Next Article in Journal
The Effect of Gypsum on the Self-Hardening of Sapropel in Thermal Insulating Wood Chips Composite
Previous Article in Journal
A Review of Damage Tolerance and Mechanical Behavior of Interlayer Hybrid Fiber Composites for Wind Turbine Blades
Previous Article in Special Issue
Bio-Inspired Curved-Elliptical Lattice Structures for Enhanced Mechanical Performance and Deformation Stability
 
 
Font Type:
Arial Georgia Verdana
Font Size:
Aa Aa Aa
Line Spacing:
Column Width:
Background:
Article

Analysis of the Mechanical Behavior of Tree-like Fractal Structures in SLM-Manufactured Components

1
Department of Manufacturing Engineering, Faculty of Industrial Engineering, Robotics and Production Management, Technical University of Cluj-Napoca, Memorandumului 28, 400114 Cluj-Napoca, Romania
2
Department of Mechanical Engineering, Technical University of Cluj-Napoca, 400114 Cluj-Napoca, Romania
*
Author to whom correspondence should be addressed.
Materials 2025, 18(10), 2215; https://doi.org/10.3390/ma18102215
Submission received: 14 April 2025 / Revised: 6 May 2025 / Accepted: 8 May 2025 / Published: 11 May 2025

Abstract

Tree-like fractals as internal structures are a novel alternative to conventional lattice structures for mechanical components produced via Selective Laser Melting (SLM). This study explores the mechanical behavior of tree-like fractals, targeting flexure tests on SLM test samples manufactured using two distinct fractal configurations. The main objective is to develop numerical models that can predict the effect of the branching angle on the stress-strain curves, for both fractal configurations, from experimental flexure tests. A polynomial regression model is proposed to predict mechanical response variations based on fractal geometry, and the prediction model provides acceptable errors, less than the natural variance of multiple experiments. Furthermore, the tree-like fractal samples showed an interesting behavior on the flexure test, where the fractals deformed uniformly and in a predictable pattern, enabling mechanical advantages in impact absorption applications.

1. Introduction

The development of complex internal structures, e.g., lattices, in mechanical components attracted significant attention across various engineering applications [1]. These structures show specific mechanical advantages, e.g., lightweight design, high strength, and energy absorption capabilities. In material mechanics and science, internal structures (deployed inside a mechanical component) such as lattices offer specific advantages, namely: (i) high strength (relative to the volume of material) [1,2], (ii) good impact and mechanical energy absorption [2,3,4,5,6,7,8], (iii) crashworthiness [2], and (iv) good thermal conductivity [9,10].
A fractal is a recurring (non-smooth) geometry where the structure is preserved regardless of scale, i.e., the structure looks the same locally as globally, meaning fractals are self-similar and have space-filling properties [11]. These properties make fractals an alternative to lattices. The difference between lattice and fractals is that lattice structure has a unit cell pattern that repeats in (usually) translational symmetry, whereas fractals have irregular, self-similar patterns with scaling symmetry.
One of the various fractal structures is the tree-like fractal, which resembles the structure of trees, where each branch splits into smaller branches, repeatedly presenting self-similarity. Consequently, at each level of magnification, the pattern of branching is the same.
Tree-like fractals represent a novel approach for creating lightweight parts with internal structures (similar to lattice structures) for Selective Laser Melting (SLM), which is a branch of Additive Manufacturing (AM). As the literature shows, tree-like fractals were used for support structures in AM [12], but there is no evidence of using this approach for internal structures for cavity infill. To study the mechanical properties of tree-like fractals for internal structures, one must first define the geometric properties, generate the CAD design, manufacture the sample parts, and then conduct laboratory tests. A computational model was developed in [13] to allow a detailed modelling approach for fractal generation and populating the cavities of CAD parts with fractals; the approach enables full control of all the geometric parameters of the tree-like fractal, assuming that the fractal geometry can be manufactured by SLM (e.g., the branch diameter is not smaller than 0.5 mm, and the overhang angles are smaller than 45°).
Furthermore, in previous work [14], the mechanical properties of tree-like fractals were investigated based on experimental tests for bending and compression. The test samples were modeled such that tree-like fractals were connecting two plates, i.e., the tree-like fractals were sandwiched between two thin plates. The authors modeled test samples with two fractal arrangements, defined as S and SJ, respectively. The test samples were manufactured using SLM and were tested using standard equipment for bending and compression. The correlation between the FEA simulations (achieved in ANSYS2019 R2 Academic) and the numerical experiments, for both fractal configurations S and SJ, led to intriguing results that suggested that the geometry of the tree-like fractals influences the Young’s modulus of the materials; this result is not novel, as studies show how lattices change mechanical behavior by varying modeling parameters [15,16].
It is fairly difficult to determine the mechanical properties of one tree-like fractal based on its geometric parameters and then to generalize the global behavior of multiple fractals used in a manufactured part. Despite ANSYS being incredibly accurate, the tree-like fractals are designed with very narrow struts (on the order of 0.5 mm), and any manufacturing perturbation (from the original CAD) may lead to significantly different outcomes in mechanical testing. In addition to accurately computing the mechanical properties of tree-like fractals, manual meshing may be required for ANSYS, which is a time-consuming process. However, the mechanical properties of multiple fractal structures spread on a given volume may be investigated by considering a simpler problem. The test samples with S and SJ fractal configurations (investigated in [14]) are viewed as a meta-material (where the structure affects mechanical properties independently of material properties) with three layers (two thin layers sandwiching the fractal structure, assumed to be a homogeneous layer). If the mechanical properties (e.g., Young’s modulus) of this (assumed) homogeneous layer depend on the fractal structures’ geometry, it should be possible to generate a numerical model that describes mechanical properties as a function of the geometric parameters of the fractals. Curve-fitting approaches using linear polynomial regression can be used to develop such numerical models [17,18].
If the hypothesis that the geometric parameters of the tree-like fractals and the mechanical properties have a causal effect is correct, a model that describes this connection can serve as a building block towards understanding the tree-like fractals’ mechanical behavior on SLM components.
As a pilot study, this work will focus on the flexure tests with the two fractal configurations S and SJ [14] and with various angle parameters for the fractal structures. The scope of this work is to derive a numerical model of strain-stress curves for flexure tests of SLM samples with predefined tree-like fractals; to simplify the model, only the angle between branches is varied [13], whereas the other geometric parameters are kept constant. The outcome of this research is to provide a foundation in understanding the tree-like fractals’ mechanical behavior for SLM components. The contributions with respect to the state of the art are:
  • Providing statistical numerical proof that the geometric parameters of the tree-like fractals have a causal effect on the mechanical properties of the test samples.
  • Deriving a numerical model that can predict the shape of the stress-strain curves in flexure tests, based on the geometric parameters of the tree-like fractal structures.
  • Comparing the novel tree-like fractal approach for internal structures with different lattices to determine possible engineering applications for tree-like fractals.
The paper is structured as follows: Section 2 presents a background in the state of the art; Section 3 shows the methodology of this study, starting from designing the test samples, manufacturing, testing, and generating the numerical model; Section 4 shows the results of this study; Section 5 provides a discussion; and Section 6 presents the conclusions of the work.

