Controlling the Size of Hydrotalcite Particles and Its Impact on the Thermal Insulation Capabilities of Coatings
Abstract
1. Introduction
2. Experimental
2.1. Materials
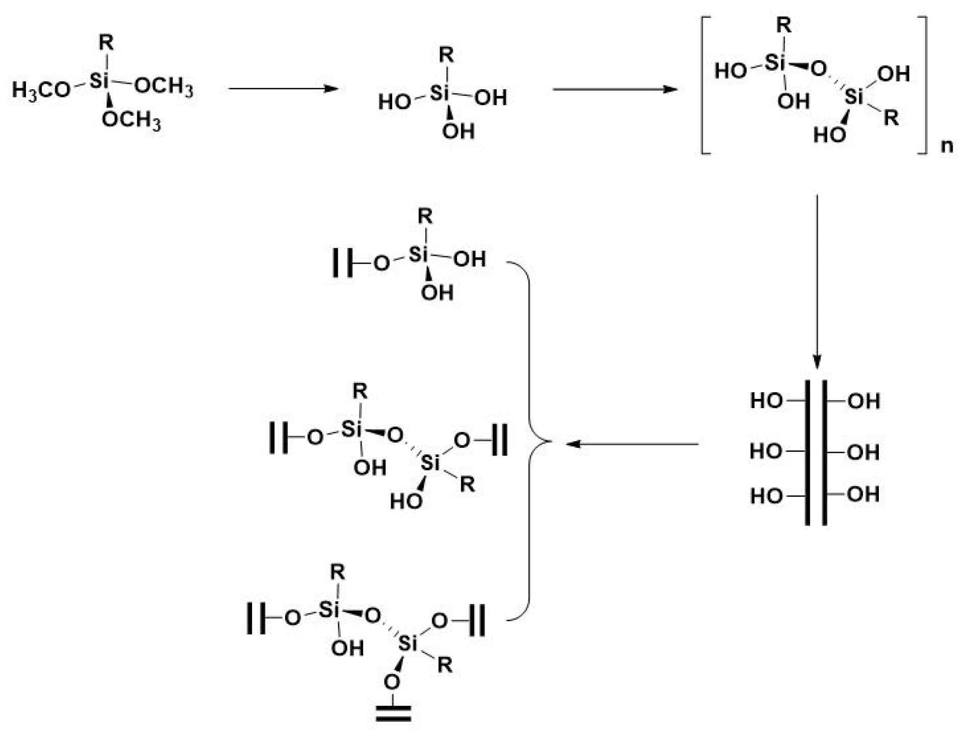
2.2. Preparation of MTS-Modified LDHs via One-Step In Situ Hydrothermal Method
2.3. Preparation of Thermal Insulating Coating Samples
2.4. Preparation of Thermal Insulating Coating Films
2.5. Characterizations
2.6. Thermal Insulation Performance Evaluation
3. Results and Discussion
3.1. Structure Characterizations
3.2. Thermal Insulation Properties and UV-NIR Reflectance
3.2.1. Thermal Insulation Properties
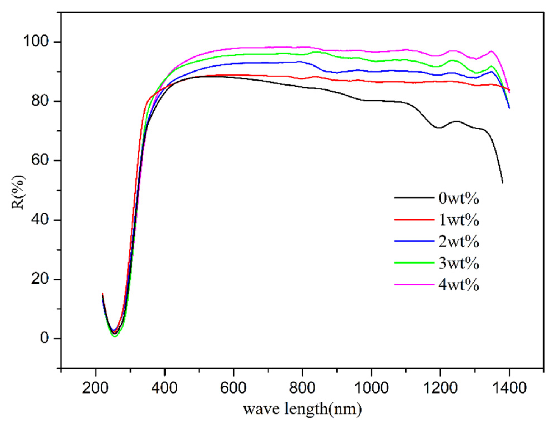
3.2.2. UV-NIR Reflectance
4. Conclusions
Author Contributions
Funding
Institutional Review Board Statement
Informed Consent Statement
Data Availability Statement
Conflicts of Interest
References
- Aditya, L.; Mahlia, T.; Rismanchi, B.; Ng, H.M.; Hasan, M.H.; Metselaar, H. A review on insulation materials for energy conservation in buildings. Renew. Sustain. Energy Rev. 2017, 73, 1352–1365. [Google Scholar] [CrossRef]
- Caggiano, A. Energy in Construction and Building Materials. Materials 2023, 16, 504. [Google Scholar] [CrossRef] [PubMed]
- Usta, P.; Zengin, B. The Energy Impact of Building Materials in Residential Buildings in Turkey. Materials 2021, 14, 2793. [Google Scholar] [CrossRef] [PubMed]
- Sharma, S.K.; Mohapatra, S.; Sharma, R.C.; Alturjman, S.; Altrjman, C.; Mostarda LStephan, T. Retrofitting Existing Buildings to Improve Energy Performance. Sustainability 2022, 14, 666. [Google Scholar] [CrossRef]
- Far, C.; Far, H. Improving energy efficiency of existing residential buildings using effective thermal retrofit of building envelope. Indoor Built Environ. 2019, 28, 744–760. [Google Scholar] [CrossRef]
- Lee, J.; Mahendra, S.; Alvarez, P.J. Nanomaterials in the Construction Industry: A Review of Their Applications and Environmental Health and Safety Considerations. ACS Nano 2010, 4, 3580–3590. [Google Scholar] [CrossRef] [PubMed]
- Di, Z.; Ma, S.; Wang, H.; Guan, Z.; Lian, B.; Qiu, Y.; Jiang, Y. Modulation of Thermal Insulation and Mechanical Property of Silica Aerogel Thermal Insulation Coatings. Coatings 2022, 12, 1421. [Google Scholar] [CrossRef]
- Gu, J.; Fu, R.; Kang, S. Robust composite aerogel beads with pomegranate-like structure for water-based thermal insulation coating. Constr. Build. Mater. 2022, 25, 341–346. [Google Scholar] [CrossRef]
- Zhang, D.; Li, H.; Qian, H. Double layer water-borne heat insulation coatings containing hollow glass microspheres (HGMs). Pigment Resin Technol. 2016, 45, 346–353. [Google Scholar] [CrossRef]
- Hong, T.; Chen, Y.; Luo, X. Ten questions on urban building energy modeling. Build. Environ. 2019, 168, 1287. [Google Scholar] [CrossRef]
