Solid-State Thermal Decomposition in a Cu-Rich Cu-Ti-Zr Alloy
Abstract
1. Introduction
2. Materials and Methodology
2.1. Experimental Procedure
2.2. DFT Calculations
3. Results and Discussion
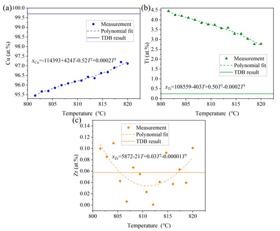
3.1. Experimental Results
3.2. DFT Calculation Results
4. Conclusions
Author Contributions
Funding
Institutional Review Board Statement
Informed Consent Statement
Data Availability Statement
Acknowledgments
Conflicts of Interest
References
- Sharma, P.; Rohila, S.; Hasan, U.; Krishna, P.H.; Ugwuegbu, C.; Tiwari, A.; Joshi, M. Multiscale modeling-driven synthesis of Cu40Zn24Ni24Ag8Hg4 high entropy alloy with antibacterial properties. Nano-Struct. Nano-Objects 2024, 40, 101391. [Google Scholar] [CrossRef]
- Collini, L. Copper Alloys: Early Applications and Current Performance-Enhancing Processes; BoD–Books on Demand: Norderstedt, Germany, 2012. [Google Scholar]
- Davis, J.R. Copper and Copper Alloys; ASM International: Almere, The Netherlands, 2001. [Google Scholar]
- Li, Y.; Yuan, X.; Yang, B.; Ye, X.; Zhang, P.; Lang, H.; Lei, Q.; Liu, J.; Li, Y. Hierarchical microstructure and strengthening mechanism of Cu-36.8 Fe alloy manufactured by selective laser melting. J. Alloys Compd. 2022, 895, 162701. [Google Scholar] [CrossRef]
- Li, Y.; Yang, B.; Zhang, P.; Nie, Y.; Yuan, X.; Lei, Q.; Li, Y. Cu-Cr-Mg alloy with both high strength and high electrical conductivity manufactured by powder metallurgy process. Mater. Today Commun. 2021, 27, 102266. [Google Scholar] [CrossRef]
- ZHANG, P.; YUAN, X.-b.; ZENG, Z.-m.; TENG, J.-w.; ZHOU, Y.-h.; YANG, B.-b.; LI, Y.-p. Influence of Fe content on microstructure and performance of powder metallurgy Cu–Fe alloys. Trans. Nonferrous Met. Soc. China 2024, 34, 1571–1587. [Google Scholar] [CrossRef]
- Liu, W.; Chen, X.; Ahmad, T.; Zhou, C.; Xiao, X.; Wang, H.; Yang, B. Microstructures and mechanical properties of Cu–Ti alloys with ultrahigh strength and high ductility by thermo-mechanical treatment. Mater. Sci. Eng. A 2022, 835, 142672. [Google Scholar] [CrossRef]
- Semboshi, S.; Hinamoto, E.; Iwase, A. Age-hardening behavior of a single-crystal Cu–Ti alloy. Mater. Lett. 2014, 131, 90–93. [Google Scholar] [CrossRef]
- Karakulak, E. Characterization of Cu–Ti powder metallurgical materials. Int. J. Miner. Metall. Mater. 2017, 24, 83–90. [Google Scholar] [CrossRef]
- Imai, H.; Kondoh, K.; Li, S.; Umeda, J.; Fugetsu, B.; Takahashi, M. Microstructural and electrical properties of copper–titanium alloy dispersed with carbon nanotubes via powder metallurgy process. Mater. Trans. 2014, 55, 522–527. [Google Scholar] [CrossRef]
- Nagarjuna, S.; Srinivas, M.; Balasubramanian, K.; Sarma, D. On the variation of mechanical properties with solute content in Cu–Ti alloys. Mater. Sci. Eng. A 1999, 259, 34–42. [Google Scholar] [CrossRef]
- Hameda, A.; Blaz, L. Microstructure of hot-deformed Cu–3.45 wt.% Ti alloy. Mater. Sci. Eng. A 1998, 254, 83–89. [Google Scholar] [CrossRef]
