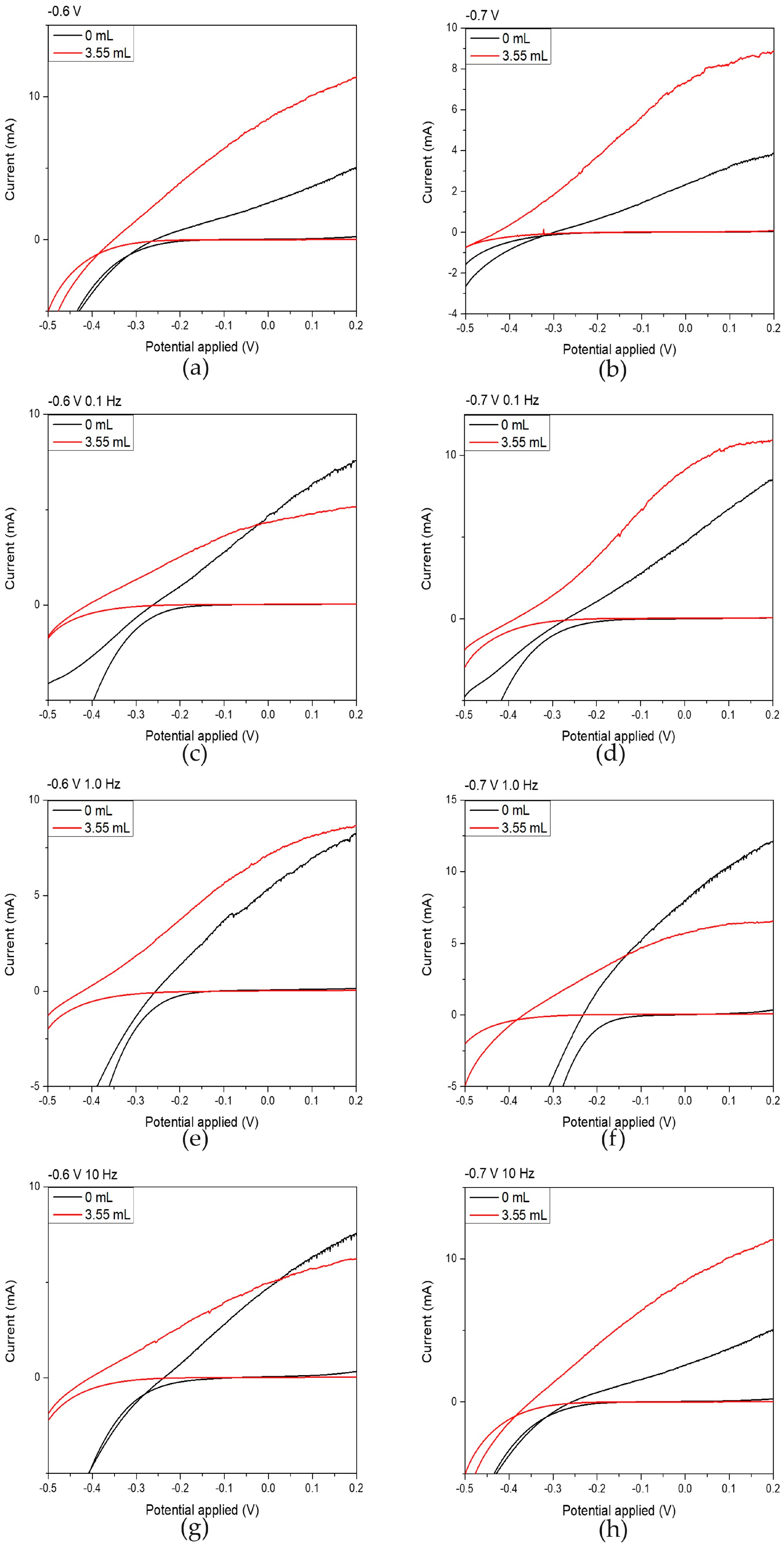
3.4. Photoelectrochemical Behavior
4. Conclusions
Supplementary Materials
Author Contributions
Funding
Data Availability Statement
Conflicts of Interest
References
- Mitzithra, C.; Hamilakis, S.; Kollia, C.; Loizos, Z. CdSe Semiconducting Layers Produced by Pulse Electrolysis. Semiconductors 2012, 46, 615–618. [Google Scholar] [CrossRef]
- Shenouda, A.Y.; El Sayed, E.S.M. Electrodeposition, Characterization and Photo Electrochemical Properties of CdSe and CdTe. Ain Shams Eng. J. 2015, 6, 341–346. [Google Scholar] [CrossRef]
- Rashwan, S.M.; Abd El-Wahab, S.M.; Mohamed, M.M. Electrodeposition and Characterization of CdSe Semiconductor Thin Films. J. Mater. Sci. Mater. Electron. 2007, 18, 575–585. [Google Scholar] [CrossRef]
- Wang, H.; Dong, C.; Gui, Y.; Ye, J.; Altaleb, S.; Thomaschewski, M.; Movahhed Nouri, B.; Patil, C.; Dalir, H.; Sorger, V.J. Self-Powered Sb2Te3/MoS2 Heterojunction Broadband Photodetector on Flexible Substrate from Visible to Near Infrared. Nanomaterials 2023, 13, 1973. [Google Scholar] [CrossRef]
- Lu, J.; He, Y.; Ma, C.; Ye, Q.; Yi, H.; Zheng, Z.; Yao, J.; Yang, G. Ultrabroadband Imaging Based on Wafer-Scale Tellurene. Adv. Mater. 2023, 35, 2211562. [Google Scholar] [CrossRef]
- Zhang, X.-L.; Li, J.; Leng, B.; Yang, L.; Song, Y.-D.; Feng, S.-Y.; Feng, L.-Z.; Liu, Z.-T.; Fu, Z.-W.; Jiang, X.; et al. High-Performance Ultraviolet-Visible Photodetector with High Sensitivity and Fast Response Speed Based on MoS2-on-ZnO Photogating Heterojunction. Tungsten 2023, 5, 91–99. [Google Scholar] [CrossRef]
- Milonakou-Koufoudaki, K.; Mitzithra, C.; Hamilakis, S.; Kollia, C.; Loizos, Z. Natural Dyes in Hybrid Chalcogenide Multi-Layer Thin Films. Bull. Mater. Sci. 2020, 43, 140. [Google Scholar] [CrossRef]
- Mitzithra, C.; Kaniaris, V.; Hamilakis, S.; Kordatos, K.; Kollia, C.; Loizos, Z. Development and Study of New Hybrid Semiconducting Systems Involving Cd Chalcogenide Thin Films Coated by a Fullerene Derivative. Mater. Lett. 2011, 65, 1651–1654. [Google Scholar] [CrossRef]
