Impact of Plasma Surface Treatment on Implant Stability and Early Osseointegration: A Retrospective Cohort Study
Abstract
1. Introduction
2. Materials and Methods
3. Results
3.1. Overall Tendency
3.2. Initial ISQ (ISQi) Ranges
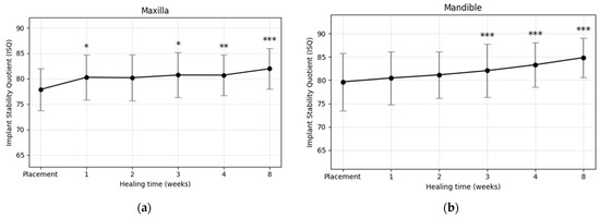
3.3. Implant Location
3.4. Length and Width of Implant Fixtures
3.5. Final Insertion Torque Value
4. Discussion
5. Conclusions
Author Contributions
Funding
Institutional Review Board Statement
Informed Consent Statement
Data Availability Statement
Conflicts of Interest
References
- Yeo, I.S. Modifications of dental implant surfaces at the micro- and nano-level for enhanced osseointegration. Materials 2020, 13, 89. [Google Scholar] [CrossRef]
- Buser, D.; Schenk, R.K.; Steinemann, S.; Fiorellini, J.P.; Fox, C.H.; Stich, H. Influence of surface characteristics on bone integration of titanium implants. J. Biomed. Mater. Res. 1991, 25, 889–902. [Google Scholar] [CrossRef] [PubMed]
- Jang, T.S.; Jung, H.D.; Kim, S.; Moon, B.S.; Beak, J.; Park, C.; Song, J.; Kim, H.E. Multiscale porous titanium surfaces via a two-step etching process for improved mechanical and biological performance. Biomed. Mater. 2017, 12, 025008. [Google Scholar] [CrossRef] [PubMed]
- Lee, H.; Jeon, H.J.; Jung, A.; Kim, J.; Kim, J.Y.; Lee, S.H.; Kim, H.; Yeom, M.S.; Choe, W.; Gweon, B.; et al. Improvement of osseointegration efficacy of titanium implant through plasma surface treatment. Biomed. Eng. Lett. 2022, 12, 421–432. [Google Scholar] [CrossRef]
- Lee, J.H.; Ogawa, T. The biological aging of titanium implants. Implant Dent. 2012, 21, 415–421. [Google Scholar] [CrossRef]
- Minamikawa, H.; Att, W.; Ikeda, T.; Hirota, M.; Ogawa, T. Long-term progressive degradation of the biological capability of titanium. Materials 2016, 9, 102. [Google Scholar] [CrossRef]
- Sousa, S.R.; Lamghari, M.; Sampaio, P.; Moradas Ferreira, P.; Barbosa, M.A. Osteoblast adhesion and morphology on TiO2 depends on the competitive preadsorption of albumin and fibronectin. J. Biomed. Mater. Res. A 2008, 84, 281–290. [Google Scholar] [CrossRef]
- Att, W.; Hori, N.; Takeuchi, M.; Ouyang, J.; Yang, Y.; Anpo, M.; Ogawa, T. Time dependent degradation of titanium osteoconductivity: An implication of biological aging of implant materials. Biomaterials 2009, 30, 5352–5363. [Google Scholar] [CrossRef]
- Yoshinari, M.; Matsuzaka, K.; Inoue, T.; Oda, Y.; Shimono, M. Bio-functionalization of titanium surfaces for dental implants. Mater. Trans. 2002, 43, 2494–2501. [Google Scholar] [CrossRef]
- Tsujita, H.; Nishizaki, H.; Miyake, A.; Takao, S.; Komasa, S. Effect of plasma treatment on titanium surface on the tissue surrounding implant material. Int. J. Mol. Sci. 2021, 22, 6931. [Google Scholar] [CrossRef]
- Strnad, J.; Urban, K.; Povysil, C.; Strnad, Z. Secondary stability assessment of titanium implants with an alkali-etched surface: A resonance frequency analysis study in beagle dogs. Int. J. Oral Maxillofac. Implant. 2008, 23, 502–512. [Google Scholar] [PubMed]
- Coelho, P.G.; Giro, G.; Teixeira, H.S.; Marin, C.; Witek, L.; Thompson, V.P.; Tovar, N.; Silva, N.R.F.A. Argon based atmospheric pressure plasma enhances early bone response to rough titanium surfaces. J. Biomed. Mater. Res. A 2012, 100, 1901–1906. [Google Scholar] [CrossRef]
- Wu, C.; Yang, M.; Ma, K.; Zhang, Q.; Bai, N.; Liu, Y. Improvement of implant osseointegration through nonthermal Ar/O2 plasma. Dent. Mater. J. 2023, 42, 461–468. [Google Scholar] [CrossRef]
