Heating Performance and Electrical Properties of Cement Composites Using Conductive Films Coated with Multi-Walled Carbon Nanotubes
Abstract
1. Introduction
2. Experimental Program
2.1. Materials
2.2. Preparation of MWCNT Coating Solution
2.3. Preparation of Conductive Films Coated with MWCNT
2.4. Experimental Paramerters
2.5. Mixing and Specimen Preparation
3. Test Methods
3.1. Transmittance Measurements of MWCNT-Coated Conductive Films
3.2. FE-SEM Observations
3.3. Heating Performance Tests
3.4. Measurements of Electrical Resistance
4. Results and Discussion
4.1. Transmittance and Surface Properties of MWCNT-Coated Conductive Films
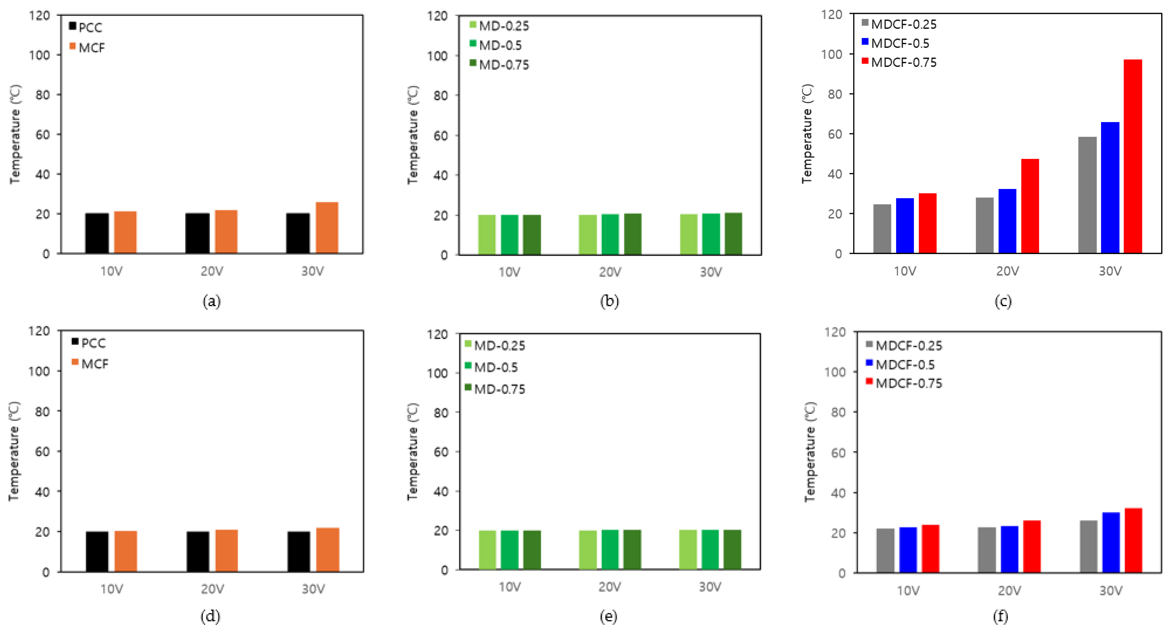
4.2. Heating Performance and Thermal Image Analysis
4.3. Electrical Properties
4.4. FE-SEM Image Analysis
5. Conclusions
- MWCNT-coated conductive films were fabricated by evenly applying MWCNT to the entire front surface of a PET film substrate using a bar-coating method. As a result, it was confirmed that when the mixing ratio of MWCNT was 99% or higher, agglomeration occurred on the film surface, whereas when it was 97% or lower, a uniform coating was formed. This serves as evidence that a mixing ratio of 97% or lower is optimal.
- When the electrode spacing was 40 mm and the applied voltage was 30 V, the MDCF-0.75 specimen using both MWCNT dispersion and MWCNT-coated films showed the highest heating performance, with the temperature increasing up to a maximum of 77.1 °C. At the same time, this specimen showed the lowest electrical resistance of 180 Ω. This is analyzed as a result of MWCNT being evenly dispersed not only in the coated films but also within the cement composites, forming a denser MWCNT network. It was thus possible to confirm that using both MWCNT dispersion and MWCNT-coated films is the optimal method to effectively improve the heating performance and electrical conductivity of cement composites.