- Mitzithra, C.; Chountoulesi, E.; Hamilakis, S.; Kordatos, K.; Kollia, C.; Loizos, Z. Development of New CdTe Based Hybrid Semiconducting Layers Produced in One Step by Electro-Codeposition. Semiconductors 2013, 47, 1303–1307. [Google Scholar] [CrossRef]
- Milonakou-Koufoudaki, K.; Lyros, T.; Mitzithra, C.; Hamilakis, S.; Kollia, C.; Loizos, Z. Development, Characterization, and Study of New (Cd,Zn)Se-Based Hybrid Semiconductive Systems. J. Appl. Electrochem. 2017, 47, 1023–1033. [Google Scholar] [CrossRef]
- Hamilakis, S.; Balgis, D.; Milonakou-Koufoudaki, K.; Mitzithra, C.; Kollia, C.; Loizos, Z. Electrodeposition of CdSe Photoabsorber Thin Films in the Presence of Selected Organic Additives. Mater. Lett. 2015, 145, 11–14. [Google Scholar] [CrossRef]
- Hamilakis, S.; Gallias, N.; Mitzithra, C.; Kordatos, K.; Kollia, C.; Loizos, Z. Hexagonal Electrodeposited CdSe in New Multi-Layer Hybrid Organic–Inorganic Semiconductive Systems with Remarkable High Photoconductivity. Mater. Lett. 2015, 143, 63–66. [Google Scholar] [CrossRef]
- Pirsaheb, M.; Asadi, A.; Sillanpää, M.; Farhadian, N. Application of Carbon Quantum Dots to Increase the Activity of Conventional Photocatalysts: A Systematic Review. J. Mol. Liq. 2018, 271, 857–871. [Google Scholar] [CrossRef]
- Yang, S.; Du, R.; Yu, Y.; Zhang, Z.; Wang, F. One-Step Electrodeposition of Carbon Quantum Dots and Transition Metal Ions for N-Doped Carbon Coupled with NiFe Oxide Clusters: A High-Performance Electrocatalyst for Oxygen Evolution. Nano Energy 2020, 77, 105057. [Google Scholar] [CrossRef]
- Dong, Y.; Han, Q.; Hu, Q.; Xu, C.; Dong, C.; Peng, Y.; Ding, Y.; Lan, Y. Carbon Quantum Dots Enriching Molecular Nickel Polyoxometalate over CdS Semiconductor for Photocatalytic Water Splitting. Appl. Catal. B Environ. 2021, 293, 120214. [Google Scholar] [CrossRef]
- Wei, P.; Chen, Y.; Zhou, T.; Wang, Z.; Zhang, Y.; Wang, H.; Yu, H.; Jia, J.; Zhang, K.; Peng, C. Manipulation of Charge-Transfer Kinetics via Ti3C2Tx (T = −O) Quantum Dot and N-Doped Carbon Dot Coloading on CdS for Photocatalytic Hydrogen Production. ACS Catal. 2023, 13, 587–600. [Google Scholar] [CrossRef]
