Evaluation of Physical Properties of Ti-Doped BiFeO3 Thin Films Deposited on Fluorine Tin Oxide and Indium Tin Oxide Substrates
Abstract
1. Introduction
2. Materials and Methods
3. Results and Discussion
3.1. X-Ray Analysis
3.2. SEM
3.2.1. Morphology
3.2.2. Thickness
3.3. AFM
3.4. PFM
3.5. Optical Properties
3.5.1. Absorption Spectra
3.5.2. Bandgap
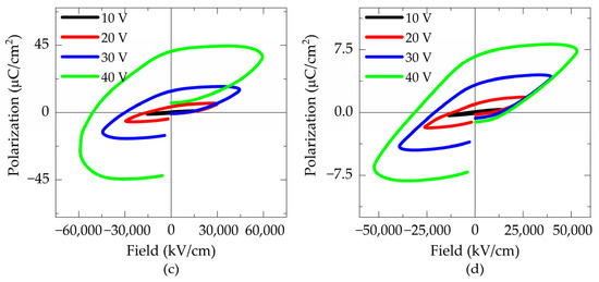
3.6. Ferroelectric Properties
4. Conclusions
Author Contributions
Funding
Institutional Review Board Statement
Informed Consent Statement
Data Availability Statement
Acknowledgments
Conflicts of Interest
References
- Pérez-Tomás, A.; Mingorance, A.; Tanenbaum, D.; Lira-Cantú, M. Metal oxides in photovoltaics: Perovskite solar cells. In The Future of Semiconductor Oxides in Next-Generation Solar Cells; Lira-Cantu, M., Ed.; Elsevier Inc.: Amsterdam, The Netherlands, 2018; pp. 267–356. [Google Scholar]
- Wang, N.; Luo, X.; Han, L.; Zhang, Z.; Zhang, R.; Olin, H.; Yang, Y. Structure, Performance, and Application of BiFeO3 Nanomaterials. Nano-Micro Lett. 2020, 12, 81. [Google Scholar] [CrossRef]
- Wassel, M.A.B.; Pérez-Maqueda, L.A.; Gil-Gonzalez, E.; Charalambous, H.; Perejon, A.; Jha, S.K.; Okasinski, J.; Tsakalakos, T. Anisotropic lattice expansion determined during flash sintering of BiFeO3 by in-situ energy-dispersive X-ray diffraction. Scr. Mater. 2019, 162, 286–291. [Google Scholar] [CrossRef]
- Tian, Y.; Xue, F.; Fu, Q.; Zhou, L.; Wang, C.; Gou, H. Structural and physical properties of Ti-doped BiFeO3 nanoceramics. Ceram. Int. 2018, 44, 4287–4291. [Google Scholar] [CrossRef]
- Leal-Zayas, J.C.; Vargas-Ortiz, R.Á.; Almaral-Sánchez, J.L.; Mendivil-Escalante, J.M.; Silva-González, R.; Moya-Canul, K.M.; Peña-Flores, J.I.; Yáñez-Limón, J.M. Study of the physical properties of BiFeO3 films obtained by RF sputtering using a homemade target. Bol. Soc. Esp. Ceram. Vidr. 2024; in press. [Google Scholar] [CrossRef]
- Anjum, N.; Lamia, S.N.E.; Arafat, Y.; Mahboob, M.; Basith, M.A. Photocatalytic Properties of Ti-Doped BiFeO3 Bulk and Nanoparticles for Solar Hydrogen Fuel Generation. In Proceedings of the 12th International Conference on Mechanical Engineering (ICME 2017), DhaNa, Bangladesh, 20–22 December 2017; p. 060004. [Google Scholar] [CrossRef]
- Razad, P.M.; Saravanakumar, K.; Reddy, V.R.; Choudhary, R.J.; Jeyadheepan, K.; Mahalakshmi, K. Tailoring the Size and Magnetization of Titanium-Doped BiFeO3 Nanorods. J. Electron. Mater. 2021, 50, 1075–1082. [Google Scholar] [CrossRef]
- Li, Y.; Wang, X.T.; Zhang, X.Q.; Li, X.; Wang, J.; Wang, C.W. New hydrothermal synthesis strategy of nano-sized BiFeO3 for high-efficient photocatalytic applications. Phys. E Low-Dimens. Syst. Nanostruct. 2020, 118, 113865. [Google Scholar] [CrossRef]
- Kumari, K.; Chakrabarti, T.; Jana, A.; Bhattachartjee, D.; Gupta, B.; Sarkar, S.K. Comparative Study on Perovskite Solar Cells based on Titanium, Nickel and Cadmium doped BiFeO3 active material. Opt. Mater. 2018, 84, 681–688. [Google Scholar] [CrossRef]