2. Background

2.1. Mechanical Properties

Determining the mechanical properties of internal structures is an essential step in designing mechanical components with these internal structures. Energy absorption and strength are the two main properties that are discussed extensively in scientific literature. The review paper [2] highlights the lattice’s effectiveness in applications that require impact resistance and crashworthiness (ability to protect against mechanical impacts). Other focused studies showed the energy absorption properties of internal structures designed with multilayer internal structures [8], honeycomb patterns [3], dodecahedron structures [7], bionic fractal hierarchical structures [4], and other bioinspired patterns [5,6]. Furthermore, sandwich materials also benefit from the internal structure infill to achieve various properties [19,20] that can lead to superior mechanical properties suitable for structural applications. It is worth noting that complex internal structures differ in principle from foam materials [21,22].
AM also facilitates the manufacturing of components with internal structures. A review of applications and properties for the lattice structures manufactured using various AM technologies is presented in [21]; the authors compared various lattice structures with foam structures, emphasizing the advantages of the lattice where the dynamic load is known. In [20], the authors investigated the mechanical properties of lattice structures manufactured with SLM.
Thermal conductivity is another property that was studied in scientific literature, where AM-manufactured lattice structures showed desired properties [9,10] for conducting heat and creating heat sinks. Moreover, a review paper [23] discussed the effect of AM on residual stress on components; the authors argue that there are three main causes that produce residual stress: the AM technique of layer deposition, the direction of layers, and the temperature gradient. This also suggests that FEA is fundamentally a hard problem in AM components, especially with complex internal structures.

2.2. Mechanical Properties Analysis

Sandwiched materials with internal structures can be viewed as metamaterials. These kinds of materials require different testing and modeling than the traditional stress intensity factors and testing protocols [15]. A key observation is that different parameters used in constructing the internal structures significantly affect the mechanical properties of the metamaterial [16]. In [24], this effect is demonstrated on the impact resistance versus different structures of honeycomb core sandwich panels. The out-of-plane bending behavior of kerf chiral fractal lattice metamaterials was studied in [25]; the results suggest that these metamaterials exhibit specific properties that can be controlled by adjusting the fractal scales. Failure analysis on components manufactured via SLM was also studied in [16,26].
Numerical models for stress-strain (σ-ε) curves can be achieved via curve fitting [17,18]. One of the simplest models is based on a polynomial curve fit of various degrees. However, if the polynomial curve fitting is employed, one must account for the existence of Runge’s phenomenon [27], which produces oscillating behavior when computing the residual graphs between the prediction model and the real data. In [28], the authors proposed a reconstruction method to accurately predict complex residual stress profiles, overcoming the limitations of the traditional polynomial methods and enhancing prediction accuracy with limited experimental data.
The mechanical properties of lattice structures based on structural and material parameters were studied in [29]; the authors achieved a model that simplifies the analysis of large-scale structures with numerous lattice cells, offering a practical approach for the design of such materials. Furthermore, in [30], the authors presented a model that predicts the anisotropic mechanical properties of lattice structures based on their density and internal architecture.
In another review paper [31], the authors not only emphasize the mechanical properties of lattice structures but also the importance of numerical simulations in analyzing these structures and suggest that future research should focus on enhancing simulation techniques, developing new materials, and establishing uniform standards to fully harness the potential of metal lattice structures in engineering applications.

2.3. Discussion on the Tree-like Fractals with Respect to the State of the Art

Despite that there is no literature on tree-like fractals on SLM-manufactured components (to the author’s best knowledge), the knowledge regarding lattice structures is useful, and it is not far-fetched to assume that tree-like fractals may exhibit similarities with lattice structures.
There is no available research in scientific literature that compares tree-like fractals to lattices for SLM (to the authors’ knowledge). One initial step is indeed to determine the relation of geometric parameters of fractal structures to the mechanical properties of such materials, and an even simpler question is to determine the relation of a single parameter to the mechanical properties of components designed with tree-like fractal structures. This study has the potential to place the use of such fractal structures in the context of material mechanics, which in turn can generate predictions for the applicability of these structures in engineering.

3. Methods

3.1. Tree-like Fractal Definition

In [13], the authors defined a tree-like fractal structure using only geometric concepts. Figure 1 shows a scheme of the proposed three-like fractals. The following parameters are defined (which allows the variation of tree-like fractal geometry):
  • The branch pair length l i ,     i = 1 , n ¯ where n is the level (depth) of the fractal structure;
  • The branch angle α i ,     i = 1 , n ¯ that a child branch forms with its parent branch;
  • The strut diameter d represents the diameter of a cylinder of height l i .
The same mathematical apparatus [13] is used in this work; the tree-like fractals in this work are defined such that all angles between adjacent branches are equal (further referred to as α), and the lengths of the branches are l 0 = 2.5   m m ,     l i = l i 1 · 0.8   [ m m ] and the diameter of the struts is d = 0.7   [ m m ] ; in addition, a cutoff plane (for fractal trimming [13]) is defined at a height of 9 [mm] from the tree-like fractal’s basis (root). These design constraints ensure that the test samples (detailed later in the section) have the same dimensions (ensuring experimental consistency) and are dependent only on the angle parameter α.

3.2. CAD Modelling for the Test Samples

Two configurations of tree-like fractals were defined, S and SJ, respectively, with different values of the angle parameter α. These configurations were used to design CAD models with α     { 25 ,   27 ,   30 ,   32 ,   35 ,   40 ,   45 }   [ ° ] . The samples designed for α = { 25 ,   27 ,   30 ,   35 ,   40 ,   45 }   [ ° ] are used to obtain data for the numerical regression (to derive the numerical model), whereas the samples designed for α = {32} [°] are for the validation of the regression model. Figure 2 shows the CAD models of both fractal configurations, S and SJ, using α     { 25 ,   35 }   [ ° ] . Note that the samples were designed using the computational model developed in [13].
Furthermore, to compare the tree-like fractals with classical lattice structures, three configurations are defined for classic lattice configurations, namely M, QD, and DC (Figure 3).
The main dimensions were the same for all test samples (Figure 2 and Figure 3); namely, the length of the samples was L = 100 [mm], the height was H = 10 [mm], and the depth was D = 8 [mm]. In both S and SJ configurations, three fractal rows exist with a distance between the rows of 2 [mm]; the distance between the first branch of two fractals is 5 [mm] in all cases. In addition, the fractal layers were bounded by two thin plates, l0 = 1 [mm] plus 0.5 [mm] at the interface between the fractals and the thin plates (to accurately manufacture the treelike structures); the total number of tree-like fractal structures was 57 for both the S and SJ configurations.

