Enhanced Numerical Equivalent Acoustic Material (eNEAM): Analytical and Numerical Framework for Porous Media with Thermo-Viscous Effects for Time Domain Simulations
Abstract
1. Introduction
2. Materials and Methods
2.1. Analytical NEAM Model
2.2. Analytical Thermo-Viscous NEAM Model
2.3. Thermo-Viscous FDTD NEAM Model
2.4. Adaptaive Grid Technique
3. Results
3.1. NEAM Model Enhancements
3.2. eNEAM Parameters Robustness
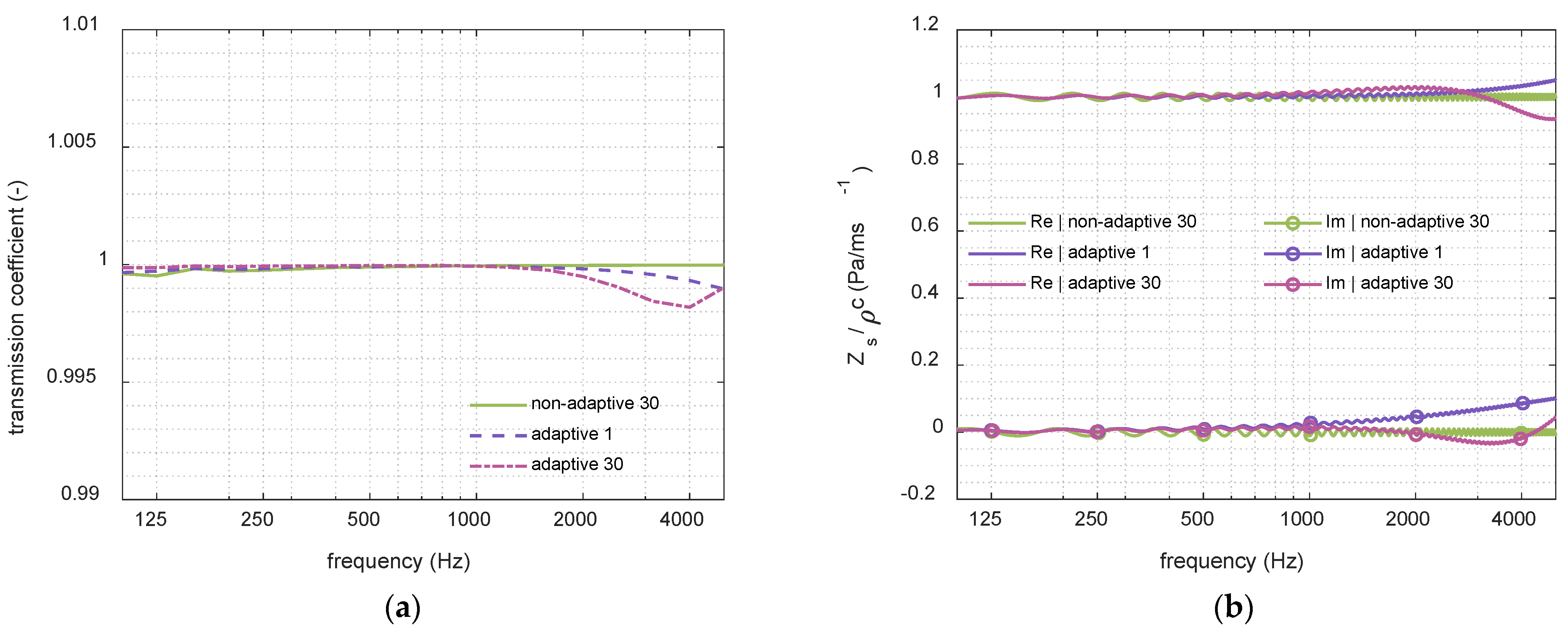
3.3. Computational Efficiency Trhough Adaptive Grid
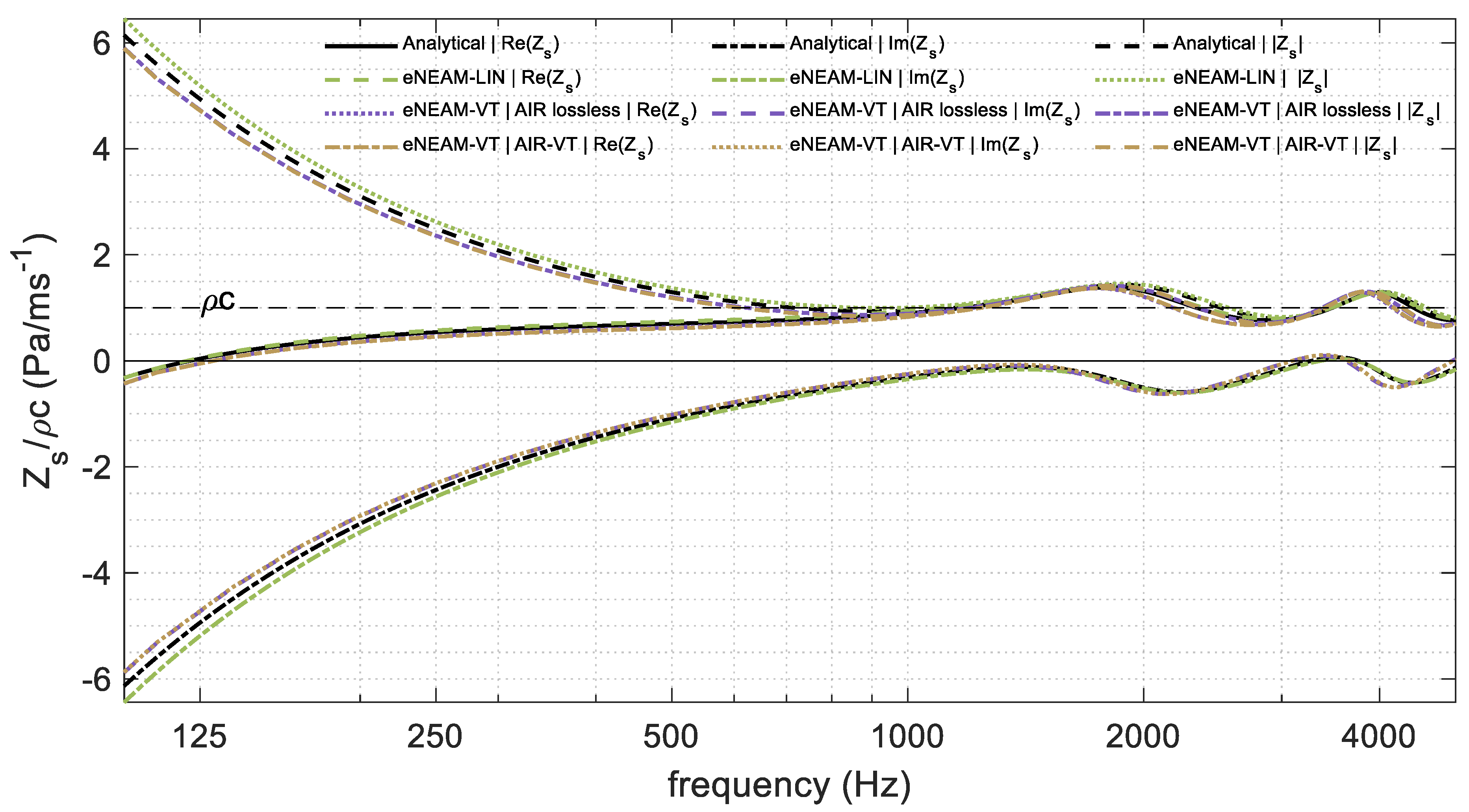
3.4. Linear Versus Thermo-Viscous FDTD eNEAM Model
4. Conclusions
Author Contributions
Funding
Data Availability Statement
Conflicts of Interest
Abbreviations
| JCAL | Johnson–Champoux–Allard–Lafarge |
| NEAM | Numerical Equivalent Acoustic Material |
| eNEAM | Enhanced Numerical Equivalent Acoustic Material |
| FDTD | Finite Difference Time Domain |
| TPMS | Triply Periodic Minimal Surface |
| CFL | Courant–Friedrichs–Lewy |
| CFD | Computational Fluid Dynamics |
| GF | Grow Factor |
| ADI | Alternating-Direction Implicit |
| PPW | Points Per Wavelength |
References
- Delany, M.E.; Bazley, E.N. Acoustical properties of fibrous absorbent materials. Appl. Acoust. 1970, 3, 105–116. [Google Scholar] [CrossRef]
- Johnson, D.L.; Koplik, J.; Dashen, R. Theory of dynamic permeability and tortuosity in fluid-saturated porous media. J. Fluid Mech. 1987, 176, 379–402. [Google Scholar] [CrossRef]
- Champoux, Y.; Allard, J.F. Dynamic tortuosity and bulk modulus in air-saturated porous media. J. Appl. Phys. 1991, 70, 1975–1979. [Google Scholar] [CrossRef]
- Lafarge, D.; Lemarinier, P.; Allard, J.F.; Tarnow, V. Dynamic compressibility of air in porous structures at audible frequencies. J. Acoust. Soc. Am. 1997, 102, 1995–2006. [Google Scholar] [CrossRef]
- Atalla, N.; Panneton, R. Inverse acoustical characterization of open cell porous media using impedance tube measurements. Can. Acoust. 2005, 33, 11–24. [Google Scholar]
- Kosten, C.W.; Zwikker, C. Sound Absorbing Materials; Elsevier: Amsterdam, The Netherlands, 1949; p. 15. [Google Scholar]