- Pedrosa, P.; Chappé, J.M.; Fonseca, C.; Vaz, F. Plasma surface modification of polycarbonate and poly(propylene) substrates for biomedical electrodes. Plasma Process. Polym. 2010, 7, 676–686. [Google Scholar] [CrossRef]
- Kim, J.Y.; Lee, J.H.; Park, J.K.; Choi, Y.C. Effect of N2, Ar, and O2 plasma treatments on surface properties of metals. J. Appl. Phys. 2008, 104, 053301. [Google Scholar] [CrossRef]
- Liu, S.; Xu, L.; Zhang, T.; Ren, G.; Yang, Z. Oxidative stress and apoptosis induced by nanosized titanium dioxide in PC12 cells. Toxicology 2010, 267, 172–177. [Google Scholar] [CrossRef] [PubMed]
- Ujino, D.; Nishizaki, H.; Higuchi, S.; Komasa, S.; Okazaki, J. Effect of plasma treatment of titanium surface on biocompatibility. Appl. Sci. 2019, 9, 2257. [Google Scholar] [CrossRef]
- Kwon, J.S.; Cho, W.T.; Lee, J.H.; Joo, J.Y.; Lee, J.Y.; Lim, Y.; Jeon, H.J.; Huh, J.B. Prospective randomized controlled clinical trial to evaluate the safety and efficacy of ACTILINK plasma treatment for promoting osseointegration and bone regeneration in dental implants. Bioengineering 2024, 11, 980. [Google Scholar] [CrossRef]
- Lee, J.W.; Park, J.H.; Kim, Y.H. Effect of atmospheric pressure plasma treatment on the titanium surface and tissue compatibility. Appl. Sci. 2020, 9, 2257. [Google Scholar]
- Minati, L.; Migliaresi, C.; Lunelli, L.; Viero, G.; Dalla Serra, M.; Speranza, G. Plasma assisted surface treatments of biomaterials. Biophys. Chem. 2017, 229, 151–164. [Google Scholar] [CrossRef]
- Roach, P.; Farrar, D.; Perry, C.C. Interpretation of protein adsorption: Surface-induced conformational changes. J. Am. Chem. Soc. 2005, 127, 8168–8173. [Google Scholar] [CrossRef]
- Masaki, C.; Schneider, G.B.; Zaharias, R.; Seabold, D.; Stanford, C. Effects of implant surface microtopography on osteoblast gene expression. Clin. Oral Implants Res. 2005, 16, 650–656. [Google Scholar] [CrossRef] [PubMed]
- Alqutaibi, A.Y.; Aljohani, A.; Alduri, A.; Masoudi, A.; Alsaedi, A.M.; Al-Sharani, H.M.; Farghal, A.E.; Alnazzawi, A.A.; Aboalrejal, A.N.; Mohamed, A.-A.H.; et al. The effectiveness of cold atmospheric plasma (CAP) on bacterial reduction in dental implants: A systematic review. Biomolecules 2023, 13, 1528. [Google Scholar] [CrossRef] [PubMed]
- Kahm, S.H.; Lee, S.H.; Lim, Y.; Jeon, H.J.; Yun, K.I. Osseointegration of dental implants after vacuum plasma surface treatment in vivo. J. Funct. Biomater. 2024, 15, 278. [Google Scholar] [CrossRef] [PubMed]
- Canullo, L.; Tallarico, M.; Peñarrocha-Oltra, D.; Monje, A.; Wang, H.L.; Peñarrocha-Diago, M. Implant abutment cleaning by plasma of argon: Five-year follow-up of a randomized controlled trial. J. Periodontol. 2016, 87, 434–442. [Google Scholar] [CrossRef]
- Suzuki, S.; Kobayashi, H.; Ogawa, T. Implant stability change and osseointegration speed of immediately loaded photofunctionalized implants. Implant Dent. 2013, 22, 481–490. [Google Scholar] [CrossRef]
- Albrektsson, T.; Wennerberg, A. On osseointegration in relation to implant surfaces. Clin. Implant Dent. Relat. Res. 2019, 21, 4–7. [Google Scholar] [CrossRef]
- Raghavendra, S.; Wood, M.C.; Taylor, T.D. Early wound healing around endosseous implants: A review of the literature. Int. J. Oral Maxillofac. Implants 2005, 20, 425–431. [Google Scholar] [PubMed]
- Plasmapp Inc. ACTILINK Product Specification Sheet. 2024. Available online: https://www.plasmapp.com (accessed on 6 August 2025).