- Lee, S.W.; Lim, C.H.; Salleh, E.B. Reflective thermal insulation systems in building: A review on radiant barrier and reflective insulation. Renew. Sustain. Energy Rev. 2016, 65, 643–661. [Google Scholar] [CrossRef]
- Sun, G.; Yang, L.; Liu Wenjie Du, T.; Ru, Q. Facile synthesis and characterization of 2D kaolin/CoAl2O4: A novel inorganic pigment with high near-infrared reflectance for thermal insulation. Appl. Clay Sci. 2018, 153, 239–245. [Google Scholar]
- Lee, H.J.; Kim, D.S.; Lee, S.H. Preparation of Fe2O3 Coated on Mica for Infrared Reflectance Red Pigment and Thermal Property of Its Isolation-Heat Paint. Korean J. Mater. Res. 2015, 25, 61–67. [Google Scholar]
- Zheng, Q.; Xiong, S.; Wu, X.; Kuang, J.; Liu, W.; Cao, W. Near Infrared Reflection and Hydrophobic Properties of Composite Coatings Prepared from Hollow Glass Microspheres Coated with Needle-Shaped Rutile Shell. Materials 2022, 15, 8310. [Google Scholar] [CrossRef]
- Malz, S.; Krenkel, W.; Steffens, O. Infrared Reflective Wall Paint in Buildings: Energy Saving Potentials and Thermal Comfort. Energy Build. 2020, 224, 110212–110217. [Google Scholar] [CrossRef]
- Raut, H.K.; Ganesh, V.A.; Nair, A.S.; Ramakrishna, S. Anti-reflective coatings: A critical, in-depth review. Energy Environ. Sci. 2011, 4, 3779–3804. [Google Scholar] [CrossRef]
- Zhu, Q.; Chua, M.H.; Ong, P.J.; Cheng Lee, J.J.; Le Osmund Chin, K.; Wang, S.; Kai, D.; Ji, R.; Kong, J.; Dong, Z.; et al. Recent advances in nanotechnology-based functional coatings for the built environment. Mater. Today Adv. 2022, 15, 100270. [Google Scholar] [CrossRef]
- Chen, R.; Li, Y.; Xiang, R.; Li, S. Effect of particle size of fly ash on the properties of lightweight insulation materials. Constr. Build. Mater. 2016, 123, 120–126. [Google Scholar] [CrossRef]
- Bergmann, B.; Effting, C.; Schackow, A. Lightweight thermal insulating coating mortars with aerogel, EPS, and vermiculite for energy conservation in buildings. Cem. Concr. Compos. 2022, 125, 104283–104290. [Google Scholar] [CrossRef]
- Liu, B.; Wang, S.D.; Yang, S. Effect of Material Constitution on the Properties of Thermal Insulation Materials. Appl. Mech. Mater. 2014, 541, 141–145. [Google Scholar] [CrossRef]
- Chen, W.; Xing, J.; Lu, Z. Citrate-modified Mg–Al layered double hydroxides for efficient removal of lead from water. Environ. Chem. Lett. 2018, 16, 561–567. [Google Scholar] [CrossRef]
- Zhu, X.; Chen, C.; Suo, H. Synthesis of elevated temperature CO2 adsorbents from aqueous miscible organic-layered double hydroxides. Energy 2019, 167, 960–969. [Google Scholar] [CrossRef]