- Allard, J.; Atalla, N. Propagation of Sound in Porous Media: Modelling Sound Absorbing Materials; John Wiley Sons: Hoboken, NJ, USA, 2009. [Google Scholar]
- Jaouen, L.; Gourdon, E.; Glé, P. Estimation of all six parameters of Johnson-Champoux-Allard-Lafarge model for acoustical porous materials from impedance tube measurements. J. Acoust. Soc. Am. 2020, 148, 1998–2005. [Google Scholar] [CrossRef]
- Bouchendouka, A.; Fellah, Z.E.A.; Nguyen, C.T.; Ogam, E.; Perrot, C.; Duval, A.; Depollier, C. Improving acoustic wave propagation models in highly attenuating porous materials. J. Acoust. Soc. Am. 2024, 155, 206–217. [Google Scholar] [CrossRef]
- Bouchendouka, A.; Fellah, Z.E.A.; Lafarge, D.; Scotti, T.; Ogam, E.; Perrot, C.; Depollier, C.L. Refining Viscous and Thermal Dynamic Tortuosities for Highly Resistive Porous Materials: A Theoretical and Experimental Investigation. In Proceedings of the 17e Congrès Français d’Acoustique, Paris, France, 27–30 April 2025. [Google Scholar]
- Lafarge, D. Acoustic waves in gas-filled structured porous media: Asymptotic tortuosity/compliability and characteristic-lengths reevaluated to incorporate the influence of spatial dispersion. Acta Acust. 2024, 8, 41. [Google Scholar] [CrossRef]
- Sirivuri, K.K.; Sekar, V.; Cantwell, W.J.; Liao, K.; Berton, B.; Ravaud, N.; Jacquart, P.M.; Al-Rub, R.K.A. Computational study of sound absorption in TPMS lattice materials using a thermoviscous model. J. Build. Eng. 2025, 112, 113658. [Google Scholar] [CrossRef]
- El Hajj, E.; Rastegar, N.; Salinas, M.F.; Fotsing, E.R.; Ross, A.; Vidal, D. Numerical study of thermo-viscous effects in acoustic materials using linearized Navier-Stokes equations. In INTER-NOISE and NOISE-CON Congress and Conference Proceedings; Institute of Noise Control Engineering: Wakefield, MA, USA, 2024; Volume 270, pp. 8577–8585. [Google Scholar]
- Jaouen, L.; Bécot, F.X.; Chevillotte, F. Characterizations of acoustical porous media: Standardized methods, current trends and challenges. Front. Acoust. 2025, 3, 1543456. [Google Scholar] [CrossRef]