- Nevins, M.; Chen, C.Y.; Parma Benfenati, S.; Kim, D.M. Gas plasma treatment improves titanium dental implant osseointegration: A preclinical in vivo experimental study. Bioengineering 2023, 10, 1181. [Google Scholar] [CrossRef]
- Makary, C.; Menhall, A.; Lahoud, P.; An, H.-W.; Park, K.-B.; Traini, T. Nanostructured calcium-incorporated surface compared to machined and SLA dental implants: A split-mouth randomized case/double-control histological human study. Nanomaterials 2023, 13, 357. [Google Scholar] [CrossRef]
- Kim, J.C.; Lee, M.; Yeo, I.-S.L. Three interfaces of the dental implant system and their clinical effects on hard and soft tissues. Mater. Horiz. 2022, 9, 1387–1411. [Google Scholar] [CrossRef]
- Megagen Implant Co., Ltd. MEGA ISQ™ User Manual, Version 2.0; Megagen Implant Co., Ltd.: Daegu, Republic of Korea, 2021. Available online: https://megagen.com/manuals/megaisq (accessed on 6 August 2025).
- Berger, M.B.; Bosh, K.B.; Cohen, D.J.; Boyan, B.D.; Schwartz, Z. Benchtop plasma treatment of titanium surfaces enhances cell response. Dent. Mater. 2021, 37, 690–700. [Google Scholar] [CrossRef]
- Brunski, J.B. Biomechanical factors affecting the bone–dental implant interface. Clin. Mater. 1992, 10, 153–201. [Google Scholar] [CrossRef] [PubMed]
- Atsumi, M.; Park, S.H.; Wang, H.L. Methods used to assess implant stability: Current status. Int. J. Oral Maxillofac. Implants 2007, 22, 743–754. [Google Scholar] [PubMed]
- Fu, M.W.; Fu, E.; Lin, F.G.; Chang, W.J.; Hsieh, Y.D.; Shen, E.C. Correlation between resonance frequency analysis and bone quality assessments at dental implant recipient sites. Int. J. Oral Maxillofac. Implants 2017, 32, 180–187. [Google Scholar] [CrossRef] [PubMed]
- Sennerby, L.; Meredith, N. Implant stability measurements using resonance frequency analysis: Biological and biomechanical aspects and clinical implications. Periodontology 2000 2008, 47, 51–66. [Google Scholar] [CrossRef]
- Balshi, S.F.; Allen, F.D.; Wolfinger, G.J.; Balshi, T.J. A resonance frequency analysis assessment of maxillary and mandibular immediately loaded implants. Int. J. Oral Maxillofac. Implants 2005, 20, 584–594. [Google Scholar] [PubMed]
- Simůnek, A.; Kopečka, D.; Brazda, T.; Strnad, I.; Čapek, L.; Slezák, R. Development of implant stability during early healing of immediately loaded implants. Int. J. Oral Maxillofac. Implants 2012, 27, 619–627. [Google Scholar]
- Stacchi, C.; Rapani, A.; Montanari, M.; Martini, R.; Lombardi, T. Effect of Vacuum Plasma Activation on Early Implant Stability: A Single-Blind Split-Mouth Randomized Clinical Trial. J. Oral Maxillofac. Res. 2025, 16, e5. [Google Scholar] [CrossRef]
- Simunek, A.; Strnad, J.; Kopecka, D.; Brazda, T.; Pilathadka, S.; Chauhan, R.; Slezak, R.; Capek, L. Changes in stability after healing of immediately loaded dental implants. Int. J. Oral Maxillofac. Implants 2010, 25, 1085–1092. [Google Scholar]
