Experimental Investigation of a C-S-H Nanocrystalline Nucleus Modified with PCE Dispersant on the Early-Age Mechanical Behavior of Oil Well Cement Paste
Abstract
1. Introduction
2. Materials and Methods
2.1. Materials
2.2. Design of Nanocrystalline Nucleus for Use as Early Strengthening Agent
2.3. Preparation and Characterization of Nanocrystalline Nucleus
2.4. Preparation and Evaluation of OWC Paste
3. Results and Discussion
3.1. Optimization of the Ca/Si Molar Ratio of Nanocrystalline Nucleus
3.2. Structural Characterization of DRA-1L
3.2.1. X-Ray Diffraction (XRD) Analysis
3.2.2. FT-IR Analysis
3.2.3. X-Ray Fluorescence (XRF) Analysis
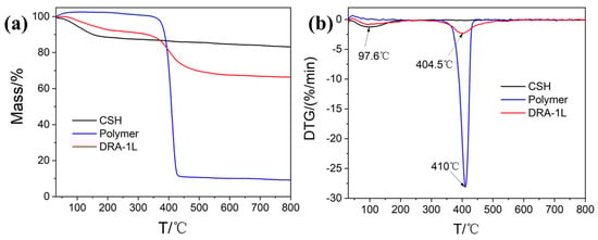
3.2.4. Thermal Stability Analysis
3.2.5. Microscopic Morphology of DRA-1L
3.2.6. Size Distribution of DRA-1L
3.3. Properties Evaluation of DRA-1L on OWC Paste
3.3.1. Rheological Properties of OWC Paste
3.3.2. Thickening Performance of OWC Paste
3.3.3. Transition Time of Static Gel Strength of OWC Paste
3.3.4. Mechanical Strength Development of Cement Stone
3.4. Action Mechanism Analysis of DRA-1L
3.4.1. Cement Hydration Kinetics Analysis
3.4.2. Cement Hydration Products Analysis
3.4.3. Degree of Cement Hydration Analysis
3.5. Application of DRA-1L in Low-Density OWC Paste System
4. Conclusions
- (1)
- The structural characterization of DRA-1L revealed that its crystal structure closely resembles that of amorphous C-S-H gel, with a particle size distribution ranging from 20 to 200 nm.
- (2)
- The performance evaluation of DRA-1L in OWC paste indicated that its addition can enhance rheological properties, significantly reduce the transition time of the static gel strength, and promote the development of cement stone strength and early compressive strength at low temperatures. This effectively addresses the issues of slow strength development and low compressive strength in cement stone at low temperatures.
- (3)
- Additionally, the study of action mechanisms demonstrated that the DRA-1L possesses a crystal nucleus template effect, which can lower the formation barrier of C-S-H gel and accelerate cement hydration. This results in improved compactness and increases the early strength of cement stone.
- (4)
- DRA-1L can be applied to low-temperature OWC paste systems with low density. The low-density OWC paste system with DRA-1L at low temperatures exhibits excellent comprehensive performance, with construction and mechanical properties that meet cementing requirements.
Author Contributions
Funding
Institutional Review Board Statement
Informed Consent Statement
Data Availability Statement
Conflicts of Interest
References
- Guo, J.; Lu, H.; Liu, S.; Jin, J.; Yu, Y. The novel fluid loss additive HTF-200C for oil field cementing. Petroleum Explor. Dev. 2012, 39, 385–390. [Google Scholar] [CrossRef]
- Guo, S.; Bu, Y.; Liu, H.; Guo, X. The abnormal phenomenon of class G oil well cement endangering the cementing security in the presence of retarder. Constr. Build. Mater. 2014, 54, 118–122. [Google Scholar] [CrossRef]
- Ravi, K.; Iverson, B.; Moore, S. Cement-Slurry Design To Prevent Destabilization of Hydrates in Deepwater Environment. SPE Drill. Complet. 2009, 24, 373–377. [Google Scholar] [CrossRef]
- Wang, J.; Qian, C.; Qu, J.; Guo, J. Effect of lithium salt and nano nucleating agent on early hydration of cement based materials. Constr. Build. Mater. 2018, 174, 24–29. [Google Scholar] [CrossRef]
- Torkittikul, P.; Chaipanich, A. Optimization of calcium chloride content on bioactivity and mechanical properties of white Portland cement. Mater. Sci. Eng. C 2012, 32, 282–289. [Google Scholar] [CrossRef]