3.3. Manufacturing the Test Samples

The CAD models were manufactured using the SLM equipment RENISHAW-AM400 (Germany) using the material Tool Steel Powder 1.2709 from Böhler (Germany). Table 1 presents the printing parameters of the SLM equipment used specifically for manufacturing the test samples; Figure 4 shows the SLM equipment and the manufactured samples. Each test sample model was manufactured 3 times for consistency; however, only one batch of test samples is shown in Figure 4c,d.
There were no significant dimensional mismatches between the CAD models and the manufactured samples. All the measurements for the predefined lengths, L, H, D, and l0, were within a defined tolerance of ±0.05 [mm]. Qualitative tests, such as rugosity and structural tests, are out of scope for this work.

3.4. Bending Experiments

The experimental samples were tested with bending tests using specialized equipment (Instron 3366 from Technical University of Cluj-Napoca, Figure 5). For each sample, the experiments recorded data until a threshold of σ = 7000 [Mpa] or until a fracture occurred on the sample. Since there were 3 samples for each model, the data were grouped accordingly to allow further processing (the baseline data were defined as the mean data between the 3 tested samples of each configuration/angle). The sampling frequency of the testing equipment was set to 10 [Hz]. Figure 5 shows the testing equipment with the mounted sample and the tested samples, deformed, after the bending tests. The testing equipment uses data denoising filters to cut off frequencies higher than half of the sampling frequency (the cutoff frequency was 5 Hz).

3.5. Testing the Cause-Effect Relationship

To determine if the geometric parameters of the tree-like fractal structures affect the mechanical properties of components, a simpler hypothesis can be formulated.
Hypothesis 1. 
The stress-strain curve σ-ε for bending tests of samples with the S, SJ tree-like fractal configurations depends on the angle parameter α; the relationship between the σ-ε curve and α is causal.
To demonstrate the previous hypothesis, the stress is considered a function of both ε and α, σ = σ ( ε , α ) . An experimental setup is designed to record data starting from the moment of initial contact between the sample and the tool, defined as t = 0 . The recorded data can only be defined in a discrete domain. A data vector ε is defined, together with a discrete function f ε that is used to compute a data vector σ = [ f ε ( ε , α ) ] . Finally, the time vector t is defined with sampling time t i t i 1 = 0.1   [ s ] .
The causal relationship between the angle parameter α and the σ is considered true if both the following affirmations are true:
  • A correlation between α and σ exists, such that the shape of the σ-ε changes smoothly (not chaotically) with a change in α.
  • The trend produced by the correlation described at point 1 is reproduced for both S and SJ fractal configurations.

3.6. Defining the Numerical Model for the σ-ε Curve

In order to help the numerical regression in future steps, the following is considered.
Assumption 1. 
The first triplet of values  [ t , ϵ , σ ]  for time, stress, and strain, respectively, recorded at  t = 0  is  0 ,   0 ,   0 ; consequently, the value of  σ [ f ϵ ]  for  ε = 0  is  σ = 0 .
This allows for data normalization through ϵ = ϵ ε 0 (which subtracts the first value of the vector ϵ from all the elements of the vector ϵ ). Furthermore, the vector σ is normalized through σ = σ σ 0 . This normalization ensures that the data respects Assumption 1.
As previously stated, the set 25 ,   27 ,   30 ,   32 ,   35 ,   40 ,   45 α   [ ° ] was used to manufacture all the test samples for both S and SJ tree-like fractal configurations. Two subsets are defined, S M   : 25 ,   27 ,   30 ,   35 ,   40 ,   45 α   [ ° ] being the subset used to generate data to develop the numerical model, and S V   : 32 α   [ ° ] being the subset to generate data to validate the numerical model.
To determine a numerical model for predicting the σ-ε curves, the following regression models are defined:
  • A degree-9 polynomial model defined as
p o l y 9   σ = i = 1 10 p i · ε 10 i ,
where the coefficients p i ,   i = 1,10 ¯ are assumed to be functions of the branch angles α; therefore, p i = p i ( α ) .
2.
A degree-3 polynomial model defined as
p o l y 3   p i = c i , 1 · α 3 + c i , 2 · α 2 + c i , 3 · α + c i , 4 ,
where the value of the angle parameter is restricted to α 25 ,   45 [ ° ] .
In a nutshell, the regression model works in cascade: first, poly9 is used on the data sets S M   : 25 ,   27 ,   30 ,   35 ,   40 ,   45 α   [ ° ] to yield 6 sets of numerical values for p i ,     i = 1,10 ¯ , and second, for each of the 6 values of p i the values of c i , j ,     j = 1,4 ¯ are computed. Furthermore, the poly9 model will be centered and normalized by the mean and standard deviation of ε, and the final model will have the general form of:
M o d e l   σ = i = 1 10 ( c i , 1 · α 3 + c i , 2 · α 2 + c i , 3 · α + c i , 4 ) ε ε ¯ s t d ( ε ) 10 i ,
where ε ¯ and s t d ( ε ) are the mean value and the standard deviation of the data vector ε : [ D ] .
Figure 6 shows a flow chart of the numerical model used independently for the S and SJ samples. The following are defined: fit() is defined as a fit function using regression; conf_α_i represents the data on a sample i = 1,3 ¯ (three specimens per experiment) with a configuration S or SJ, with angle α; poly9_α represents the fit model defined for each S_α sample; S_α represents the generic sample, which can be an S or SJ configuration with the angle parameter α; p_i_α represents the p i coefficients (Equation (1)) of every sample; p_i are the coefficients computed using the regression model defined in Equation (2); model represents the final model defined in Equation (1).

4. Results

The section is divided into two main sub-sections. On the one hand, the results leading to the development of the numerical model for σ-ε curves are presented. On the other hand, the results regarding the lattice-manufactured samples during the flexure test are shown (for comparison purposes).