- Božić, D.; Stašić, J.; Ružić, J.; Vilotijević, M.; Rajković, V. Synthesis and properties of a Cu–Ti–TiB2 composite hardened by multiple mechanisms. Mater. Sci. Eng. A 2011, 528, 8139–8144. [Google Scholar] [CrossRef]
- Jiang, Y.; Li, D.; Zhang, X.; Zou, J.; Xiao, P.; Liang, S. Effects of various strengthening methods on the properties of Cu–Ti–B alloys. Mater. Sci. Technol. 2018, 34, 340–346. [Google Scholar] [CrossRef]
- Markandeya, R.; Nagarjuna, S.; Sarma, D. Precipitation hardening of Cu–Ti–Cr alloys. Mater. Sci. Eng. A 2004, 371, 291–305. [Google Scholar] [CrossRef]
- Fu, S.; Liu, P.; Chen, X.; Zhou, H.; Ma, F.; Li, W.; Zhang, K. Effect of aging process on the microstructure and properties of Cu–Cr–Ti alloy. Mater. Sci. Eng. A 2021, 802, 140598. [Google Scholar] [CrossRef]
- Markandeya, R.; Nagarjuna, S.; Sarma, D. Precipitation hardening of Cu–Ti–Zr alloys. Mater. Sci. Technol. 2004, 20, 849–858. [Google Scholar] [CrossRef]
- Inoue, A.; Zhang, W.; Zhang, T.; Kurosaka, K. High-strength Cu-based bulk glassy alloys in Cu–Zr–Ti and Cu–Hf–Ti ternary systems. Acta Mater. 2001, 49, 2645–2652. [Google Scholar] [CrossRef]
- Batawi, E.; Morris, D.G.; Morris, M. Effect of small alloying additions on behaviour of rapidly solidified Cu–Cr alloys. Mater. Sci. Technol. 1990, 6, 892–899. [Google Scholar] [CrossRef]
- Xiao, D.; Li, X.; Zhang, F.; Zhang, Y. Effect of Zr addition on microstructure and properties of Cu–Ag–Ti alloys. J. Mater. Eng. Perform. 2014, 23, 1854–1860. [Google Scholar] [CrossRef]
- Shi, C.; Ma, M.; Yang, B.; Liu, Y.; Huang, Y.; Du, Y. Effect of Ti additions on microstructure and mechanical properties of Cu–Cr–Zr alloy. J. Mater. Sci. Technol. 2023, 163, 69–80. [Google Scholar] [CrossRef]
- Nagarjuna, S.; Balasubramanian, K.; Sarma, D. Effect of prior cold work on mechanical properties, electrical conductivity and microstructure of aged Cu-Ti alloys. J. Mater. Sci. 1999, 34, 2929–2942. [Google Scholar] [CrossRef]
- Hermana, G.N.; Hsiao, H.-M.; Kuo, P.-C.; Liaw, P.K.; Li, Y.-C.; Iikubo, S.; Yen, Y.-W. Phase equilibria of the Cu-Zr-Ti ternary system at 703 °C and the thermodynamic assessment and metallic glass region prediction of the Cu-Zr-Ti ternary system. J. Non-Cryst. Solids 2021, 551, 120387. [Google Scholar] [CrossRef]
- Chiang, W.-R.; Hsieh, K.-C.; Chang, Y.A.; Fan, G.; Qiao, D.; Jiang, F.; Liaw, P.K. Phase equilibrium in the Cu–Ti–Zr system at 800 C. Mater. Trans. 2007, 48, 1631–1634. [Google Scholar] [CrossRef]
- Bunshah, R.F.; Osterberg, D.; Ence, E.; Margolin, H.; (New York Univ., New York. Coll. of Engineering). Further Studies on Active-eutectoid Alloys of Titanium; New York Univ., Coll. of Engineering: New York, NY, USA, 1960. [Google Scholar]
- Woychik, C.G.; Massalski, T.B. Phase diagram relationships in the system Cu-Ti-Zr. Int. J. Mater. Res. 1988, 79, 149–153. [Google Scholar] [CrossRef]