- As the concentration of MWCNT increased, the heating performance improved and the electrical resistance decreased. This is analyzed as a result of the MWCNT networks forming more densely within the cement composites as the concentration of conductive MWCNT increased.
- As the electrode spacing became narrower, the heating performance increased significantly and the electrical resistance decreased further. This is because as the electrode spacing became narrower, the current flow became smoother and the loss due to electrical resistance decreased, further increasing the heating effect.
- FE-SEM analysis results showed that the network formation of MWCNT-coated films enhanced the electrical connection, thereby improving the heating performance and reducing the electrical resistance. In particular, the cement composites using both 0.75 wt.% MWCNT dispersion and MWCNT-coated films formed a denser and more uniform internal structure, suggesting that the electrical properties and heating performance can be effectively improved.
Author Contributions
Funding
Institutional Review Board Statement
Informed Consent Statement
Data Availability Statement
Acknowledgments
Conflicts of Interest
References
- Bontea, D.-M.; Chung, D.D.L.; Lee, G.C. Damage in carbon fiber-reinforced concrete, monitored by electrical resistance measurement. Cem. Concr. Res. 2000, 30, 651–659. [Google Scholar] [CrossRef]
- Rovnaník, P.; Kusák, I.; Schmid, P.; Bayer, P. A comparison of the resistance- and capacitance-based sensing of geopolymer and cement composites with graphite filler under compression. Materials 2025, 18, 750. [Google Scholar] [CrossRef]
- Kang, S.H. Electrically conductive concrete. Mag. Korea Concr. Inst. 1998, 10, 34–40. [Google Scholar]
- MaCarter, W.J.; Garvin, N.; Bouzid, N. Impedance measurements on cement paste. J. Mater. Sci. Lett. 1988, 7, 1056–1057. [Google Scholar] [CrossRef]
- Whittington, H.W.; Mccarter, J.; Forde, M.C. The conduction of electricity through concrete. Mag. Concr. Res. 1981, 33, 48–60. [Google Scholar] [CrossRef]
- Chung, D.D.L. Self-heating structural materials. Smart Mater. Struct. 2004, 13, 562–565. [Google Scholar] [CrossRef]
- Malakooti, A.; Theh, W.H.; Sajed Sadati, S.M.; Ceylan, H.; Kim, S.H.; Mina, M.; Cetin, K.; Taylor, P.C. Design and full-scale implementation of the largest operational electrically conductive concrete heated pavement system. Constr. Build. Mater. 2020, 255, 119229. [Google Scholar] [CrossRef]
- Sun, M.; Mu, X.; Wang, X.; Hou, Z.; Li, Z. Experimental studies on the indoor electrical floor heating system with carbon black mortar slabs. Energy. Build. 2008, 40, 1094–1100. [Google Scholar]
- Suryanto, B.; Wilson, S.A.; McCarter, W.J.; Chrisp, T.M. Self-healing performance of engineered cementitious composites under natural environmental exposure. Adv. Cem. Res. 2016, 28, 211–220. [Google Scholar] [CrossRef]
- Salim, M.U.; Nishat, F.M.; Oh, T.G.; Yoo, D.-Y.; Song, Y.S.; Ozbakkaloglu, T.; Yeon, J.H. Electrical resistivity and joule heating characteristics of cementitious composites incorporating multi-walled carbon nanotubes and carbon fibers. Materials 2022, 15, 8055. [Google Scholar] [CrossRef]