- Iglesias, P.C.; Godinho, L.; Redondo, J. Numerical Equivalent Acoustic Material for Air-Filled Porous Absorption Simulations in Finite Different Time Domain Methods: Design and Comparison. Appl. Sci. 2024, 14, 1222. [Google Scholar] [CrossRef]
- Kuttruff, H. Acoustics: An Introduction; CRC Press: Boca Raton, FL, USA, 2007. [Google Scholar]
- Navier, C.L.M.H. Mémoire sur les lois du mouvement des fluides. Mémoires de l’Académie Royale des Sciences de l’Institut de France 1823, 6, 389–440. [Google Scholar]
- Stokes, G. On the theories of the internal friction of fluids in motion. Trans. Camb. Philos. Soc. 1845, 8, 287–305. [Google Scholar]
- Botteldooren, D. Numerical model for moderately nonlinear sound propagation in three-dimensional structures. J. Acoust. Soc. Am. 1996, 100, 1357–1367. [Google Scholar] [CrossRef]
- Hamilton, B.; Bilbao, S. FDTD modelling of sound propagation in air including viscothermal and relaxation effects. In Forum Acusticum; HAL Open Science: Lyon, France, 2020; pp. 541–543. [Google Scholar]
- Wilson, D.K.; Ostashev, V.E.; Collier, S.L. Time-domain equations for sound propagation in rigid-frame porous media (L). J. Acoust. Soc. Am. 2004, 116, 1889–1892. [Google Scholar] [CrossRef]
- Jiménez, N.; Camarena, F.; Redondo, J.; Sánchez-Morcillo, V.; Hou, Y.; Konofagou, E.E. Time-domain simulation of ultrasound propagation in a tissue-like medium based on the resolution of the nonlinear acoustic constitutive relations. Acta Acust. United Acust. 2016, 102, 876–892. [Google Scholar] [CrossRef]
- Berger, M.J.; Oliger, J. Adaptive mesh refinement for hyperbolic partial differential equations. J. Comput. Phys. 1984, 53, 484–512. [Google Scholar] [CrossRef]
- Frank, J.E.; Reich, S. On Spurious Reflections, Nonuniform Grids and Finite Difference Discretizations of Wave Equations; Stichting Centrum voor Wiskunde en Informatica: Amsterdam, The Netherlands, 2004. [Google Scholar]
- Fornberg, B. Generation of finite difference formulas on arbitrarily spaced grids. Math. Comput. 1988, 51, 699–706. [Google Scholar] [CrossRef]