- Ence, E.; Margolin, H. A Study of the Ti-Cu-Zr System and Structure of Ti {sub 2} Cu; Argonne National Lab. (ANL): Argonne, IL, USA; Lemont, IL, USA, 1961. [Google Scholar]
- Klotz, U.E.; Liu, C.; Uggowitzer, P.J.; Löffler, J.F. Experimental investigation of the Cu–Ti–Zr system at 800 C. Intermetallics 2007, 15, 1666–1671. [Google Scholar] [CrossRef]
- Qin, P.; Wang, H.; Zhang, L.; Liu, H.; Jin, Z. The isothermal section of the Cu–Ti–Zr system at 1023 K measured with diffusion-triple approach. Mater. Sci. Eng. A 2008, 476, 83–88. [Google Scholar] [CrossRef]
- Storchak-Fedyuk, A.; Artyukh, L.; Duma, L.; Agraval, P.; Turchanin, M.; Velikanova, T.Y. Phase equilibria in the Cu–Ti–Zr system at 750° CI The isothermal section with copper content from 0 to 50 at.%. Powder Metall. Met. Ceram. 2017, 56, 78–87. [Google Scholar] [CrossRef]
- Storchak, A.; Petuykh, V.; Sobolev, V.; Tikhonova, I.; Bulanova, M. Phase Equilibria in the Zr-Ti-Cu System. J. Phase Equilibria Diffus. 2023, 44, 608–630. [Google Scholar] [CrossRef]
- Storchak, A.; Velikanova, T.Y.; Petyukh, V.; Samelyuk, A.; Sobolev, V.; Bulanova, M. Phase Equilibria in the Ti–CuTi2–CuZr2–Zr Region of the Ternary Cu–Ti–Zr System. Powder Metall. Met. Ceram. 2022, 61, 337–349. [Google Scholar] [CrossRef]
- Arroyave, R.; Eagar, T.; Kaufman, L. Thermodynamic assessment of the Cu–Ti–Zr system. J. Alloys Compd. 2003, 351, 158–170. [Google Scholar] [CrossRef]
- Zhan, Y.Z.; Du, Y.; Zhuang, Y.H. Determination of phase diagrams using equilibrated alloys. In Methods for Phase Diagram Determination; Elsevier: Amsterdam, The Netherlands, 2007; pp. 108–150. [Google Scholar] [CrossRef]
- Ghosh, G. First-principles calculations of structural energetics of Cu–TM (TM= Ti, Zr, Hf) intermetallics. Acta Mater. 2007, 55, 3347–3374. [Google Scholar] [CrossRef]
- Zhu, Y.; Yan, M.; Zhang, Y.; Zhang, C. First-principles investigation of structural, mechanical and electronic properties for Cu–Ti intermetallics. Comput. Mater. Sci. 2016, 123, 70–78. [Google Scholar] [CrossRef]
- Tian, H.; Liao, Y.; Zhang, C.; Zhao, J.; Wen, B.; Wang, Q.; Dong, C. A first-principle study of the structural and electronic properties of amorphous Cu-Zr alloys. Sci. China Phys. Mech. Astron. 2011, 54, 249–255. [Google Scholar] [CrossRef]
- Fotopoulos, V.; O’Hern, C.S.; Shattuck, M.D.; Shluger, A.L. Modeling the Effects of Varying the Ti Concentration on the Mechanical Properties of Cu–Ti Alloys. ACS Omega 2024, 9, 10286–10298. [Google Scholar] [CrossRef]
- Sharma, P.; Gandhi, P.M.; Chintersingh, K.-L.; Schoenitz, M.; Dreizin, E.L.; Liou, S.-C.; Balasubramanian, G. Accelerated intermetallic phase amorphization in a Mg-based high-entropy alloy powder. J. Magnes. Alloys 2024, 12, 1792–1798. [Google Scholar] [CrossRef]
- Jain, A.; Ong, S.P.; Hautier, G.; Chen, W.; Richards, W.D.; Dacek, S.; Cholia, S.; Gunter, D.; Skinner, D.; Ceder, G.; et al. Commentary: The Materials Project: A materials genome approach to accelerating materials innovation. APL Mater. 2013, 1, 011002. [Google Scholar] [CrossRef]