- Lauermannová, A.-M.; Paterová, I.; Patera, J.; Skrbek, K.; Jankovský, O.; Bartůněk, V. Hydrotalcites in Construction Materials. Appl. Sci. 2020, 10, 7989. [Google Scholar] [CrossRef]
- Du, P.; Liu, C.; Qiu, S. Surface modification of Mg/Al layered double hydroxide by camphorsulfonic acid doped polyaniline and its applications for anticorrosive coating. Surf. Topogr. Metrol. Prop. 2018, 3, 6–11. [Google Scholar] [CrossRef]
- Zhou, S.; Qian, Y.; Chen, X. In situ synthesis of layered double hydroxides-silicon dioxide hybrids and its flame retardancy in EVA composites. J. Therm. Anal. Calorim. 2018, 134, 1071–1082. [Google Scholar] [CrossRef]
- Gao, H.M.; Yao, A.; Shi, Y.H. Preparation and properties of hierarchical Al–Mg layered double hydroxides as UV resistant hydrotalcite. Mater. Chem. Phys. 2020, 24, 123630. [Google Scholar] [CrossRef]
- Dabrowska, L.; Fambri, D. Organically modified hydrotalcite for compounding and spinning of polyethylene nanocomposites. Polym. Lett. 2013, 7, 936–949. [Google Scholar] [CrossRef]
- Kameliya, J.; Verma, A.; Dutta, P.; Arora, C.; Vyas, S.; Varma, R.S. Layered double hydroxide materials: A review on their preparation, characterization, and applications. Inorganics 2023, 11, 121. [Google Scholar] [CrossRef]
- Jagtap, A.; Wagle, P.G.; Jagtiani, E. Layered double hydroxides (LDHs) for coating applications. J. Coat. Technol. Res. 2022, 19, 1009–1032. [Google Scholar] [CrossRef]
- Cai, J.; Heng, H.-M.; Hu, X.-P.; Xu, Q.-K.; Miao, F. A facile method for the preparation of novel fire-retardant layered double hydroxide and its application as nanofiller in UP. Polym. Degrad. Stab. 2016, 126, 47–57. [Google Scholar] [CrossRef]
- Zhao, Y.; Shen, G.; Wang, Y.; Hao, X.; Li, H. Methyl-trimethoxy-siloxane-modified Mg-Al-layered hydroxide filler for thermal-insulation coatings. Materials 2023, 16, 4464. [Google Scholar] [CrossRef] [PubMed]
- Kakanakova-Georgieva, A.; Ivanov, I.G.; Suwannaharn, N.; Hsu, C.W.; Cora, I.; Pécz, B.; Giannazzo, F.; Sangiovanni, D.G.; Gueorguiev, G.K. MOCVD of AIN on epitaxial graphene at extreme temperatures. Cryst. Eng. Comm. 2021, 23, 385–390. [Google Scholar] [CrossRef]
- Sangiovanni, D.G.; Faccio, R.; Gueorguiev, G.K.; Kakanakova-Georgieva, A. Discovering atomistic pathways for supply of metal atoms from methyl-based precursors to graphene surface. Phys. Chem. Chem. Phys. 2023, 25, 829–837. [Google Scholar] [CrossRef]
- Anđelković, M.; Milovanović, S.P.; Covaci, L.; Peeters, F.M. Double moiré with a twist: Super-moiré in encapsulated graphene. Nano Lett. 2020, 20, 979–988. [Google Scholar] [CrossRef] [PubMed]
- GB/T 1765-1979; Method of Producing of Paint Films for Testing Heat and Humidity Resistance, Salt-Fog Resistance and Accelerated Weathering. Standardization Administration of China: Beijing, China, 1979.