- Ayala, Z.B.; Peñalva, J.J.; Eyzaguirre, C.R.; Loro, H.; Lazo, A.; Hernández, Y.J.M. Study of the optical properties of BiFeO3 under different heat treatment temperatures. J. Phys. Conf. Ser. 2022, 2372, 012005. [Google Scholar] [CrossRef]
- Zhang, Y.; Sun, H.; Yang, C.; Su, H.; Liu, X. Modulating Photovoltaic Conversion Efficiency of BiFeO3-Based Ferroelectric Films by the Introduction of Electron Transport Layers. ACS Appl. Energy Mater. 2019, 2, 5540–5546. [Google Scholar] [CrossRef]
- Tian, Y.; Xue, F. Impedance spectrum and magnetic properties of BiFe0.95Ti0.05O3 ceramics. J. Mater. Sci. Mater. Electron. 2019, 30, 15452–15459. [Google Scholar] [CrossRef]
- Simões, A.Z.; Riccardi, C.S.; Dos Santos, M.L.; Garcia, F.G.; Longo, E.; Varela, J.A. Effect of annealing atmosphere on phase formation and electrical characteristics of bismuth ferrite thin films. Mater. Res. Bull. 2009, 44, 1747–1752. [Google Scholar] [CrossRef]
- Gumiel, C.; Calatayud, D.G. Thin film processing of multiferroic BiFeO3: From sophistication to simplicity. A review. Bol. Soc. Esp. Ceram. Vidr. 2022, 61, 708–732. [Google Scholar] [CrossRef]
- Peng, Y.T.; Chiou, S.H.; Hsiao, C.H.; Ouyang, C.; Tu, C.S. Remarkably enhanced photovoltaic effects and first-principles calculations in neodymium doped BiFeO3. Sci. Rep. 2017, 7, 45164. [Google Scholar] [CrossRef]
- Cai, W.; Fu, C.; Gao, R.; Jiang, W.; Deng, X.; Chen, G. Photovoltaic enhancement based on improvement of ferroelectric property and band gap in Ti-doped bismuth ferrite thin films. J. Alloys Compd. 2014, 617, 240–246. [Google Scholar] [CrossRef]
- Rong, N.; Chu, M.; Tang, Y.; Zhang, C.; Cui, X.; He, H.; Zhang, Y.; Xiao, P. Improved photoelectrocatalytic properties of Ti-doped BiFeO3 films for water oxidation. J. Mater. Sci. 2016, 51, 5712–5723. [Google Scholar] [CrossRef]
- Blázquez Martínez, A.; Godard, N.; Aruchamy, N.; Milesi-Brault, C.; Condurache, O.; Bencan, A.; Glinsek, S.; Granzow, T. Solution-processed BiFeO3 thin films with low leakage current. J. Eur. Ceram. Soc. 2021, 41, 6449–6455. [Google Scholar] [CrossRef]
- Deepak Sharma, A.; Basantakumar Sharma, H. Influence of sintering temperature on structural, morphological and optical properties of nanocrystalline bismuth ferrite thin films via sol-gel processing. IOP Conf. Ser. Mater. Sci. Eng. 2022, 1219, 012052. [Google Scholar] [CrossRef]
- Zhu, H.; Ma, H.; Zhao, Y. In-situ growth of high-quality epitaxial BiFeO3 thin film via off-axis RF magnetron sputtering. Vacuum 2018, 157, 428–432. [Google Scholar] [CrossRef]
- Drera, G.; Giampietri, A.; Alessandri, I.; Magnano, E.; Bondino, F.; Nappini, S. Grain size and stoichiometry control over RF-sputtered multiferroic BiFeO3 thin films on silicon substrates. Thin Solid Films 2015, 589, 551–555. [Google Scholar] [CrossRef]