- Kresse, G.; Hafner, J. Ab initio molecular dynamics for liquid metals. Phys. Rev. B 1993, 47, 558. [Google Scholar] [CrossRef]
- Kresse, G.; Hafner, J. Ab initio molecular-dynamics simulation of the liquid-metal–amorphous-semiconductor transition in germanium. Phys. Rev. B 1994, 49, 14251. [Google Scholar] [CrossRef]
- Kresse, G.; Furthmüller, J. Efficiency of ab-initio total energy calculations for metals and semiconductors using a plane-wave basis set. Comput. Mater. Sci. 1996, 6, 15–50. [Google Scholar] [CrossRef]
- Kresse, G.; Furthmüller, J. Efficient iterative schemes for ab initio total-energy calculations using a plane-wave basis set. Phys. Rev. B 1996, 54, 11169. [Google Scholar] [CrossRef]
- Blöchl, P.E. Projector augmented-wave method. Phys. Rev. B 1994, 50, 17953. [Google Scholar] [CrossRef]
- Kresse, G.; Joubert, D. From ultrasoft pseudopotentials to the projector augmented-wave method. Phys. Rev. B 1999, 59, 1758. [Google Scholar] [CrossRef]
- Perdew, J.P.; Burke, K.; Ernzerhof, M. Generalized gradient approximation made simple. Phys. Rev. Lett. 1996, 77, 3865. [Google Scholar] [CrossRef] [PubMed]
- Monkhorst, H.J.; Pack, J.D. Special points for Brillouin-zone integrations. Phys. Rev. B 1976, 13, 5188. [Google Scholar] [CrossRef]
- Impurity Diffusion Data. Available online: https://www.ctcms.nist.gov/~gkl/impuritydiffusion.html (accessed on 10 June 2025).
- Anderson, O.L. Equations of State of Solids for Geophysics and Ceramic Science; Oxford University Press: Oxford, UK, 1995. [Google Scholar]
- Zhou, S.; Napolitano, R. Phase stability for the Cu–Zr system: First-principles, experiments and solution-based modeling. Acta Mater. 2010, 58, 2186–2196. [Google Scholar] [CrossRef]
- Kleppa, O.; Watanabe, S. Thermochemistry of alloys of transition metals: Part III. Copper-Silver,-Titanium, Zirconium, and-Hafnium at 1373 K. Metall. Trans. B 1982, 13, 391–401. [Google Scholar] [CrossRef]
- Weihs, T.; Barbee, T.; Wall, M. A low-temperature technique for measuring enthalpies of formation. J. Mater. Res. 1996, 11, 1403–1409. [Google Scholar] [CrossRef]
- Karlsson, N. An x-ray study of the phases in the copper-titanium system. J. Inst. Met. 1951, 79, 391–405. [Google Scholar]
- Zaitsev, A.I.; Zaitseva, N. The thermodynamic properties of intermetallic compounds and solid solutions of Cu–Zr system. High Temp. 2003, 41, 42–48. [Google Scholar] [CrossRef]
- Meschel, S.; Kleppa, O. Thermochemistry of some binary alloys of noble metals (Cu, Ag, Au) and transition metals by high temperature direct synthesis calorimetry. J. Alloys Compd. 2003, 350, 205–212. [Google Scholar] [CrossRef]
- Yamaguchi, K.; Song, Y.-C.; Yoshida, T.; Itagaki, K. Thermodynamic investigation of the Cu–Zr system. J. Alloys Compd. 2008, 452, 73–79. [Google Scholar] [CrossRef]