- Wu, J.; Liu, J.; Yang, F. Three-phase composite conductive concrete for pavement deicing. Constr. Build. Mater. 2015, 75, 129–135. [Google Scholar] [CrossRef]
- Yehia, S.; Tuan, C.Y. Conductive concrete overlay for bridge deck deicing. ACI Mater. J. 1999, 96, 382–390. [Google Scholar]
- Karbovnyk, I.; Klym, H.; Chalyy, D.; Zhydenco, I.; Lukashevych, D. Impedance analysis of PEDOT:PSS/CNT composites below percolation threshold. Appl. Nanosci. 2022, 12, 1263–1266. [Google Scholar] [CrossRef]
- Istlyaup, A.; Myasnikova, L.; Bezrukovs, V.; Žalga, A.; Popov, A.I. Computer simulation of the electrical properties of carbon nanotubes encapsulated with alkali metal iodide crystals. Low. Temp. Phys. 2024, 50, 898–904. [Google Scholar] [CrossRef]
- Li, G.Y.; Wang, P.M.; Zhao, X. Mechanical behavior and microstructure of cement composites incorporating surface-treated multi-walled carbon nanotubes. Carbon 2005, 43, 1239–1245. [Google Scholar] [CrossRef]
- Chaipanich, A.; Nochaiya, T.; Wongkeo, W.; Torkittikul, P. Compressive strength and microstructure of carbon nanotubes-fly ash cement composites. Mater. Sci. Eng. A. 2010, 527, 1063–1067. [Google Scholar] [CrossRef]
- Morsy, M.S.; Alsayed, S.H.; Aqel, M. Hybrid effect of carbon nanotube and nano-clay on physico-mechanical properties of cement mortar. Constr. Build. Mater. 2011, 25, 145–149. [Google Scholar] [CrossRef]
- Hamzaoui, R.; Bennabi, A.; Guessasma, S.; Khelifa, R.; Leklou, N. Optimal carbon nanotubes concentration incorporated in mortar and concrete. Adv. Materi. Res. 2012, 587, 107–110. [Google Scholar] [CrossRef]
- Choi, H.J.; Kang, D.H.; Seo, G.S.; Chung, W.S. Effect of some parameters on the compressive strength of MWCNT-cement composites. Adv. Mater. Sci. Eng. 2015, 2015, 1–8. [Google Scholar] [CrossRef]
- Ha, S.J.; Kang, S.T.; Lee, J.H. Strength of CNT cement composites with different types of surfactants and doses. J. Korea Inst. Struct. Maint. Insp. 2015, 19, 99–107. [Google Scholar] [CrossRef]
- Raki, L.; Beaudoin, J.; Alizadeh, R.; Makar, J.; Sato, T. Cement and concrete nanoscience and nanotechnolog. Materials 2010, 3, 918–942. [Google Scholar] [CrossRef]
- Sanchez, F.; Sobolev, K. Nanotechnology in concrete-a review. Constr. Build. Mater. 2010, 24, 2060–2071. [Google Scholar] [CrossRef]
- Hanus, M.J.; Harris, A.T. Nanotechnology innovations for the construction industry. Prog. Materi. Sci. 2013, 58, 1056–1102. [Google Scholar] [CrossRef]
- Fan, Z.; Chen, J.; Wang, M.; Cui, K.; Zhou, H.; Kuang, Y. Preparation and characterization of manganese oxide/CNT composites as supercapacitive materials. Diam. Relat. Materi. 2006, 15, 1478–1483. [Google Scholar] [CrossRef]
- Kim, M.T.; Rhee, K.Y.; Lee, J.H.; Hui, D.; Lau, A.K. Property enhancement of a carbon fiber/epoxy composite by using carbon nanotubes. Compos. Part B Eng. 2011, 42, 1257–1261. [Google Scholar] [CrossRef]
- Lee, S.H.; Kang, D.H.; Oh, I.K. Multilayered graphene-carbon nanotube-iron oxide three-dimensional heterostructure for flexible electromagnetic interference shielding film. Carbon 2011, 111, 248–257. [Google Scholar] [CrossRef]