- Friberg, B.; Sennerby, L.; Meredith, N.; Lekholm, U. A comparison between cutting torque and resonance frequency measurements of maxillary implants: A 20-month clinical study. Int. J. Oral Maxillofac. Surg. 1999, 28, 297–303. [Google Scholar] [CrossRef] [PubMed]
- Glauser, R.; Sennerby, L.; Meredith, N.; Lundgren, A.; Gottlow, J.; Hämmerle, C.H.F. Resonance frequency analysis of implants subjected to immediate or early functional occlusal loading: Successful vs. failing implants. Clin. Oral Implants Res. 2004, 15, 428–434. [Google Scholar] [CrossRef]
- Makary, C.; Rebaudi, A.; Sammartino, G.; Naaman, N. Implant primary stability determined by resonance frequency analysis: Correlation with insertion torque, histologic bone volume, and torsional stability at 6 weeks. Implant Dent. 2012, 21, 474–480. [Google Scholar] [CrossRef]
- Do Vale Souza, J.P.; de Moraes Melo Neto, C.L.; Piacenza, L.T.; Da Silva, E.V.; de Melo Moreno, A.L.; Penitente, P.A.; Brunetto, J.L.; Dos Santos, D.M.; Goiato, M.C. Relation between insertion torque and implant stability quotient: A clinical study. Eur. J. Dent. 2021, 15, 618–623. [Google Scholar] [CrossRef]
- Ramesh, R.; Sasi, A.; Mohamed, S.C.; Joseph, S.P. “Compression Necrosis”—A cause of concern for early implant failure? Case report and review of literature. Clin. Cosmet. Investig. Dent. 2024, 16, 43–52. [Google Scholar] [CrossRef]
- Stocchero, M.; Toia, M.; Cecchinato, D.; Becktor, J.P.; Coelho, P.G.; Biomechinical, J.R. Biologic, and clinical outcomes of undersized implant surgical preparation: A systematic review. Int. J. Oral Maxillofac. Implants 2016, 31, 1247–1263. [Google Scholar] [CrossRef]







| Patients | Implants | Initial Torque (N·cm) | |||||||
|---|---|---|---|---|---|---|---|---|---|
| Number | Age Range | Sex | Total Number | Maxilla | Mandible | 35 N–40 N | 45 N–50 N | >50 N | |
| Female | Male | ||||||||
| 47 | 38–86 | 20 (43%) | 27 (57%) | 73 | 28 (38%) | 45 (62%) | 14 | 52 | 7 |
| Time (Week) | ||||||
|---|---|---|---|---|---|---|
| Placement | 1 | 2 | 3 | 4 | 8 | |
| ISQ | 78.97 ± 5.52 | 80.39 ± 5.23 | 80.78 ± 4.78 | 81.54 ± 5.28 | 82.31 ± 4.64 | 83.74 ± 4.36 |
| 95% CI | 77.70–80.24 | 79.19–81.59 | 79.68–81.88 | 80.33–82.75 | 81.25–83.37 | 82.74–84.74 |
| Initial Stability Range | Number of Implants | At Placement | At Week 8 | Change (ΔISQ) | OSI |
|---|---|---|---|---|---|
| ISQi 65–74 | 9 | 69.78 ± 3.06 | 79.42 ± 4.23 | 9.64 ± 4.65 *** | 6.43 ± 3.10 |
| ISQi 75–84 | 54 | 79.65 ± 2.93 | 84.20 ± 3.98 | 4.55 ± 3.73 *** | 3.03 ± 2.48 |
| ISQi ≥ 85 | 10 | 86.57 ± 2.32 | 86.60 ± 2.62 | 0.03 ± 3.10 | NA |
| Time (Week) | ||||||
|---|---|---|---|---|---|---|
| Groups | Placement | 1 | 2 | 3 | 4 | 8 |
| ISQi 65–74 | 69.77 ± 3.06 | 72.14 ± 2.74 | 73.61 ± 3.34 | 73.72 ± 4.29 | 76.81 ± 3.14 | 79.42 ± 4.23 |
| ISQi 75–84 | 79.65 ± 2.93 | 81.22 ± 3.46 | 81.32 ± 2.97 | 82.29 ± 3.49 | 82.58 ± 3.64 | 84.20 ± 3.98 |