- Liu, Y.; Weiss, D.N.; Li, J. Rapid Nanoimprinting and Excellent Nanostructures. ACS Nano 2010, 4, 83–90. [Google Scholar] [CrossRef]
- Pal, S.; Palladino, E.; Yuan, H.; De, M.A.; Macmanus-driscoll, J.L.; Ontaneda, J.; Dwij, V.; Sathe, V.G.; Briscoe, J. Determination of Imprint Effects in Ferroelectrics from the Quantified Phase and Amplitude Response. Appl. Electron. Mater. 2024, 6, 6401–6410. [Google Scholar] [CrossRef]
- Lei, T.; Cai, W.; Fu, C.; Ren, H.; Zhang, Y.; Sun, Y.; Li, G. The effects of grain size on electrical properties and domain structure of BiFeO3 thin films by sol–gel method. J. Mater. Sci. Mater. Electron. 2015, 26, 9495–9506. [Google Scholar] [CrossRef]
- Misiurev, D.; Kaspar, P.; Holcman, V. Brief Theoretical Overview of Bi-Fe-O Based Thin Films. Materials 2022, 15, 8719. [Google Scholar] [CrossRef] [PubMed]
- Béa, H.; Bibes, M.; Barthélémy, A.; Bouzehouane, K.; Jacquet, E.; Khodan, A.; Contour, J.P.; Fusil, S.; Wyczisk, F.; Forget, A.; et al. Influence of parasitic phases on the properties of BiFeO3 epitaxial thin films. Appl. Phys. Lett. 2005, 87, 072508. [Google Scholar] [CrossRef]
- Tomczyk, M.; Stroppa, D.G.; Reaney, I.M.; Vilarinho, P.M. Growth of BiFeO3 thin films by chemical solution deposition: The role of electrodes. Phys. Chem. Chem. Phys. 2017, 19, 14337–14344. [Google Scholar] [CrossRef]
- Yu, H.Z.; Thompson, C.V. Grain growth and complex stress evolution during Volmer-Weber growth of polycrystalline thin films. Acta Mater. 2014, 67, 189–198. [Google Scholar] [CrossRef]
- Sando, D.; Carrétéro, C.; Grisolia, M.N.; Barthélémy, A.; Nagarajan, V.; Bibes, M. Revisiting the Optical Band Gap in Epitaxial BiFeO3 Thin Films. Adv. Opt. Mater. 2018, 6, 1700836. [Google Scholar] [CrossRef]
- Zhu, H.; Zhao, Y.; Wang, Y. Orientation dependent leakage current behaviors and ferroelectric polarizations of off-axis sputtered BiFeO3 thin films. J. Alloys Compd. 2019, 803, 942–949. [Google Scholar] [CrossRef]
- Sati, P.C.; Kumar, M.; Chhoker, S.; Jewariya, M. Influence of Eu substitution on structural, magnetic, optical and dielectric properties of BiFeO3 multiferroic ceramics. Ceram. Int. 2015, 41, 2389–2398. [Google Scholar] [CrossRef]
- Soram, B.S.; Ngangom, B.S.; Sharma, H.B. Effect of annealing temperatures on the structural and optical properties of sol-gel processed nanocrystalline BiFeO3 thin films. Thin Solid Films 2012, 524, 57–61. [Google Scholar] [CrossRef]
- Wang, J.; Luo, L.; Han, C.; Yun, R.; Tang, X.; Zhu, Y.; Nie, Z.; Weiren, Z.; Zhechuan, F. The Microstructure, Electric, Optical and Photovoltaic Properties of BiTiO3 Thin Films Prepared by Low Temperature Sol-Gel Method. Materials 2019, 12, 1444. [Google Scholar]
- Liu, H.; Liu, J.; Zhu, H.; Wang, Y.; Ouyang, J. Ferroelectric and piezoelectric characteristics of epitaxial BiFeO3 films sputtered on different oxide bottom electrodes. Mater. Lett. 2022, 320, 132387. [Google Scholar] [CrossRef]