4.1. Results on the Numerical Model for σ-ε Curves Prediction

Figure 7 shows all the data recorded for all the test samples, highlighting the fracture instances as spikes in the curves. Since multiple fractures occurred at different ε values, a cut-off value for ε = 0.0112 (limiting the data to the first 600 sample points) was set to exclude any fracture since they have chaotic behavior, which cannot be modeled using the defined regression approach.
Figure 8 shows the fractal data after the first data processing was applied, namely, taking the mean values for all three samples that describe the same tree-like fractal configuration associated with an angle α. In addition, the data are trimmed to 600 sample points. As stated before, the data sets used in computing the regression model were { 25 ,   27 ,   30 ,   35 ,   40 ,   45 }   [ ° ] .
As seen in Figure 8, the change in the curve shape due to a change in the angle parameters appears smooth and ordered, which is the first clue that there is a causal relation between the values of α and the shape of σ-ε curves.
For each data set, S k ,   k { 25 ,   27 ,   30 ,   35 ,   40 ,   45 } a regression model was fitted using the fit() function within MATLAB 2024 using ‘poly9′ regression model (defined in Equation (1)) with the linear least squares algorithm, having the robust option set to ‘off’. Table 2 and Table 3 show the computed polynomial coefficients (of the S and SJ configurations, respectively) for the regression model, p i ,     i = 1,10 ¯ ; Table 4 and Table 5 show the statistical measures that interpret the goodness of the regression fit for every data set S k and S J k ,     k { 25 ,   27 ,   30 ,   35 ,   40 ,   45 } respectively. Note that the presented numerical values are rounded, and the actual values used in the regression model are used with 15 decimal places. All regression models were normalized with the following mean and standard deviation:
ε ¯ = 0.00561 ,   s t d ε = 0.00325 ,
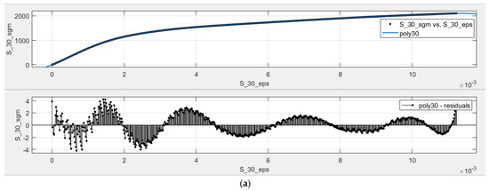
Figure 9 shows the fit and the residuals for S and SJ fractal configurations. Figure 9a shows the fit between the poly9 (labeled as poly30) model and the S30 data (labeled as S_30_sgm vs. S_30_eps), together with the residual graph between the predicted values and the measured data (labeled as poly30-residuals), and Figure 9b shows the fit and the residual graph (labeled as poly30-residuals) of the poly9 model (labeled as poly30) of the SJ configuration and the SJ30 data (labeled as SJ_30_sgm vs. SJ_30_eps). There are two observations:
  • The polynomial model does not fit the data perfectly; the residuals show oscillating behavior, which implies that there is still some mathematical model that was not considered in the poly9 regression model. However, this oscillation may be a case of Runge’s phenomenon [27]. In addition, the oscillating behavior is insignificant with respect to the mean of the σ values; this effect accounts for 0.27% for S30 and 0.26% for SJ30, computed using m a x ( r e z i d u a l ) / σ ¯ , and this effect was lower than 0.31% for all data sets.
  • There is a sawtooth behavior on the residual graphs, which is most likely due to the micro-fractures on the sample during the laboratory experiments, resulting from the complex structures of the tree-like fractals, and secondly, from the way in which parts are manufactured using SLM.
In the second stage of regression, the aim was to compute a fit model, poly3, between the polynomial coefficients p i , k ,     i = 1,10 ¯ ,     k { 25 ,   27 ,   30 ,   35 ,   40,45 }   [ ° ] . For each p i ,   i = 1,10 ¯ a regression model was fitted using the fit() function within MATLAB using ‘poly3′ regression model (defined in Equation (2)) with the linear least squares algorithm, having the robust option set to ‘off’. Table 6 shows the computed secondary coefficients c j ,     j = 1,4 ¯   for the S tree-like fractal configuration, whereas Table 7 shows the secondary coefficients for the SJ configuration.
The values of c j ,     j = 1,4 ¯ were used in the model shown in Equation (3) to create the final two models for the S and SJ configurations. It is expected that the computed model will not be as accurate as each regression model shown in Table 4 and Table 5. For each dataset S k , S J k ,     k { 25 ,   27 ,   30 ,   32 ,   35 ,   40 ,   45 } the fit quality was analyzed. Table 8 shows the statistical measures for the S configurations, and Table 9 shows the data for the SJ configurations. Note that the model predicts the validation data, namely the S32 and SJ32 data, respectively (grey highlight in Table 8 and Table 9). The normalized error (Norm Error) was computed using
σ M o d e l σ σ ¯ ,
where     is the Euclidean norm, σ is the data vector (Y-axis) recorded from the experiments, Model is the data computed with the prediction model, and σ ¯ is the mean of the recorded experimental data.
As seen in Figure 10 the prediction model is underestimating the real data for all cases. In addition, the maximum error between the prediction model and the recorded data were 5.46%.
Figure 10 also shows two main behaviors of the σ-ε curves:
  • The angle parameter α indeed influences the shape of the σ-ε curves, and the behavior is consistent, gradual, and smooth; the influence of the angle parameter α is more pronounced for the S configuration (Figure 10a).
  • The tree-like fractal configuration influences the shape of the σ-ε curves; for the SJ configurations, the angle parameter α was not as pronounced (as for the S configuration) for the angle values {25, 27, 30, 32, 35, 40, 45} [°], i.e., the change in the aforementioned values was small. However, for the 45 [°] angle value, the change in the curve was abrupt.
The last step was to check the natural errors of each S and SJ specimen (three were manufactured for each S and SJ configuration associated with an angle α) to determine if the model is bounded between the natural variation of each set of experimental trials. Table 10 shows the errors calculated with respect to the mean values for each S fractal configuration associated with every angle α. Table 11 shows the errors for the SJ fractal configuration specimens. An orange highlight indicates the worst error results when compared with the numerical model prediction with respect to the mean. It can be noted that for the samples S40, SJ35, and SJ45 the errors for the prediction models with respect to the mean are worse than the natural error variation (with respect to the mean) of the three tested specimens. For all the other cases, the prediction model errors are lower than the natural errors.

4.2. Comparison of Lattice Structures and Tree-like Fractals Based on Flexure Tests

Figure 11 shows results for the samples manufactured with the defined lattice structures (M, QD, DC). All the lattice structures were manufactured in three specimens, and the data shown in Figure 11 is computed from the mean values of the specimens across σ and ε again up to a value of ε = 0.0056. It is easy to see that the lattices performed better when analyzing the component strength. However, an analysis under the optical microscope revealed an interesting behavior: the tree-like fractal samples deform in such a way that the thin layers that sandwich the fractal structures remain parallel to each other (Figure 12) up to a tolerance of a maximum of 0.9 [mm], showing a global deformation. However, the lattice samples (Figure 13) did not show the same deformation behavior, and the deformation of the thin layer appears local. Based on this result, a coefficient of flexure to compression can be calculated as
C f l c = d i s p l a c e m e n t   o f   t h e   t h i n   p l a t e s   d i s t a n c e   b e t w e e n   t h e   t h i n   p l a t e s ,
and the results of this coefficient for each sample are shown in Table 12 for the S configuration samples (assuming the mean values of three tested specimens) and in Table 13 for the SJ configuration samples.