- Meng, Z.-D.; Zhu, L.; Ye, S.; Sun, Q.; Ullah, K.; Cho, K.-Y.; Oh, W.-C. Fullerene Modification CdSe/TiO2 and Modification of Photocatalytic Activity under Visible Light. Nanoscale Res. Lett. 2013, 8, 189. [Google Scholar] [CrossRef]
- Xu, Z.; Wang, Y.; Zhuang, J.; Li, Y.; Jia, L. High Temperature Hydrothermal Etching of G-C3N4 for Synthesis of N Doped Carbon Quantum Dots-Supported CdS Photocatalyst to Enhance Visible Light Driven Hydrogen Generation. Mol. Catal. 2022, 517, 111900. [Google Scholar] [CrossRef]
- Zhang, Z.; Zheng, T.; Li, X.; Xu, J.; Zeng, H. Progress of Carbon Quantum Dots in Photocatalysis Applications. Part. Part. Syst. Charact. 2016, 33, 457–472. [Google Scholar] [CrossRef]
- Meng, Z.-D.; Zhu, L.; Oh, W.-C. Preparation and High Visible-Light-Induced Photocatalytic Activity of CdSe and CdSe-C60 Nanoparticles. J. Ind. Eng. Chem. 2012, 18, 2004–2009. [Google Scholar] [CrossRef]
- Fernando, K.A.S.; Sahu, S.; Liu, Y.; Lewis, W.K.; Guliants, E.A.; Jafariyan, A.; Wang, P.; Bunker, C.E.; Sun, Y.-P. Carbon Quantum Dots and Applications in Photocatalytic Energy Conversion. ACS Appl. Mater. Interfaces 2015, 7, 8363–8376. [Google Scholar] [CrossRef]
- Zhang, Y.; Zhao, Y.; Xu, Z.; Su, H.; Bian, X.; Zhang, S.; Dong, X.; Zeng, L.; Zeng, T.; Feng, M.; et al. Carbon Quantum Dots Implanted CdS Nanosheets: Efficient Visible-Light-Driven Photocatalytic Reduction of Cr(VI) under Saline Conditions. Appl. Catal. B Environ. 2020, 262, 118306. [Google Scholar] [CrossRef]
- Kutzmutz, S.; Láng, G.; Heusler, K.E. The Electrodeposition of CdSe from Alkaline Electrolytes. Electrochim. Acta 2001, 47, 955–965. [Google Scholar] [CrossRef]
- Chandrasekar, M.S.; Pushpavanam, M. Pulse and Pulse Reverse Plating—Conceptual, Advantages and Applications. Electrochim. Acta 2008, 53, 3313–3322. [Google Scholar] [CrossRef]
- Larson, C.; Farr, J.P.G. Current Research and Potential Applications for Pulsed Current Electrodeposition—A Review. Trans. IMF 2012, 90, 20–29. [Google Scholar] [CrossRef]
- Shen, C.M.; Zhang, X.G.; Li, H.L. Influence of Different Deposition Potentials on Morphology and Structure of CdSe Films. Appl. Surf. Sci. 2005, 240, 34–41. [Google Scholar] [CrossRef]