- Sobolkina, A.; Mechtcherine, V.; Khavrus, V.; Maier, D.; Mende, M.; Ritschel, M.; Leonhardt, A. Dispersion of carbon nanotubes and its influence on the mechanical properties of the cement matrix. Cem. Concr. Compos. 2012, 34, 1104–1113. [Google Scholar] [CrossRef]
- Al-Dahawi, A.; Öztürk, O.; Emami, F.; Yıldırım, G.; Şahmaran, M. Effect of mixing methods on the electrical properties of cementitious composites incorporating different carbon-based materials. Construc. Build. Mater. 2016, 104, 160–168. [Google Scholar] [CrossRef]
- Gupta, S.; Gonzalez, J.G.; Loh, K.J. Self-sensing concrete enabled by nano-engineered cement-aggregate interfaces. Struct. Health Monit. 2017, 16, 309–323. [Google Scholar] [CrossRef]
- Konsta-Gdoutos, M.S.; Aza, C.A. Self sensing carbon nanotube (CNT) and nanofiber (CNF) cementitious composites for real time damage assessment in smart structures. Cem. Concr. Compos. 2014, 53, 162–169. [Google Scholar] [CrossRef]
- Lee, H.Y.; Kang, D.H.; Kim, J.W.; Choi, K.H.; Chung, W.S. Void detection of cementitious grout composite using single-walled and multi-walled carbon nanotubes. Cem. Concr. Compos. 2019, 95, 237–246. [Google Scholar] [CrossRef]
- Zhang, Q.; Li, H. Experimental investigation on the ice/snow melting performance of CNFP & MWCNT/cement-based deicing system. In Proceedings of the 6th International Workshop on Advanced Smart Materials and Smart Structures Technology, Dalian, China, 25–26 July 2011. [Google Scholar]
- Huang, H.; Liu, C.H.; Wu, Y.; Fan, S. Aligned carbon nanotube composite films for thermal management. Adv. Mater. 2005, 17, 1652–1656. [Google Scholar] [CrossRef]
- Hone, J.; Llaguno, M.C.; Nemes, N.M.; Johnson, A.T.; Fischer, J.E.; Walters, D.A.; Casavant, M.J.; Schmidt, J.; Smalley, R.E. Electrical and thermal transport properties of magnetically aligned single wall carbon nanotube films. Appl. Phys. Lett. 2000, 77, 666–668. [Google Scholar]
- Jang, S.H.; Park, Y.L. Carbon nanotube-reinforced smart composites for sensing freezing temperature and deicing by self-heating. Nanomater. Nanotechnol. 2018, 8, 1847980418776473. [Google Scholar] [CrossRef]
- Kim, J.H.; Nam, K.W.; Ma, S.B.; Kim, K.B. Fabrication and electrochemical properties of carbon nanotube film electrodes. Carbon 2006, 44, 1963–1968. [Google Scholar] [CrossRef]
- Pham, G.T.; Park, Y.B.; Liang, Z.; Zhang, C.; Wang, B. Processing and modeling of conductive thermoplastic/carbon nanotube films for strain sensing. Compos. Part B Eng. 2008, 39, 209–216. [Google Scholar] [CrossRef]
- KS L 5201; Portland Cement. Korean Agency for Technology and Standards (KATS): Eumseong County, Republic of Korea, 2021.
- KS L ISO 679; Methods of Testing Cements-Determination of Strength. Korean Agency for Technology and Standards (KATS): Eumseong County, Republic of Korea, 2022.
- KCS 14 20 10; Concrete, Korean Construction Specification. Korea Construction Standard Center (KCSC): Goyang City, Republic of Korea, 2022.
- ASTM C348; Standard Test Method for Flexural Strength of Hydraulic-Cement Mortars. American Society for Testing Materials (ASTM) International: West Conshohocken, PA, USA, 2009.