5. Discussion

5.1. Analysis on the Influence of Geometric Parameters on the Mechanical Properties of Tree-like Fractals

Figure 8 illustrates the shape of σ-ε curves based on the value of the angle parameter α. As seen in both cases, for the S fractal configuration and SJ fractal configuration, the trend remains the same, namely, an increase in the angle parameter α produces an increase in the σ to ε ratio, i.e., the apparent amplitude of the σ-ε curves increases with the increase in α. In addition, the change in the σ-ε curve shapes seems smooth for both fractal configurations S and SJ.
Based on the reported results, the following factual observations—(a) the change in the σ-ε curve shape is smooth in both fractal configurations (S and SJ); (b) the trend is the same in the σ-ε curve shape independent of the tree-like fractal configurations; and (c) the prediction models are smooth and yield errors that are bounded by the natural variance of each experiment—suggest strong evidence that the angle parameters α causally affect the shape of the σ-ε curves for the test samples designed with S and SJ fractal configurations. By extrapolation, we can infer that at least one geometric parameter (the angle parameter α) influences the mechanical behavior of the tree-like fractals.

5.2. Discussion on the Numerical Model for σ-ε Curve Prediction

Figure 9 shows oscillating behavior when analyzing the residuals between the poly9 model and the experimental data. On the one hand, this oscillating behavior suggests that there are additional considerations that were not accounted for in the poly9 model. On the other hand, these oscillations may be due to Runge’s phenomenon [27], and the oscillations are insignificant with respect to the mean of the σ values. The highest absolute values on the residuals (y-axis) with respect to the mean of σ were lower than 0.31% for all data sets.
Despite having a normalized error between 2.5% and 5.7% (depending on S or SJ configuration and angle parameter α), the initial statistical tests show that these errors are within the natural variation of the experimental trials. This suggests that the numerical models accurately describe the σ-ε curves based on angle values α [ 25 ,   45 ] [ ° ] for flexure experiments of samples designed with S and SJ fractal configurations. Note, if different fractal configurations are designed, the numerical models can be computed with the proposed methodology.
One intriguing result is that in all cases, the numerical model underestimates the mean value of σ-ε curves derived from experimental data. This effect can be corrected by multiplying the entire model with a factor (which may require numerical computation as it is most likely a function of α as well); however, since the numerical model yields good statistical results, such a factor may be irrelevant in practical applications.
It is worth pointing out that degree-9 polynomials were chosen simply because (for this study) they showed a good compromise between the complexity of the model (number of required coefficients) and the model error. Lower-degree polynomial models showed a rapid increase in error (with decreasing the degree), whereas higher-degree polynomials showed no significant improvement in the error while increasing in complexity.

5.3. Discussion on the Possible Applications of Tree-like Fractals

By comparing Figure 11 with Figure 8, it is obvious that lattices outperform the tree-like fractals when it comes to material strength by a ratio of about 3 to 1. However, this could be attributed to multiple design parameters; one possible explanation is that the tree-like configurations were designed to be planar in three layers, whereas the lattices were 3D (lattice structures were connected with all the neighboring structures).
Figure 12 shows a very interesting behavior where the tree-like fractal samples were deformed uniformly, and despite the action of the press being local, the deformation of the fractal configurations, both S and SJ, appears global. This is evidence of good impact absorption properties, but at this point, this property is just conjecture. Further (impact analysis) laboratory tests are required to evaluate the degree to which this property holds at high momentum impact. In addition, the flexure-to-compression coefficient should be investigated further as a continuous relation, since in the presented experiments, only two instances were measured (before and after the flexure tests).
In a nutshell, the results suggest that tree-like fractals (in the S and SJ configurations) underperform classic lattice structures in material strength but outperform them in impact absorption and controlled (predictable) deformability. Possible applications for tree-like fractals are materials designed to ensure safety (helmets, crush shields).

6. Conclusions

This research explored the mechanical behavior of tree-like fractals in Selective Laser Melting (SLM) manufactured components, focusing on flexure tests of two distinct fractal configurations (S and SJ). A numerical regression model was developed to predict the influence of the branching angle on stress-strain curves, demonstrating that geometric parameters play a crucial role in determining mechanical properties.
The results highlighted a causal relationship between the angle parameter α and the shape of the stress-strain curves, as the changes in α (branching angle) produced smooth and consistent variations in mechanical response. The proposed polynomial regression model achieved high accuracy, with errors generally within the natural experimental variance, validating its effectiveness in predicting mechanical behavior.
When compared to conventional lattice structures, the new tree-like fractals showed better deformability and impact absorption potential, even if the mechanical strength is lower than lattice structures. This suggests promising applications in safety-focused engineering designs, such as protective gear and energy-absorbing materials. Further studies, including impact resistance tests, are recommended to fully evaluate the practical advantages of these fractal structures.
By establishing a foundation for numerical modeling of tree-like fractals, this research paves the way for future advancements in lightweight, high-performance internal structures for additively manufactured components.

Author Contributions

Conceptualization, N.B.; Data curation, C.V.; Formal analysis, C.V.; Funding acquisition, N.B.; Investigation, A.S.B.; Methodology, A.S.B.; Supervision, N.B.; Writing—original draft, A.S.B.; Writing—review and editing, A.S.B. and N.B. All authors have read and agreed to the published version of the manuscript.

Funding

This work was supported by the European Development Fund and the Romanian Government through the Competitiveness Operational Programme 2014–2020, project ID P 34 466, MySMIS code 121349, contract no. 5/05.06.2018.

Institutional Review Board Statement

Not applicable.

Informed Consent Statement

Not applicable.

Data Availability Statement

The original contributions presented in this study are included in the article. Further inquiries can be directed to the corresponding author.

Acknowledgments

The authors are grateful to the Gühring Company for the technical and logistical support.

Conflicts of Interest

The authors declare no conflicts of interest.