- Lai, X.; Liu, C.; He, H.; Li, J.; Wang, L.; Long, Q.; Zhang, P.; Huang, Y. Hydrothermal Synthesis and Characterization of Nitrogen-Doped Fluorescent Carbon Quantum Dots from Citric Acid and Urea. Ferroelectrics 2020, 566, 116–123. [Google Scholar] [CrossRef]
- Vercelli, B.; Donnini, R.; Ghezzi, F.; Sansonetti, A.; Giovanella, U.; La Ferla, B. Nitrogen-Doped Carbon Quantum Dots Obtained Hydrothermally from Citric Acid and Urea: The Role of the Specific Nitrogen Centers in Their Electrochemical and Optical Responses. Electrochim. Acta 2021, 387, 138557. [Google Scholar] [CrossRef]
- Falara, P.P.; Chatzikonstantinou, N.; Zourou, A.; Tsipas, P.; Sakellis, E.; Alexandratou, E.; Nasikas, N.K.; Kordatos, K.V.; Antoniadou, M. Optimizing Carbon Dot—TiO2 Nanohybrids for Enhanced Photocatalytic Hydrogen Evolution. Materials 2025, 18, 1023. [Google Scholar] [CrossRef]
- Segkos, A.; Sakellis, I.; Boukos, N.; Drivas, C.; Kennou, S.; Kordatos, K.; Tsamis, C. Patterned Carbon Dot-Based Thin Films for Solid-State Devices. Nanoscale 2020, 12, 10254–10264. [Google Scholar] [CrossRef]
- Skyllas Kazacos, M.; Miller, B. Electrodeposition of CdSe Films from Selenosulfite Solution. J. Electrochem. Soc. 1980, 127, 2378–2381. [Google Scholar] [CrossRef]
- Molaei, M.J. The Optical Properties and Solar Energy Conversion Applications of Carbon Quantum Dots: A Review. Sol. Energy 2020, 196, 549–566. [Google Scholar] [CrossRef]
- Ibach, H.; Lüth, H. Solid-State Physics: An Introduction to Principles of Materials Science, 4th ed.; Advanced Texts in Physics; Springer: Berlin/Heidelberg, Germany; New York, NY, USA, 2009. [Google Scholar]






| Applied Voltage (V/SCE) | Pulse Frequency (Hz) | Duty Cycle (%) | NCDs Addition (mL) | Film Thickness * (μm) |
|---|---|---|---|---|
| −0.6 | DC | - | 0 | 3.85 |
| 0.1 | 70 | 0 | 3.53 | |
| 1.0 | 70 | 0 | 3.74 | |
| 10 | 70 | 0 | 3.58 | |
| DC | - | 3.55 | 2.92 | |
| 0.1 | 70 | 3.55 | 2.03 | |
| 1.0 | 70 | 3.55 | 1.81 | |
| 10 | 70 | 3.55 | 1.60 | |
| −0.7 | DC | - | 0 | 3.02 |
| 0.1 | 70 | 0 | 3.64 | |
| 1.0 | 70 | 0 | 2.74 | |
| 10 | 70 | 0 | 2.98 | |
| DC | - | 3.55 | 2.68 | |
| 0.1 | 70 | 3.55 | 2.12 | |
| 1.0 | 70 | 3.55 | 2.81 | |
| 10 | 70 | 3.55 | 2.40 |
| 2θ Peak (°) | FWHM (°) | Dhkl (nm) | |||||