- Reza, F.; Batson Gordon, G.B.; Yamamuro, J.A.; Lee, J.S. Volume electrical resistivity of carbon fiber cement composites. ACI Mater. J. 2001, 98, 25–35. [Google Scholar]
- Wen, S.; Chung, D.D.L. Seebeck effect in carbon fiber-reinforced cement. Cem. Concr. Res. 1999, 29, 1989–1993. [Google Scholar] [CrossRef]
- Scrivener, K.L.; Crumbie, A.K.; Laugesn, P. The interfacial transition zone (ITZ) between cement paste and aggregate in concrete. Interface Sci. 2004, 12, 411–421. [Google Scholar] [CrossRef]
- Betterman, L.R.; Ouyang, C.; Shap, S.P. Fiber-matrix interaction in microfiber-reinforced mortar. Adv. Cem. Based Mates. 1995, 2, 53–61. [Google Scholar] [CrossRef]
- Gonzalez, J.G.; Gupta, S.; Loh, K.J. Multifunctional cement composites enhanced with carbon nanotube thin film interfaces. Proc. IEEE 2016, 104, 1547–1560. [Google Scholar] [CrossRef]
- Lee, H.Y.; Yu, W.J.; Loh, K.; Chung, W.S. Self-heating and electrical performance of carbon nanotube-enhanced cement composites. Constr. Build. Mater. 2020, 250, 118838. [Google Scholar] [CrossRef]



















| Size (mm) | Unit Weight (kg/m3) | Density (g/cm3) | Percentage Water Absorption (%) | Fineness Modulus (FM) |
|---|---|---|---|---|
| ≤2 | 1490 | 2.65 | 0.1 | 2.40 |
| Thickness (μm) | Heat Shrinkage (%) | Tensile Strength (MPa) | Elongation at Break (%) | Surface Tension (mN/m) |
|---|---|---|---|---|
| 100 ± 2.5 | ≤0.5~1.5 | 205 ± 49 | 160 ± 50 | 54 ± 3 |
| Diameter (nm) | Length (μm) | Purity (wt.%) | Specific Surface Area (m2/g) | Bulk Density (g/cm3) | Resistivity (Ω·cm) | Thermal Conductivity (W/m·K) |
|---|---|---|---|---|---|---|
| 10~100 | 0.1~5 | >96.5 | 200~250 | 0.08~0.12 | 10−3~10−6 | Max 3000 |
| Sample Name | Mixing Ratios (wt.%) | |
|---|---|---|
| MWCNT | PUD | |
| M00 | 00 | 100 |
| M91 | 91 | 9 |
| M93 | 93 | 7 |
| M95 | 95 | 5 |
| M97 | 97 | 3 |
| M99 | 99 | 1 |
| M100 | 100 | 0 |
| Mixing Method | Specimen ID | MWCNT Concentration (wt.%) | Use of MWCNT-Coated Films | Electrodes Spacing (mm) | Applied Voltage (V) |
|---|---|---|---|---|---|
| Plain cement composites (Group 1) | PCC | 0.00 | None | 40/120 | 10/20/30 |
| MWCNT-coated film (Group 2) | MCF | 0.00 | Used | 40/120 | 10/20/30 |
| MWCNT dispersion (Group 3) | MD-0.25 | 0.25 | None | 40/120 | 10/20/30 |
| MD-0.50 | 0.50 | None | |||
| MD-0.75 | 0.75 | None | |||
| MWCNT-coated films and MWCNT dispersion (Group 4) | MDCF-0.25 | 0.25 | Used | 40/120 | 10/20/30 |
| MDCF-0.50 | 0.50 | Used | |||
| MDCF-0.75 | 0.75 | Used |
| Specimen ID | Water/Cement (%) | Cement/Fine Aggregate | MWCNT Concentration (wt.%) | Use of MWCNT-Coated Films | Cement (g) | Fine Aggregate (g) | Water (g) |
|---|---|---|---|---|---|---|---|
| PCC | 42.5 | 1:2 | 0.00 | None | 80 | 160 | 34 |
| MCF | 42.5 | 1:2 | 0.00 | Used | 80 | 160 | 34 |
| MD-0.25 | 42.5 | 1:2 | 0.25 | None | 80 | 160 | 34 |
| MD-0.50 | 0.50 | None | |||||
| MD-0.75 | 0.75 | None | |||||
| MDCF-0.25 | 42.5 | 1:2 | 0.25 | Used | 80 | 160 | 34 |
| MDCF-0.50 | 0.50 | Used | |||||
| MDCF-0.75 | 0.75 | Used |