References

  1. Pan, C.; Han, Y.; Lu, J. Design and Optimization of Lattice Structures: A Review. Appl. Sci. 2020, 10, 6374. [Google Scholar] [CrossRef]
  2. Yin, H.; Zhang, W.; Zhu, L.; Meng, F.; Liu, J.; Wen, G. Review on lattice structures for energy absorption properties. Compos. Struct. 2023, 304, 116397. [Google Scholar] [CrossRef]
  3. Zhang, W.; Yin, S.; Yu, T.X.; Xu, J. Crushing resistance and energy absorption of pomelo peel inspired hierarchical honeycomb. Int. J. Impact Eng. 2019, 125, 163–172. [Google Scholar] [CrossRef]
  4. Zhang, Y.; Wang, J.; Wang, C.; Zeng, Y.; Chen, T. Crashworthiness of bionic fractal hierarchical structures. Mater. Des. 2018, 158, 147–159. [Google Scholar] [CrossRef]
  5. Zhang, X.; Jiang, L.; Yan, X.; Wang, Z.; Li, X.; Fang, G. Regulated multi-scale mechanical performance of functionally graded lattice materials based on multiple bioinspired patterns. Mater. Des. 2023, 226, 111564. [Google Scholar] [CrossRef]
  6. Jing, S.; Li, W.; Ma, G.; Cao, X.; Zhang, L.; Fang, L.; Meng, J.; Shao, Y.; Shen, B.; Zhang, C.; et al. Enhancing Mechanical Properties of 3D Printing Metallic Lattice Structure Inspired by Bambusa Emeiensis. Materials 2023, 16, 2545. [Google Scholar] [CrossRef]
  7. Cao, X.; Xiao, D.; Li, Y.; Wen, W.; Zhao, T.; Chen, Z.; Jiang, Y.; Fang, D. Dynamic compressive behavior of a modified additively manufactured rhombic dodecahedron 316L stainless steel lattice structure. Thin-Walled Struct. 2020, 148, 106586. [Google Scholar] [CrossRef]
  8. Chang, B.; Zheng, Z.; Zhang, Y.; Zhao, K.; He, S.; Yu, J. Crashworthiness design of graded cellular materials: An asymptotic solution considering loading rate sensitivity. Int. J. Impact Eng. 2020, 143, 103611. [Google Scholar] [CrossRef]
  9. Yu, G.-C.; Feng, L.-J.; Wu, L.-Z. Thermal and mechanical properties of a multifunctional composite square honeycomb sandwich structure. Mater. Des. 2016, 102, 238–246. [Google Scholar] [CrossRef]
  10. Yu, G.-C.; Wu, L.-Z.; Feng, L.-J.; Yang, W. Thermal and mechanical properties of carbon fiber polymer-matrix composites with a 3D thermal conductive pathway. Compos. Struct. 2016, 149, 213–219. [Google Scholar] [CrossRef]
  11. Peta, K.; Stemp, W.J.; Chen, R.; Love, G.; Brown, C.A. Multiscale characterizations of topographic measurements on lithic materials and microwear using a GelSight Max: Investigating potential archaeological applications. J. Archaeol. Sci. Rep. 2024, 57, 104637. [Google Scholar] [CrossRef]
  12. Lantada, A.D.; Romero, A.B.; Isasi, A.S.; Bellido, D.G. Design and Performance Assessment of Innovative Eco-Efficient Support Structures for Additive Manufacturing by Photopolymerization. J. Ind. Ecol. 2017, 21 (Suppl. S1), S179–S190. [Google Scholar] [CrossRef]
  13. Stanciu Birlescu, A.; Balc, N. Computational Model for Tree-like Fractals Used as Internal Structures for Additive Manufacturing Parts. Appl. Sci. 2023, 13, 11187. [Google Scholar] [CrossRef]
  14. Stanciu-Birlescu, A.; Vilau, C.; Voina, I.; Noesner, C.; Balc, N. Mechanical Properties Evaluation of the Samples Made By SLM, With Tree-Like Fractals Internal Structure. Acta Tech. Napoc. 2024, 67, 59–68. [Google Scholar]
  15. Shaikeea, A.J.D.; Cui, H.; O’Masta, M.; Zheng, X.R.; Deshpande, V.S. The toughness of mechanical metamaterials. Nat. Mater. 2022, 21, 297–304. [Google Scholar] [CrossRef]
  16. Hu, K.; Lin, K.; Gu, D.; Yang, J.; Wang, H.; Yuan, L. Mechanical properties and deformation behavior under compressive loading of selective laser melting processed bio-inspired sandwich structures. Mater. Sci. Eng. A 2019, 762, 138089. [Google Scholar] [CrossRef]
  17. Beji, H.; Kanit, T.; Messager, T.; Ben-Ltaief, N.; Ammar, A. Mathematical Models for Predicting the Elastic and Thermal Behavior of Heterogeneous Materials through Curve Fitting. Appl. Sci. 2023, 13, 13206. [Google Scholar] [CrossRef]
  18. Leader, J.J. Numerical Analysis and Scientific Computation, 2nd ed.; Chapman and Hall/CRC: Boca Raton, FL, USA, 2022. [Google Scholar] [CrossRef]
  19. Yu, X.; Zhang, Q.; Kontopoulou, A.; Allegri, G.; Schenk, M.; Scarpa, F. In-plane elasticity of beetle elytra inspired sandwich cores. Compos. Struct. 2022, 300, 116155. [Google Scholar] [CrossRef]
  20. Wei, K.; Yang, Q.; Yang, X.; Tao, Y.; Xie, H.; Qu, Z.; Fang, D. Mechanical analysis and modeling of metallic lattice sandwich additively fabricated by selective laser melting. Thin-Walled Struct. 2020, 146, 106189. [Google Scholar] [CrossRef]
  21. Xiao, Z.; Fang, J.; Sun, G.; Li, Q. Crashworthiness design for functionally graded foam-filled bumper beam. Adv. Eng. Softw. 2015, 85, 81–95. [Google Scholar] [CrossRef]
  22. du Plessis, A.; Razavi, N.; Benedetti, M.; Murchio, S.; Leary, M.; Watson, M.; Bhate, D.; Berto, F. Properties and applications of additively manufactured metallic cellular materials: A review. Prog. Mater. Sci. 2022, 125, 100918. [Google Scholar] [CrossRef]
  23. Xie, D.; Lv, F.; Yang, Y.; Shen, L.; Tian, Z.; Shuai, C.; Chen, B.; Zhao, J. A Review on Distortion and Residual Stress in Additive Manufacturing. Chin. J. Mech. Eng. Addit. Manuf. Front. 2022, 1, 100039. [Google Scholar] [CrossRef]
  24. He, W.; Lu, S.; Yi, K.; Wang, S.; Sun, G.; Hu, Z. Residual flexural properties of CFRP sandwich structures with aluminum honeycomb cores after low-velocity impact. Int. J. Mech. Sci. 2019, 161–162, 105026. [Google Scholar] [CrossRef]
  25. Zhang, W.; Neville, R.; Zhang, D.; Yuan, J.; Scarpa, F.; Lakes, R. Bending of kerf chiral fractal lattice metamaterials. Compos. Struct. 2023, 318, 117068. [Google Scholar] [CrossRef]