|---|---|---|---|---|---|---|---|
| NCDs (mL) | 0 | 3.55 | 0 | 3.55 | 0 | 3.55 | |
| 0.6 V/SCE | DC | 25.3 | 25.5 | 0.298 | 0.800 | 29.8 | 11.5 |
| 0.1 Hz | 25.4 | 25.6 | 0.215 | 0.954 | 39.5 | 6.8 | |
| 1.0 Hz | 25.3 | 25.9 | 0.345 | 1.584 | 25.2 | 7.3 | |
| 10 Hz | 25.3 | 25.0 | 0.197 | 1.527 | 45.0 | 10.1 | |
| 0.7 V/SCE | DC | 25.8 | 25.5 | 0.686 | 0.736 | 11.9 | 11.1 |
| 0.1 Hz | 25.4 | 25.7 | 0.240 | 1.080 | 20.7 | 8.9 | |
| 1.0 Hz | 25.4 | 25.7 | 0.765 | 1.169 | 11.5 | 8.7 | |
| 10 Hz | 25.3 | 25.4 | 0.379 | 0.843 | 27.8 | 16.8 | |
| Elements | Cd | Se | C | ||||
|---|---|---|---|---|---|---|---|
| NCDs (mL) | 0 | 3.55 | 0 | 3.55 | 0 | 3.55 | |
| 0.6 V/SCE | DC | 34.5 ± 1.3 | 23.1 ± 1.3 | 44.3 ± 1.9 | 34.2 ± 1.9 | 21.2 ± 3.1 | 42.7 ± 3.2 |
| 0.1 Hz | 37.4 ± 2.2 | 23.4 ± 1.4 | 41.7 ± 1.8 | 38.4 ± 0.8 | 20.9 ± 3.9 | 38.2 ± 2.1 | |
| 1.0 Hz | 37.6 ± 0.4 | 20.2 ± 0.9 | 42.5 ± 0.7 | 36.0 ± 3.2 | 19.9 ± 1.1 | 43.8 ± 3.8 | |
| 10 Hz | 39.4 ± 1.3 | 11.4 ± 1.2 | 42.2 ± 1.6 | 26.7 ± 3.2 | 18.4 ± 2.2 | 61.9 ± 4.3 | |
| 0.7 V/SCE | DC | 41.9 ± 2.6 | 35.6 ± 1.5 | 41.3 ± 1.0 | 34.9 ± 0.9 | 16.8 ± 1.7 | 29.5 ± 1.3 |
| 0.1 Hz | 37.2 ± 2.3 | 19.9 ± 3.1 | 41.1 ± 1.6 | 36.9 ± 5.3 | 21.7 ± 3.8 | 43.2 ± 8.3 | |
| 1.0 Hz | 25.9 ± 2.9 | 20.9 ± 0.8 | 53.7 ± 4.1 | 41.5 ± 1.8 | 20.4 ± 6.5 | 37.6 ± 2.5 | |
| 10 Hz | 52.6 ± 9.5 | 21.8 ± 1.1 | 28.1 ± 6.1 | 42.3 ± 1.0 | 19.3 ± 6.0 | 35.9 ± 1.9 | |
| Voltage (V/SCE) | Pulse Frequency (Hz) | Band Gap (eV) | |
|---|---|---|---|
| Plain CdSe | CdSe + 3.55 mL NCDs | ||
| −0.6 | DC | 1.63 | 1.74 |
| 0.1 | 1.61 | 1.80 | |
| 1.0 | 1.59 | 1.88 | |
| 10 | 1.58 | 2.10 | |
| −0.7 | DC | 1.65 | 1.80 |
| 0.1 | 1.62 | 1.76 | |
| 1 | 1.73 | 1.72 | |
| 10 | 1.63 | 1.73 | |
| Photoelectrochemical Response | |||||||||
|---|---|---|---|---|---|---|---|---|---|
| η % | FF | (mA/cm2) | (V) | ||||||
| NCDs (mL) | 0 | 3.55 | 0 | 3.55 | 0 | 3.55 | 0 | 3.55 | |
| −0.6 V/SCE | DC | 0.39 | 1.77 | 0.29 | 0.21 | 3.85 | 17.56 | −0.33 | −0.46 |
| 0.1 Hz | 0.28 | 0.47 | 0.24 | 0.29 | 4.15 | 3.81 | −0.26 | −0.41 | |
| 1 Hz | 0.37 | 0.71 | 0.29 | 0.25 | 4.74 | 6.31 | −0.25 | −0.42 | |