| Specimen ID | MWCNT Concentration (wt.%) | Use of MWCNT-Coated Films | Maximum Heating Performance (°C) | |||||
|---|---|---|---|---|---|---|---|---|
| At 40 mm Spacing | At 120 mm Spacing | |||||||
| 10 V | 20 V | 30 V | 10 V | 20 V | 30 V | |||
| PCC | 0.00 | None | 20.0 | 20.1 | 20.2 | 20.0 | 20.0 | 20.0 |
| MCF | 0.00 | Used | 21.2 | 21.9 | 25.8 | 20.3 | 20.9 | 21.8 |
| MD-0.25 | 0.25 | None | 20.0 | 20.2 | 20.4 | 20.0 | 20.0 | 20.1 |
| MD-0.50 | 0.50 | None | 20.1 | 20.4 | 20.7 | 20.0 | 20.1 | 20.2 |
| MD-0.75 | 0.75 | None | 20.2 | 20.6 | 21.0 | 20.0 | 20.2 | 20.3 |
| MDCF-0.25 | 0.25 | Used | 24.5 | 28.0 | 58.5 | 22.0 | 22.9 | 26.1 |
| MDCF-0.50 | 0.50 | Used | 27.7 | 32.3 | 65.7 | 22.6 | 23.4 | 30.1 |
| MDCF-0.75 | 0.75 | Used | 30.1 | 47.3 | 97.1 | 24.0 | 26.1 | 32.3 |
| Specimen ID | MWCNT Concentration (wt.%) | Use of MWCNT-Coated Films | Resistance (Ω) | |
|---|---|---|---|---|
| At 40 mm Spacing | At 120 mm Spacing | |||
| PCC | 0.00 | None | 88,110 | 98,590 |
| MCF | 0.75 | Used | 75,140 | 91,980 |
| MD-0.25 | 0.25 | None | 87,030 | 98,260 |
| MD-0.50 | 0.50 | None | 86,760 | 98,040 |
| MD-0.75 | 0.75 | None | 85,250 | 97,520 |
| MDCF-0.25 | 0.25 | Used | 1300 | 2220 |
| MDCF-0.50 | 0.50 | Used | 320 | 820 |
| MDCF-0.75 | 0.75 | Used | 180 | 590 |
Disclaimer/Publisher’s Note: The statements, opinions and data contained in all publications are solely those of the individual author(s) and contributor(s) and not of MDPI and/or the editor(s). MDPI and/or the editor(s) disclaim responsibility for any injury to people or property resulting from any ideas, methods, instructions or products referred to in the content. |
© 2025 by the authors. Licensee MDPI, Basel, Switzerland. This article is an open access article distributed under the terms and conditions of the Creative Commons Attribution (CC BY) license (https://creativecommons.org/licenses/by/4.0/).
Share and Cite
Park, J.-G.; Seo, D.-J.; Yun, C.-H.; Kim, T.-H.; Song, K.-C.; Heo, G.-H. Heating Performance and Electrical Properties of Cement Composites Using Conductive Films Coated with Multi-Walled Carbon Nanotubes. Materials 2025, 18, 2773. https://doi.org/10.3390/ma18122773
Park J-G, Seo D-J, Yun C-H, Kim T-H, Song K-C, Heo G-H. Heating Performance and Electrical Properties of Cement Composites Using Conductive Films Coated with Multi-Walled Carbon Nanotubes. Materials. 2025; 18(12):2773. https://doi.org/10.3390/ma18122773
Chicago/Turabian StylePark, Jong-Gun, Dong-Ju Seo, Chang-Ho Yun, Tae-Hyoung Kim, Ki-Chang Song, and Gwang-Hee Heo. 2025. "Heating Performance and Electrical Properties of Cement Composites Using Conductive Films Coated with Multi-Walled Carbon Nanotubes" Materials 18, no. 12: 2773. https://doi.org/10.3390/ma18122773
APA StylePark, J.-G., Seo, D.-J., Yun, C.-H., Kim, T.-H., Song, K.-C., & Heo, G.-H. (2025). Heating Performance and Electrical Properties of Cement Composites Using Conductive Films Coated with Multi-Walled Carbon Nanotubes. Materials, 18(12), 2773. https://doi.org/10.3390/ma18122773