  26. Meng, L.; Lan, X.; Zhao, J.; Li, H.; Wang, Z.; Gao, L. Failure analysis of bio-inspired corrugated sandwich structures fabricated by laser powder bed fusion under three-point bending. Compos. Struct. 2021, 263, 113724. [Google Scholar] [CrossRef]
  27. Haiderali, A.E.; Madabhushi, G. Evaluation of Curve Fitting Techniques in Deriving p–y Curves for Laterally Loaded Piles. Geotech. Geol. Eng. 2016, 34, 1453–1473. [Google Scholar] [CrossRef]
  28. Huang, J.; Guo, K.; Liu, X.; Zhang, Z. Residual stress prediction across dimensions using improved radial basis function based eigenstrain reconstruction. Mech. Mater. 2023, 185, 104779. [Google Scholar] [CrossRef]
  29. Xia, H.; Meng, J.; Liu, J.; Ao, X.; Lin, S.; Yang, Y. Evaluation of the Equivalent Mechanical Properties of Lattice Structures Based on the Finite Element Method. Materials 2022, 15, 2993. [Google Scholar] [CrossRef]
  30. Munford, M.; Hossain, U.; Ghouse, S.; Jeffers, J.R.T. Prediction of anisotropic mechanical properties for lattice structures. Addit. Manuf. 2020, 32, 101041. [Google Scholar] [CrossRef]
  31. Miao, X.; Hu, J.; Xu, Y.; Su, J.; Jing, Y. Review on mechanical properties of metal lattice structures. Compos. Struct. 2024, 342, 118267. [Google Scholar] [CrossRef]
Figure 1. Representation of tree-like fractals and their geometric parameters.
Figure 1. Representation of tree-like fractals and their geometric parameters.
Materials 18 02215 g001
Figure 2. CAD models of samples with S and SJ tree-like fractal configurations: (a) α = 25°; (b) α = 35°.
Figure 2. CAD models of samples with S and SJ tree-like fractal configurations: (a) α = 25°; (b) α = 35°.
Materials 18 02215 g002
Figure 3. CAD models of samples with lattice structures: (a) M; (b) QD; (c) DC.
Figure 3. CAD models of samples with lattice structures: (a) M; (b) QD; (c) DC.
Materials 18 02215 g003
Figure 4. SLM manufactured samples: (a) the SLM equipment RENISHAW-AM400; (b) the manufactured test samples on the worktable; (c) the S configuration samples ordered ascending for α parameter (from left to right); (d) the SJ configuration samples ordered ascending for α parameter (from left to right).
Figure 4. SLM manufactured samples: (a) the SLM equipment RENISHAW-AM400; (b) the manufactured test samples on the worktable; (c) the S configuration samples ordered ascending for α parameter (from left to right); (d) the SJ configuration samples ordered ascending for α parameter (from left to right).
Materials 18 02215 g004
Figure 5. Experimental equipment and results for flexure tests: (a) experimental press Instron 3366; (b) S configuration samples after flexure tests; (c) SJ configuration samples after flexure tests.
Figure 5. Experimental equipment and results for flexure tests: (a) experimental press Instron 3366; (b) S configuration samples after flexure tests; (c) SJ configuration samples after flexure tests.
Materials 18 02215 g005
Figure 6. Flow chart representation for the numerical model.
Figure 6. Flow chart representation for the numerical model.
Materials 18 02215 g006
Figure 7. Raw data recorded for the flexure tests: (a) all S samples; (b) all SJ samples.
Figure 7. Raw data recorded for the flexure tests: (a) all S samples; (b) all SJ samples.
Materials 18 02215 g007
Figure 8. Processed data for the flexure tests: (a) all S samples; (b) all SJ samples; (c) zoom on SJ data.
Figure 8. Processed data for the flexure tests: (a) all S samples; (b) all SJ samples; (c) zoom on SJ data.
Materials 18 02215 g008
Figure 9. Fit curve and residual plots for α = 30 [°]: (a) S configuration; (b) SJ configuration.
Figure 9. Fit curve and residual plots for α = 30 [°]: (a) S configuration; (b) SJ configuration.
Materials 18 02215 g009aMaterials 18 02215 g009b
Figure 10. Comparison of the computed model and real data: (a) S configurations; (b) SJ configurations; (c) zoom on the SJ configurations.
Figure 10. Comparison of the computed model and real data: (a) S configurations; (b) SJ configurations; (c) zoom on the SJ configurations.
Materials 18 02215 g010
Figure 11. The lattice samples σ-ε curves on flexure tests.
Figure 11. The lattice samples σ-ε curves on flexure tests.
Materials 18 02215 g011
Figure 12. Optical microscope measures for the tree-like fractal structures: (a) S30; (b) SJ30.
Figure 12. Optical microscope measures for the tree-like fractal structures: (a) S30; (b) SJ30.
Materials 18 02215 g012
Figure 13. Optical microscope measures for the lattice structures: (a) M; (b) QD; (c) DC.
Figure 13. Optical microscope measures for the lattice structures: (a) M; (b) QD; (c) DC.
Materials 18 02215 g013
Table 1. SLM printing parameters.
Table 1. SLM printing parameters.
PowerPoint
Distance
FocusExposure TimeScan
Strategy
Layer
Thickness
200 [W]0.65 [µm]5 [mm]80 [µs]11 Fill Hatch0.04 [mm]
Table 2. Polynomial coefficients for the S configurations.
Table 2. Polynomial coefficients for the S configurations.
S25S27S30S35S40S45
p1−8.766−9.251−7.849−8.741−13.58−14.68
p213.1512.6111.0113.8419.6619.75
p342.2443.9737.3238.8469.8775.28
p4−69.78−61.13−52.82−69.56−105.5−106.9
p5−35.21−39.62−28.14−10.68−72.31−75.47
p659.3829.554.11524.7388.8591.93
p753.7969.6468.9422.560.8352.92
p8−113.3−94.34−52.66−44.41−83.64−108
p9260.6268.3284.5340396.5477.4
p10154316091700178419352155
Table 3. Polynomial coefficients for the SJ configurations.
Table 3. Polynomial coefficients for the SJ configurations.
SJ25SJ27SJ30SJ35SJ40SJ45
p1−8.52−8.937−9.207−10.91−9.392−14.49
p215.5814.7514.3114.4812.418.32
p340.4343.7441.9755.8447.3375.18
p4−85.5−81.32−71.96−80−66.35−102.8
p5−29.87−36.29−25.24−53.98−39.73−72.83
p693.4784.1246.4168.5935.2986.04
p749.1950.5742.5358.0453.1666
p8−154.7−139.7−100.3−106.2−69.19−98.2
p9287.6293.7297.5284.4292.8382.6