- Remis, R.F. Stability of FDTD on nonuniform grids for Maxwell’s equations in lossless media. J. Comput. Phys. 2006, 218, 594–606. [Google Scholar] [CrossRef]
- Volders, K. Stability of central finite difference schemes on non-uniform grids for 1D partial differential equations with variable coefficients. In AIP Conference Proceedings; American Institute of Physics: New York, NY, USA, 2010; Volume 1281, pp. 1991–1994. [Google Scholar]
- Astoul, T.; Wissocq, G.; Boussuge, J.F.; Sengissen, A.; Sagaut, P. Analysis and reduction of spurious noise generated at grid refinement interfaces with the lattice Boltzmann method. J. Comput. Phys. 2020, 418, 109645. [Google Scholar] [CrossRef]
- Hustedt, B.; Operto, S.; Virieux, J. Mixed-grid and staggered-grid finite-difference methods for frequency-domain acoustic wave modelling. Geophys. J. Int. 2004, 157, 1269–1296. [Google Scholar] [CrossRef]
- LeVeque, R.J. Finite Difference Methods for Ordinary and Partial Differential Equations: Steady-State and Time-Dependent Problems; Society for Industrial and Applied Mathematics: Philadelphia, PA, USA, 2007. [Google Scholar]
- Liu, X.; Yin, X.; Wu, G. Finite-difference modeling with variable grid-size and adaptive time-step in porous media. Earthq. Sci. 2014, 27, 169–178. [Google Scholar] [CrossRef][Green Version]
- Taflove, A.; Hagness, S.C.; Piket-May, M. Computational electromagnetics: The finite-difference time-domain method. In The Electrical Engineering Handbook; Academic Press: Cambridge, MA, USA, 2005; Volume 3, p. 15. [Google Scholar]
- Liu, C.; Feng, J.; Xu, K.; Deng, X.; Fang, M. A hybrid one-step leapfrog ADI-FDTD and subgridding approach based on a heterogeneous computing platform. Microw. Opt. Technol. Lett. 2024, 66, e34180. [Google Scholar] [CrossRef]
- Wang, H.; Shu, C.W.; Zhang, Q. Stability and error estimates of local discontinuous Galerkin methods with implicit-explicit time-marching for advection-diffusion problems. SIAM J. Numer. Anal. 2015, 53, 206–227. [Google Scholar] [CrossRef]