- Mei, J.; Tan, H.; Li, H.; Ma, B.; Liu, X.; Jiang, W.; Zhang, T.; Li, X. Effect of sodium sulfate and nano-SiO2 on hydration and microstructure of cementitious materials containing high volume fly ash under steam curing. Constr. Build. Mater. 2018, 163, 812–825. [Google Scholar] [CrossRef]
- Zhang, X.P.; Sun, C.Z.; Zhao, T.F. Research on The Compound Early Strength Agent to The Performance of Super High Early Strength Grouting Material. Appl. Mech. Mater. 2014, 477, 996–1001. [Google Scholar] [CrossRef]
- Sun, J.; Shi, H.; Qian, B.; Xu, Z.; Li, W.; Shen, X. Effects of synthetic C-S-H/PCE nanocomposites on early cement hydration. Constr. Build. Mater. 2017, 140, 282–292. [Google Scholar] [CrossRef]
- Land, G.; Stephan, D. Controlling cement hydration with nanoparticles. Cem. Concr. Compos. 2015, 57, 64–67. [Google Scholar] [CrossRef]
- Kanchanason, V.; Plank, J. Role of pH on the structure, composition and morphology of C-S-H–PCE nanocomposites and their effect on early strength development of Portland cement. Cem. Concr. Res. 2017, 102, 90–98. [Google Scholar] [CrossRef]
- Thomas, J.J.; Jennings, H.M.; Chen, J.J. Influence of Nucleation Seeding on the Hydration Mechanisms of Tricalcium Silicate and Cement. J. Phys. Chem. C 2009, 113, 4327–4334. [Google Scholar] [CrossRef]
- Land, G.; Stephan, D. The influence of nano-silica on the hydration of ordinary Portland cement. J. Mater. Sci. 2011, 47, 1011–1017. [Google Scholar] [CrossRef]
- Cappellari, M.; Daubresse, A.; Chaouche, M. Influence of organic thickening admixtures on the rheological properties of mortars: Relationship with water-retention. Constr. Build. Mater. 2013, 38, 950–961. [Google Scholar] [CrossRef]
- Li, P.; Hu, M.; Liu, M.; Zhang, H.; Liu, G.; Xing, Y.; Xia, X.; Guo, J. Thixotropic and hydration effects of Mg/Al-layered double hydroxide and sodium montmorillonite composite dispersion on oil well cement paste. Cem. Concr. Compos. 2022, 134, 104785. [Google Scholar] [CrossRef]
- Wang, S.; Peng, X.; Tang, L.; Zeng, L.; Lan, C. Influence of Hydrothermal Synthesis Conditions on the Formation of Calcium Silicate Hydrates: From Amorphous to Crystalline Phases. J. Wuhan Univ. Technol.-Mater. Sci. Ed. 2018, 33, 1150–1158. [Google Scholar] [CrossRef]
- Sáez del Bosque, I.F.; Martínez-Ramírez, S.; Blanco-Varela, M.T. FTIR study of the effect of temperature and nanosilica on the nano structure of C–S–H gel formed by hydrating tricalcium silicate. Constr. Build. Mater. 2014, 52, 314–323. [Google Scholar] [CrossRef]
- Suzuki, S.; Sinn, E. Observation of calcium silicate hydrate by the precipitation method. J. Mater. Sci. Lett. 1994, 13, 1058–1060. [Google Scholar] [CrossRef]
- Zhang, H.; Zhuang, J.; Huang, S.; Cheng, X.; Hu, Q.; Guo, Q.; Guo, J. Synthesis and performance of itaconic acid/acrylamide/sodium styrene sulfonate as a self-adapting retarder for oil well cement. RSC Adv. 2015, 5, 55428–55437. [Google Scholar] [CrossRef]
- Fernández, J.; González, F.; Pesquera, C.; Neves Junior, A.; Viana, M.M.; Dweck, J. Qualitative and quantitative characterization of a coal power plant waste by TG/DSC/MS, XRF and XRD. J. Therm. Anal. Calorim. 2016, 125, 703–710. [Google Scholar] [CrossRef]
- Mohammadi, M.; Hesaraki, S.; Hafezi-Ardakani, M. Investigation of biocompatible nanosized materials for development of strong calcium phosphate bone cement: Comparison of nano-titania, nano-silicon carbide and amorphous nano-silica. Ceram. Int. 2014, 40, 8377–8387. [Google Scholar] [CrossRef]