- Chen, M.; Ding, J.; Qiu, J.; Yuan, N. Effect of film thickness and bottom electrode material on the ferroelectric and photovoltaic properties of sputtered polycrystalline BiFeO3 films. Mater. Lett. 2015, 139, 325–328. [Google Scholar] [CrossRef]












| Sample | Substrate | Heat Treatment Temperature [°C] | Deposition Time [min] |
|---|---|---|---|
| ITO550/180 | ITO | 550 | 180 |
| ITO575/180 | ITO | 575 | 180 |
| ITO550/300 | ITO | 550 | 300 |
| ITO575/300 | ITO | 575 | 300 |
| FTO550/180 | FTO | 550 | 180 |
| FTO575/180 | FTO | 575 | 180 |
| FTO550/300 | FTO | 550 | 300 |
| FTO575/300 | FTO | 575 | 300 |
| 550 °C | 575 °C | ||
|---|---|---|---|
| Deposition Time [min] | Thickness [nm] | Deposition Time [min] | Thickness [nm] |
| 180 | 136 ± 14 | 180 | 234 ± 16 |
| 300 | 239 ± 11 | 300 | 270 ± 17 |
| Sample | Maximum Polarization | Remanent Polarization |
|---|---|---|
| [µC/cm2] | [µC/cm2] | |
| ITO550/300 | 40.89 | 44.87 |
| ITO575/300 | 8.45 | 6.68 |
| FTO550/180 | 2.708 | 1.746 |
| FTO550/300 | 0.234 | 0.0049 |
| FTO575/180 | 1.692 | 1.045 |
| FTO575/300 | 0.241 | 0.0011 |
Disclaimer/Publisher’s Note: The statements, opinions and data contained in all publications are solely those of the individual author(s) and contributor(s) and not of MDPI and/or the editor(s). MDPI and/or the editor(s) disclaim responsibility for any injury to people or property resulting from any ideas, methods, instructions or products referred to in the content. |
© 2025 by the authors. Licensee MDPI, Basel, Switzerland. This article is an open access article distributed under the terms and conditions of the Creative Commons Attribution (CC BY) license (https://creativecommons.org/licenses/by/4.0/).
Share and Cite
Carrasco-Hernández, A.R.; Reyes-Rojas, A.; Rojas-George, G.; la Cruz, A.R.-D.; Esparza-Ponce, H.E. Evaluation of Physical Properties of Ti-Doped BiFeO3 Thin Films Deposited on Fluorine Tin Oxide and Indium Tin Oxide Substrates. Materials 2025, 18, 2395. https://doi.org/10.3390/ma18102395
Carrasco-Hernández AR, Reyes-Rojas A, Rojas-George G, la Cruz AR-D, Esparza-Ponce HE. Evaluation of Physical Properties of Ti-Doped BiFeO3 Thin Films Deposited on Fluorine Tin Oxide and Indium Tin Oxide Substrates. Materials. 2025; 18(10):2395. https://doi.org/10.3390/ma18102395
Chicago/Turabian StyleCarrasco-Hernández, Anel Rocío, Armando Reyes-Rojas, Gabriel Rojas-George, Antonio Ramírez-De la Cruz, and Hilda Esperanza Esparza-Ponce. 2025. "Evaluation of Physical Properties of Ti-Doped BiFeO3 Thin Films Deposited on Fluorine Tin Oxide and Indium Tin Oxide Substrates" Materials 18, no. 10: 2395. https://doi.org/10.3390/ma18102395
APA StyleCarrasco-Hernández, A. R., Reyes-Rojas, A., Rojas-George, G., la Cruz, A. R.-D., & Esparza-Ponce, H. E. (2025). Evaluation of Physical Properties of Ti-Doped BiFeO3 Thin Films Deposited on Fluorine Tin Oxide and Indium Tin Oxide Substrates. Materials, 18(10), 2395. https://doi.org/10.3390/ma18102395