p10165116551672170617232149
Table 4. Statistical measures illustrating the goodness of the regression fit (with respect to the means) for the S configurations.
Table 4. Statistical measures illustrating the goodness of the regression fit (with respect to the means) for the S configurations.
Data SetS25S27S30S35S40S45
R-square0.99911111
RMSE1.5331.9541.5481.0211.6141.842
Table 5. Statistical measures illustrating the goodness of the regression fit (with respect to the means) for the SJ configurations.
Table 5. Statistical measures illustrating the goodness of the regression fit (with respect to the means) for the SJ configurations.
Data SetSJ25SJ27SJ30SJ35SJ40SJ45
R-square111111
RMSE1.5031.4851.7722.3041.7122.143
Table 6. Polynomial coefficients c j ,     j = 1,4 ¯ for every p i ,     i = 1,10 ¯ of the S configurations.
Table 6. Polynomial coefficients c j ,     j = 1,4 ¯ for every p i ,     i = 1,10 ¯ of the S configurations.
c1c2c3c4
p10.00369−0.41114.51−172.6
p2−0.007140.771−26.68310
p30.09617−9.545335.7−2386
p40.04549−4.936171.9−1995
p50.03205−3.65132.5−1570
p60.09617−9.545335.7−2386
p70.01023−0.963528.79−219.7
p80.04483−5.329204.1−2585
p9−0.004810.8331−29.32547.3
p100.09617−9.545335.7−2386
Table 7. Polynomial coefficients c j ,     j = 1,4 ¯ for every p i ,     i = 1,10 ¯ of the SJ configurations.
Table 7. Polynomial coefficients c j ,     j = 1,4 ¯ for every p i ,     i = 1,10 ¯ of the SJ configurations.
c1c2c3c4
p1−0.003730.3757−12.52128.1
p20.00438−0.425213.37−121.5
p30.01601−1.59552.92−537.5
p4−0.019011.773−53.17434.7
p5−0.0093190.8857−28.97288.7
p60.009873−0.63636.898160.7
p7−0.0029650.3645−13.48203.6
p8−0.0038350.0487313.89−469.5
p90.0697−6.801217.7−1994
p100.2635−25.41808.5−6807
Table 8. Statistical measures illustrating the goodness of the regression fit for the S configurations.
Table 8. Statistical measures illustrating the goodness of the regression fit for the S configurations.
Data SetS25S27S30S32S35S40S45
R-square0.99850.99890.99780.99940.99840.99760.9980
RMSE17.698216.052123.992013.152721.665829.045330.3138
Norm Error0.03910.03350.04730.02520.04020.04860.0447
Table 9. Statistical measures illustrating the goodness of the regression fit for the SJ configurations.
Table 9. Statistical measures illustrating the goodness of the regression fit for the SJ configurations.
Data SetSJ25SJ27SJ30SJ32SJ35SJ40SJ45
R-square0.99830.99930.99910.99700.99670.99910.9978
RMSE20.107112.60314.579828.530828.272015.02429.6388
Norm Error0.04160.02590.02930.05460.05760.03010.0470
Table 10. Statistical measures illustrating the errors of each for the S configurations when compared to the means.
Table 10. Statistical measures illustrating the errors of each for the S configurations when compared to the means.
Data SetS25S27S30S32S35S40S45
R-square0.99970.99620.99540.99230.99980.99910.9980
0.99570.99840.99980.99670.99980.99980.9990
0.99370.99860.99640.99890.99230.99870.9988
RMSE7.492829.940434.946546.09277.568918.304230.6079
30.214018.59917.128730.05167.61818.298321.4797
35.693618.201430.014917.113525.536821.475822.5868
Norm Error0.01670.06140.06760.08790.01390.03000.0451
0.06590.03980.01420.05730.01430.01400.0310
0.07940.03780.05980.03310.05030.03650.0340
Table 11. Statistical measures illustrating the errors of each for the SJ configurations when compared to the means.
Table 11. Statistical measures illustrating the errors of each for the SJ configurations when compared to the means.
Data SetSJ25SJ27SJ30SJ32SJ35SJ40SJ45
R-square0.99990.99920.99920.99230.99950.99990.9999
0.99740.99960.99730.99670.99950.99810.9996
0.99760.99990.99540.99890.99750.99800.9997
RMSE5.561013.886813.989546.092711.32633.58697.4605
24.90299.492125.730230.051611.236121.523412.1940
23.46725.416734.730817.113524.467522.737110.6817
Norm Error0.01160.02830.02880.08790.02320.00720.0119
0.05070.01970.05170.05730.02280.04390.0193
0.04880.01110.06810.03310.05010.04470.0169
Table 12. Cfl-c for the S configurations.
Table 12. Cfl-c for the S configurations.
SampleS25S27S30S32S35S40S45
Cfl-c1.61.31.21.21.00.60.6
Table 13. Cfl-c for the SJ configurations.
Table 13. Cfl-c for the SJ configurations.
SampleSJ25SJ27SJ30SJ32SJ35SJ40SJ45
Cfl-c 1.11.21.21.21.10.90.6
Disclaimer/Publisher’s Note: The statements, opinions and data contained in all publications are solely those of the individual author(s) and contributor(s) and not of MDPI and/or the editor(s). MDPI and/or the editor(s) disclaim responsibility for any injury to people or property resulting from any ideas, methods, instructions or products referred to in the content.

Share and Cite

MDPI and ACS Style

Stanciu Birlescu, A.; Vilau, C.; Balc, N. Analysis of the Mechanical Behavior of Tree-like Fractal Structures in SLM-Manufactured Components. Materials 2025, 18, 2215. https://doi.org/10.3390/ma18102215

AMA Style

Stanciu Birlescu A, Vilau C, Balc N. Analysis of the Mechanical Behavior of Tree-like Fractal Structures in SLM-Manufactured Components. Materials. 2025; 18(10):2215. https://doi.org/10.3390/ma18102215

Chicago/Turabian Style

Stanciu Birlescu, Anca, Cristian Vilau, and Nicolae Balc. 2025. "Analysis of the Mechanical Behavior of Tree-like Fractal Structures in SLM-Manufactured Components" Materials 18, no. 10: 2215. https://doi.org/10.3390/ma18102215

APA Style

Stanciu Birlescu, A., Vilau, C., & Balc, N. (2025). Analysis of the Mechanical Behavior of Tree-like Fractal Structures in SLM-Manufactured Components. Materials, 18(10), 2215. https://doi.org/10.3390/ma18102215

Note that from the first issue of 2016, this journal uses article numbers instead of page numbers. See further details here.

Article Metrics

Back to TopTop