- The American Petroleum Institute. API Recommended Practice 10B–2, 2nd ed.; The American Petroleum Institute: New York, NY, USA, 2013. [Google Scholar]
- Li, R.; Xiao, F.; Amirkhanian, S.; You, Z.; Huang, J. Developments of nano materials and technologies on asphalt materials—A review. Constr. Build. Mater. 2017, 143, 633–648. [Google Scholar] [CrossRef]
- Foley, E.M.; Kim, J.J.; Reda Taha, M.M. Synthesis and nano-mechanical characterization of calcium-silicate-hydrate (C-S-H) made with 1.5 CaO/SiO2 mixture. Cem. Concr. Res. 2012, 42, 1225–1232. [Google Scholar] [CrossRef]
- Pham, S.T.; Prince, W. The carbonation of calcium-silicate-hydrate C-S-H in cement mortar studied using thermal analysis and gas pycnometer: Determination of the quantity of calcium carbonate produced and the increase in molar volume. Adv. Mater. Res. 2014, 931, 411–415. [Google Scholar] [CrossRef]
- Pavlova, L.V.; Pavlov, S.A.; Bruk, M.A. Cooperative character of the conformational transitions in polymer chains synthesized on the surface of solids. Polym. Sci. USSR 1988, 30, 957–963. [Google Scholar] [CrossRef]
- Sivakumar, G.; Ravibaskar, R. Investigation on the Hydration Properties of the Rice Husk Ash Cement Using Ftir and Sem. Appl. Phys. Res. 2009, 1, 71–77. [Google Scholar] [CrossRef]
- Li, P.; Hu, M.; Liu, M.; Zhang, H.; Zhao, J.; Xia, X.; Guo, J. Regulation of oil well cement paste properties by nanoclay: Rheology, suspension stability and hydration process. Constr. Build. Mater. 2023, 377, 131049. [Google Scholar] [CrossRef]
- Garrault, S.; Nonat, A. Hydrated Layer Formation on Tricalcium and Dicalcium Silicate Surfaces: Experimental Study and Numerical Simulations. Langmuir 2001, 17, 8131–8138. [Google Scholar] [CrossRef]
- Salha, M.S.; Yada, R.Y.; Farrar, D.H.; Chass, G.A.; Tian, K.V.; Bodo, E. Aluminium catalysed oligomerisation in cement-forming silicate systems. Phys. Chem. Chem. Phys. 2023, 25, 455–461. [Google Scholar] [CrossRef] [PubMed]
- Taylor, H.F.W. Proposed Structure for Calcium Silicate Hydrate Gel. J. Am. Ceram. Soc. 2005, 69, 464–467. [Google Scholar] [CrossRef]
- Cao, L.; Guo, J.; Tian, J.; Xu, Y.; Hu, M.; Wang, M.; Fan, J. Preparation of Ca/Al-Layered Double Hydroxide and the influence of their structure on early strength of cement. Constr. Build. Mater. 2018, 184, 203–214. [Google Scholar] [CrossRef]
- Moshiri, A.; Stefaniuk, D.; Smith, S.K.; Morshedifard, A.; Rodrigues, D.F.; Qomi, M.J.A.; Krakowiak, K.J. Structure and morphology of calcium-silicate-hydrates cross-linked with dipodal organosilanes. Cem. Concr. Res. 2020, 133, 106076. [Google Scholar] [CrossRef]
- Liu, M.; Hu, M.; Li, P.; Zhang, H.; Zhao, J.; Guo, J. A new application of fluid loss agent in enhancing autogenous healing ability and improving mechanical properties of oil well cement. Cem. Concr. Compos. 2022, 128, 104419. [Google Scholar] [CrossRef]












| Chemical Component Content (wt%) | Mineral Component Content (wt%) | |||||||||||||
|---|---|---|---|---|---|---|---|---|---|---|---|---|---|---|
| Al2O3 | SiO2 | CaO | MgO | Fe2O3 | SO3 | K2O | Na2O | L.O.I a | C3A | C2S | C3S | Gypsum | C4AF | f-CaO |
| 3.12 | 21.89 | 63.57 | 1.59 | 3.47 | 2.86 | 0.59 | 0.42 | 1.92 | 6.34 | 21.17 | 53.29 | 3.12 | 8.97 | 0.76 |
| No. | n (Ca(NO3)2):n (Na2SiO3) | Compressive Strength/MPa | |||
|---|---|---|---|---|---|
| 4 h | Increase Rate in 4 h/% | 8 h | Increase Rate in 8 h/% | ||
| 1# | — | 6.0 | 0 | 15.9 | 0 |
| 2# | 1:1 | 11.2 | 86.7 | 20.0 | 25.8 |
| 3# | 1.25:1 | 12.3 | 105.0 | 22.1 | 39.0 |