| 10 Hz | 0.27 | 0.51 | 0.26 | 0.27 | 4.17 | 4.40 | −0.24 | −0.40 | |
| −0.7 V/SCE | DC | 0.15 | 0.71 | 0.22 | 0.24 | 2.08 | 6.50 | −0.30 | −0.43 |
| 0.1 Hz | 0.28 | 0.75 | 0.24 | 0.23 | 4.14 | 8.09 | −0.27 | −0.38 | |
| 1 Hz | 0.53 | 0.59 | 0.30 | 0.30 | 6.97 | 5.04 | −0.23 | −0.37 | |
| 10 Hz | 0.16 | 0.77 | 0.26 | 0.27 | 2.26 | 7.47 | −0.26 | −0.35 | |
Disclaimer/Publisher’s Note: The statements, opinions and data contained in all publications are solely those of the individual author(s) and contributor(s) and not of MDPI and/or the editor(s). MDPI and/or the editor(s) disclaim responsibility for any injury to people or property resulting from any ideas, methods, instructions or products referred to in the content. |
© 2025 by the authors. Licensee MDPI, Basel, Switzerland. This article is an open access article distributed under the terms and conditions of the Creative Commons Attribution (CC BY) license (https://creativecommons.org/licenses/by/4.0/).
Share and Cite
Pappa, K.; Dardavila, M.M.; Tzanis, A.; Zourou, A.; Mitzithra, C.; Hamilakis, S.; Loizos, Z.; Kordatos, K.; Kollia, C. One-Step Electrodeposition of Hybrid Semiconductive CdSe/Nitrogen-Doped Carbon Dots Thin Films. Materials 2025, 18, 5691. https://doi.org/10.3390/ma18245691
Pappa K, Dardavila MM, Tzanis A, Zourou A, Mitzithra C, Hamilakis S, Loizos Z, Kordatos K, Kollia C. One-Step Electrodeposition of Hybrid Semiconductive CdSe/Nitrogen-Doped Carbon Dots Thin Films. Materials. 2025; 18(24):5691. https://doi.org/10.3390/ma18245691
Chicago/Turabian StylePappa, Katerina, Maria Myrto Dardavila, Athanasios Tzanis, Adamantia Zourou, Christina Mitzithra, Stylianos Hamilakis, Zaphirios Loizos, Konstantinos Kordatos, and Constantina Kollia. 2025. "One-Step Electrodeposition of Hybrid Semiconductive CdSe/Nitrogen-Doped Carbon Dots Thin Films" Materials 18, no. 24: 5691. https://doi.org/10.3390/ma18245691
APA StylePappa, K., Dardavila, M. M., Tzanis, A., Zourou, A., Mitzithra, C., Hamilakis, S., Loizos, Z., Kordatos, K., & Kollia, C. (2025). One-Step Electrodeposition of Hybrid Semiconductive CdSe/Nitrogen-Doped Carbon Dots Thin Films. Materials, 18(24), 5691. https://doi.org/10.3390/ma18245691