| Area | Phases | Composition (at.%), EPMA | ||
|---|---|---|---|---|
| Cu | Zr | Ti | ||
| Figure 3b | Cu4Ti | 79.20 ± 3.36 | 1.42 ± 0.52 | 19.38 ± 2.66 |
| Cu51Zr14 | 76.67 ± 1.02 | 14.66 ± 2.31 | 8.67 ± 3.37 | |
| (Cu) | 93.62 ± 3.23 | 0.01 ± 1.65 | 6.37 ± 3.90 | |
| Figure 3c | Cu51Zr14 | 78.79 ± 0.13 | 13.15 ± 0.24 | 8.06 ± 0.27 |
| (Cu) | 94.78 ± 3.63 | 0.06 ± 1.48 | 5.16 ± 1.74 | |
| Figure 3d | Oxidation zone | 3.45–33.26 | 1.35–81.87 | 0.79–67.19 |
| (Cu) | 97.08 ± 0.74 | 0.31 ± 1.10 | 2.61 ± 0.72 | |
| Phase (Space Group) | Method | , (kJ/mol-atom) | Temperature | DFT Details | Reference |
|---|---|---|---|---|---|
| Cu51Zr14 (P6) | Experimental (Calorimeter) | –14.07 ± 1.24 | 298.15 K | – | [52] |
| Experimental (Calorimeter) | –14.38 ± 0.3 | 298.15 K | – | [53] | |
| Experimental (Knudsen effusion mass spectrometry) | –11.241 ± 0.076 | 298.15 K | – | [55] | |
| Experimental (Calorimeter) | –24.30 ± 2.2 | 298.15 K | – | [56] | |
| Experimental (Calorimeter) | –25.20 | 298.15 K | – | [57] | |
| DFT | –20.24 | 0 K | PAW-GGA | [51] | |
| DFT | –8.64 | 0 K | USPP-GGA | [35] | |
| DFT | –15.73 | 0 K | PAW-GGA | [40] | |
| DFT | –16.31 | 0 K | PAW-GGA | This work | |
| Cu51Zr9Ti5 (P6) | DFT | –13.44 | 0 K | PAW-GGA | This work |
| Cu4Ti (Pnma) | Experimental (Thermography) | –9.593 | 298.15 K | – | [54] |
| DFT | –7.90 | 0 K | PAW-GGA | [36] | |
| DFT | –8.10 | 0 K | PAW-GGA | [40] | |
| DFT | –9.57 | 0 K | PAW-GGA | This work |
Disclaimer/Publisher’s Note: The statements, opinions and data contained in all publications are solely those of the individual author(s) and contributor(s) and not of MDPI and/or the editor(s). MDPI and/or the editor(s) disclaim responsibility for any injury to people or property resulting from any ideas, methods, instructions or products referred to in the content. |
© 2025 by the authors. Licensee MDPI, Basel, Switzerland. This article is an open access article distributed under the terms and conditions of the Creative Commons Attribution (CC BY) license (https://creativecommons.org/licenses/by/4.0/).
Share and Cite
Shi, C.; Yang, B.; Liu, Y.; Shao, W.; Li, Y.; Li, Y.; Zeng, D.; Du, Y. Solid-State Thermal Decomposition in a Cu-Rich Cu-Ti-Zr Alloy. Materials 2025, 18, 3042. https://doi.org/10.3390/ma18133042
Shi C, Yang B, Liu Y, Shao W, Li Y, Li Y, Zeng D, Du Y. Solid-State Thermal Decomposition in a Cu-Rich Cu-Ti-Zr Alloy. Materials. 2025; 18(13):3042. https://doi.org/10.3390/ma18133042
Chicago/Turabian StyleShi, Chenying, Biaobiao Yang, Yuling Liu, Wei Shao, Yidi Li, Yunping Li, Dewen Zeng, and Yong Du. 2025. "Solid-State Thermal Decomposition in a Cu-Rich Cu-Ti-Zr Alloy" Materials 18, no. 13: 3042. https://doi.org/10.3390/ma18133042
APA StyleShi, C., Yang, B., Liu, Y., Shao, W., Li, Y., Li, Y., Zeng, D., & Du, Y. (2025). Solid-State Thermal Decomposition in a Cu-Rich Cu-Ti-Zr Alloy. Materials, 18(13), 3042. https://doi.org/10.3390/ma18133042