| ISQi ≥ 85 | 86.57 ± 2.32 | 86.07 ± 3.50 | 86.60 ± 3.55 | 87.10 ± 3.71 | 87.53 ± 3.95 | 86.60 ± 2.62 |
| Jaw Location | Number of Implants | At Placement | At Week 8 | Change (ΔISQ) | OSI |
|---|---|---|---|---|---|
| Maxilla | 28 | 77.88 ± 4.13 | 81.96 ± 4.04 | 4.08 ± 3.96 *** | 0.51 ± 0.49 |
| Mandible | 45 | 79.66 ± 6.18 | 84.85 ± 4.23 | 5.19 ± 4.97 *** | 0.65 ± 0.62 |
| Length | Number of Implants | At Placement | At Week 8 | Change (ΔISQ) | OSI |
|---|---|---|---|---|---|
| ≤10 mm | 40 | 79.72 ± 4.76 | 85.05 ± 4.31 * | 5.33 ± 4.77 | 0.67 ± 0.60 |
| 11 mm ≤ 13 mm | 33 | 78.08 ± 6.29 | 82.16 ± 3.93 * | 4.08 ± 4.37 | 0.51 ± 0.54 |
| Diameter | Number of Implants | At Placement | At Week 8 | Change (ΔISQ) | OSI |
|---|---|---|---|---|---|
| 4.0 | 11 | 78.15 ± 5.36 | 81.36 ± 3.75 | 3.21 ± 4.96 | 0.40 ± 0.62 |
| 4.5 | 21 | 79.84 ± 4.55 | 83.43 ± 3.56 | 3.59 ± 3.12 | 0.45 ± 0.39 |
| 5.0 | 38 | 78.72 ± 6.25 | 84.25 ± 4.70 | 5.54 ± 5.01 | 0.69 ± 0.63 |
| 6.0 | 3 | 79.22 ± 3.24 | 88.22 ± 3.34 | 9.00 ± 3.61 | 1.13 ± 0.45 |
| Final Insertion Torque Value | Number of Implants | At Placement | At Week 8 | Change (ΔISQ) |
|---|---|---|---|---|
| 35–44 N·cm | 14 | 75.14 ± 5.53 | 82.60 ± 3.95 * | 5.33 ± 4.77 * |
| 45–59 N·cm | 52 | 79.66 ± 5.44 | 83.87 ± 4.56 * | 4.08 ± 4.37 * |
| ≥60 N·cm | 7 | 80.43 ± 4.08 | 85.14 ± 3.53 * | 4.71 ± 3.94 * |
Disclaimer/Publisher’s Note: The statements, opinions and data contained in all publications are solely those of the individual author(s) and contributor(s) and not of MDPI and/or the editor(s). MDPI and/or the editor(s) disclaim responsibility for any injury to people or property resulting from any ideas, methods, instructions or products referred to in the content. |
© 2025 by the authors. Licensee MDPI, Basel, Switzerland. This article is an open access article distributed under the terms and conditions of the Creative Commons Attribution (CC BY) license (https://creativecommons.org/licenses/by/4.0/).
Share and Cite
Kim, Y.-K.; Choi, H.; Kim, H.-G.; Sohn, D.-S. Impact of Plasma Surface Treatment on Implant Stability and Early Osseointegration: A Retrospective Cohort Study. Materials 2025, 18, 4568. https://doi.org/10.3390/ma18194568
Kim Y-K, Choi H, Kim H-G, Sohn D-S. Impact of Plasma Surface Treatment on Implant Stability and Early Osseointegration: A Retrospective Cohort Study. Materials. 2025; 18(19):4568. https://doi.org/10.3390/ma18194568
Chicago/Turabian StyleKim, Yoon-Kyung, Hyunsuk Choi, Hyung-Gyun Kim, and Dong-Seok Sohn. 2025. "Impact of Plasma Surface Treatment on Implant Stability and Early Osseointegration: A Retrospective Cohort Study" Materials 18, no. 19: 4568. https://doi.org/10.3390/ma18194568
APA StyleKim, Y.-K., Choi, H., Kim, H.-G., & Sohn, D.-S. (2025). Impact of Plasma Surface Treatment on Implant Stability and Early Osseointegration: A Retrospective Cohort Study. Materials, 18(19), 4568. https://doi.org/10.3390/ma18194568