- Tao, Q.; Zhu, J.; Frost, R.L.; Bostrom, T.E.; Wellard, R.M.; Wei, J.; Yuan, P.; He, H. Silylation of Layered Double Hydroxides via a Calcination Rehydration Route. Langmuir 2010, 26, 2769–2773. [Google Scholar] [CrossRef] [PubMed]
- Seo, J.; Bae, J.H.; Kim, N.; Jang, D.; Lee, H.K. Investigation of leaching behaviors of carbonation-cured CSA cements using an electrically accelerated leaching test. Constr. Build. Mater. 2024, 411, 134278. [Google Scholar] [CrossRef]
- Tao, Q.; Zhu, J.; Wellard, R.M. Silylation of layered double hydroxidesvia an induced hydrolysis method. J. Mater. Chem. 2011, 21, 10711–10719. [Google Scholar] [CrossRef]
- Lou, C.W.; Hsing, Y.L.; Hsing, W.H. A study on heat insulation of composites made of recycled far-infrared fibers and three-dimensional crimped hollow polyester fibers. Fiber Polym. 2016, 17, 1687–1695. [Google Scholar] [CrossRef]
- Zhao, K.; Ye, F.; Cheng, L.; Yang, J.; Chen, X. An overview of ultra-high temperature ceramic for thermal insulation: Structure and composition design with thermal conductivity regulation. J. Eur. Ceram. Soc. 2023, 43, 7241–7262. [Google Scholar] [CrossRef]
- Hung Anh, L.D.; Pásztory, Z. An overview of factors influencing thermal conductivity of building insulation materials. J. Build. Eng. 2021, 44, 102604. [Google Scholar] [CrossRef]
- Liu, C.; Chen, M.; Zhou, D.; Wu, D.; Yu, W. Effect of filler shape on the thermal conductivity of thermal functional composites. J. Nanomater. 2017, 2017, 6375135. [Google Scholar] [CrossRef]
- Li, D.; Zeng, D.; Chen, Q.; Wei, M.; Song, L.; Xiao, C.; Pan, D. Effect of different size complex fillers on thermal conductivity of PA6 thermal composites. Plast. Rubber Compos. 2019, 48, 225–235. [Google Scholar] [CrossRef]









| Ingredients | wt (%) |
|---|---|
| Acrylic resin | 32 |
| Film-forming additive | 7 |
| Fillers | 45 |
| Water | 12 |
| Curing agent | 3 |
| MTS (wt%) | 0 | 1 | 2 | 3 | 4 |
|---|---|---|---|---|---|
| Heat-insulation temperature Difference ΔT (°C) | 12.5 | 0 | 23 | 24 | 25.55 |
Disclaimer/Publisher’s Note: The statements, opinions and data contained in all publications are solely those of the individual author(s) and contributor(s) and not of MDPI and/or the editor(s). MDPI and/or the editor(s) disclaim responsibility for any injury to people or property resulting from any ideas, methods, instructions or products referred to in the content. |
© 2024 by the authors. Licensee MDPI, Basel, Switzerland. This article is an open access article distributed under the terms and conditions of the Creative Commons Attribution (CC BY) license (https://creativecommons.org/licenses/by/4.0/).
Share and Cite
Zhao, Y.; Shen, G.; Wang, Y.; Hao, X.; Li, H. Controlling the Size of Hydrotalcite Particles and Its Impact on the Thermal Insulation Capabilities of Coatings. Materials 2024, 17, 2046. https://doi.org/10.3390/ma17092046
Zhao Y, Shen G, Wang Y, Hao X, Li H. Controlling the Size of Hydrotalcite Particles and Its Impact on the Thermal Insulation Capabilities of Coatings. Materials. 2024; 17(9):2046. https://doi.org/10.3390/ma17092046
Chicago/Turabian StyleZhao, Yanhua, Guanhua Shen, Yongli Wang, Xiangying Hao, and Huining Li. 2024. "Controlling the Size of Hydrotalcite Particles and Its Impact on the Thermal Insulation Capabilities of Coatings" Materials 17, no. 9: 2046. https://doi.org/10.3390/ma17092046
APA StyleZhao, Y., Shen, G., Wang, Y., Hao, X., & Li, H. (2024). Controlling the Size of Hydrotalcite Particles and Its Impact on the Thermal Insulation Capabilities of Coatings. Materials, 17(9), 2046. https://doi.org/10.3390/ma17092046