- Pereira, M.; Mareze, P.H.; Godinho, L.; Amado-Mendes, P.; Ramis, J. Proposal of numerical models to predict the diffuse field sound absorption of finite sized porous materials–BEM and FEM approaches. Appl. Acoust. 2021, 180, 108092. [Google Scholar] [CrossRef]













Disclaimer/Publisher’s Note: The statements, opinions and data contained in all publications are solely those of the individual author(s) and contributor(s) and not of MDPI and/or the editor(s). MDPI and/or the editor(s) disclaim responsibility for any injury to people or property resulting from any ideas, methods, instructions or products referred to in the content. |
© 2025 by the authors. Licensee MDPI, Basel, Switzerland. This article is an open access article distributed under the terms and conditions of the Creative Commons Attribution (CC BY) license (https://creativecommons.org/licenses/by/4.0/).
Share and Cite
Iglesias, P.C.; Godinho, L.; Redondo, J. Enhanced Numerical Equivalent Acoustic Material (eNEAM): Analytical and Numerical Framework for Porous Media with Thermo-Viscous Effects for Time Domain Simulations. Materials 2025, 18, 5441. https://doi.org/10.3390/ma18235441
Iglesias PC, Godinho L, Redondo J. Enhanced Numerical Equivalent Acoustic Material (eNEAM): Analytical and Numerical Framework for Porous Media with Thermo-Viscous Effects for Time Domain Simulations. Materials. 2025; 18(23):5441. https://doi.org/10.3390/ma18235441
Chicago/Turabian StyleIglesias, P. C., L. Godinho, and J. Redondo. 2025. "Enhanced Numerical Equivalent Acoustic Material (eNEAM): Analytical and Numerical Framework for Porous Media with Thermo-Viscous Effects for Time Domain Simulations" Materials 18, no. 23: 5441. https://doi.org/10.3390/ma18235441
APA StyleIglesias, P. C., Godinho, L., & Redondo, J. (2025). Enhanced Numerical Equivalent Acoustic Material (eNEAM): Analytical and Numerical Framework for Porous Media with Thermo-Viscous Effects for Time Domain Simulations. Materials, 18(23), 5441. https://doi.org/10.3390/ma18235441