| 4# | 1.5:1 | 13.7 | 128.3 | 23.8 | 49.7 |
| 5# | 1.75:1 | 18.0 | 200.0 | 29.1 | 83.0 |
| 6# | 2:1 | 14.6 | 143.3 | 24.5 | 54.1 |
| Chemical Components | CaO | SiO2 | P2O5 | MgO | SO3 | Cl | Al2O3 |
|---|---|---|---|---|---|---|---|
| Content, % | 57.59 | 40.70 | 0.73 | 0.24 | 0.08 | 0.26 | 0.10 |
| Dosage (%bwoc) | Liquidity (cm) | Six-Speed Reading (Φ3/Φ6/Φ100/Φ300/Φ600) | n (Dimensionless) | K (mPa·sn) |
|---|---|---|---|---|
| 0 | 20.4 ± 0.4 | 15/25/52/65/79/121 | 0.380 | 3.775 |
| 0.75 | 24.3 ± 0.3 | 10/21/38/51/72/123 | 0.581 | 0.984 |
| 1.50 | 24.7 ± 0.1 | 6/14/36/48/69/119 | 0.591 | 0.884 |
| 3.00 | 25.3 ± 0.3 | 5/12/34/45/66/126 | 0.603 | 0.787 |
| 4.50 | 26.5 ± 0.6 | 8/18/37/49/74/142 | 0.630 | 0.745 |
| Cured Conditions | DRA-1L Dosage (wt% bwoc) | Intensity Growth Rate | |||||
|---|---|---|---|---|---|---|---|
| 8 h | 12 h | 16 h | 24 h | 48 h | 72 h | ||
| 15 °C | 1.5 | — | — | — | 105% | 49% | 57% |
| 3.0 | — | — | — | 270% | 94% | 80% | |
| 4.5 | — | — | — | 349% | 110% | 113% | |
| 30 °C | 0.75 | 190% | 30% | 45% | 40% | — | 29% |
| 1.5 | 400% | 111% | 73% | 69% | — | 39% | |
| 3.0 | 844% | 209% | 118% | 87% | — | 54% | |
| No. | ρ (g/cm3) | T (s) | Liquidity (cm) | FLAPI (mL) | Cured Conditions | C0 (Bc) | TT (min) | P24h (MPa) | P48h (MPa) | ||
|---|---|---|---|---|---|---|---|---|---|---|---|
| 30 °C | 60 °C | 30 °C | 60 °C | ||||||||
| 1# | 1.35 | 36 | 23.5 | 34 | 60 °C × 43 MPa | 24 | 166 | 10.3 | 14.2 | 15.6 | 24.8 |
| 2# | 1.45 | 22 | 24.2 | 48 | 65 °C × 35 MPa | 20 | 251 | 11.0 | 17.1 | 15.7 | 27.2 |
| 3# | 1.55 | 20 | 24.5 | 50 | 65 °C × 35 MPa | 22 | 229 | 12.3 | 16.8 | 17.8 | 29.2 |
Disclaimer/Publisher’s Note: The statements, opinions and data contained in all publications are solely those of the individual author(s) and contributor(s) and not of MDPI and/or the editor(s). MDPI and/or the editor(s) disclaim responsibility for any injury to people or property resulting from any ideas, methods, instructions or products referred to in the content. |
© 2025 by the authors. Licensee MDPI, Basel, Switzerland. This article is an open access article distributed under the terms and conditions of the Creative Commons Attribution (CC BY) license (https://creativecommons.org/licenses/by/4.0/).
Share and Cite
Xia, X.; Yu, Y.; Qi, F.; Li, P.; Qu, C.; Xu, P.; Liu, H.; Meng, R.; Zhai, X.; Guo, J. Experimental Investigation of a C-S-H Nanocrystalline Nucleus Modified with PCE Dispersant on the Early-Age Mechanical Behavior of Oil Well Cement Paste. Materials 2025, 18, 326. https://doi.org/10.3390/ma18020326
Xia X, Yu Y, Qi F, Li P, Qu C, Xu P, Liu H, Meng R, Zhai X, Guo J. Experimental Investigation of a C-S-H Nanocrystalline Nucleus Modified with PCE Dispersant on the Early-Age Mechanical Behavior of Oil Well Cement Paste. Materials. 2025; 18(2):326. https://doi.org/10.3390/ma18020326
Chicago/Turabian StyleXia, Xiujian, Yongjin Yu, Fengzhong Qi, Pengpeng Li, Congfeng Qu, Pu Xu, Huiting Liu, Renzhou Meng, Xianzhi Zhai, and Jintang Guo. 2025. "Experimental Investigation of a C-S-H Nanocrystalline Nucleus Modified with PCE Dispersant on the Early-Age Mechanical Behavior of Oil Well Cement Paste" Materials 18, no. 2: 326. https://doi.org/10.3390/ma18020326
APA StyleXia, X., Yu, Y., Qi, F., Li, P., Qu, C., Xu, P., Liu, H., Meng, R., Zhai, X., & Guo, J. (2025). Experimental Investigation of a C-S-H Nanocrystalline Nucleus Modified with PCE Dispersant on the Early-Age Mechanical Behavior of Oil Well Cement Paste. Materials, 18(2), 326. https://doi.org/10.3390/ma18020326

