Fe70−xNd7B21Zr2Nbx (x = 0–3.0) Permanent Magnets Produced by Crystallizing Amorphous Precursors
Abstract
1. Introduction
2. Experimental Procedure
3. Results and Discussion
3.1. Characteristics of As-Cast Rods
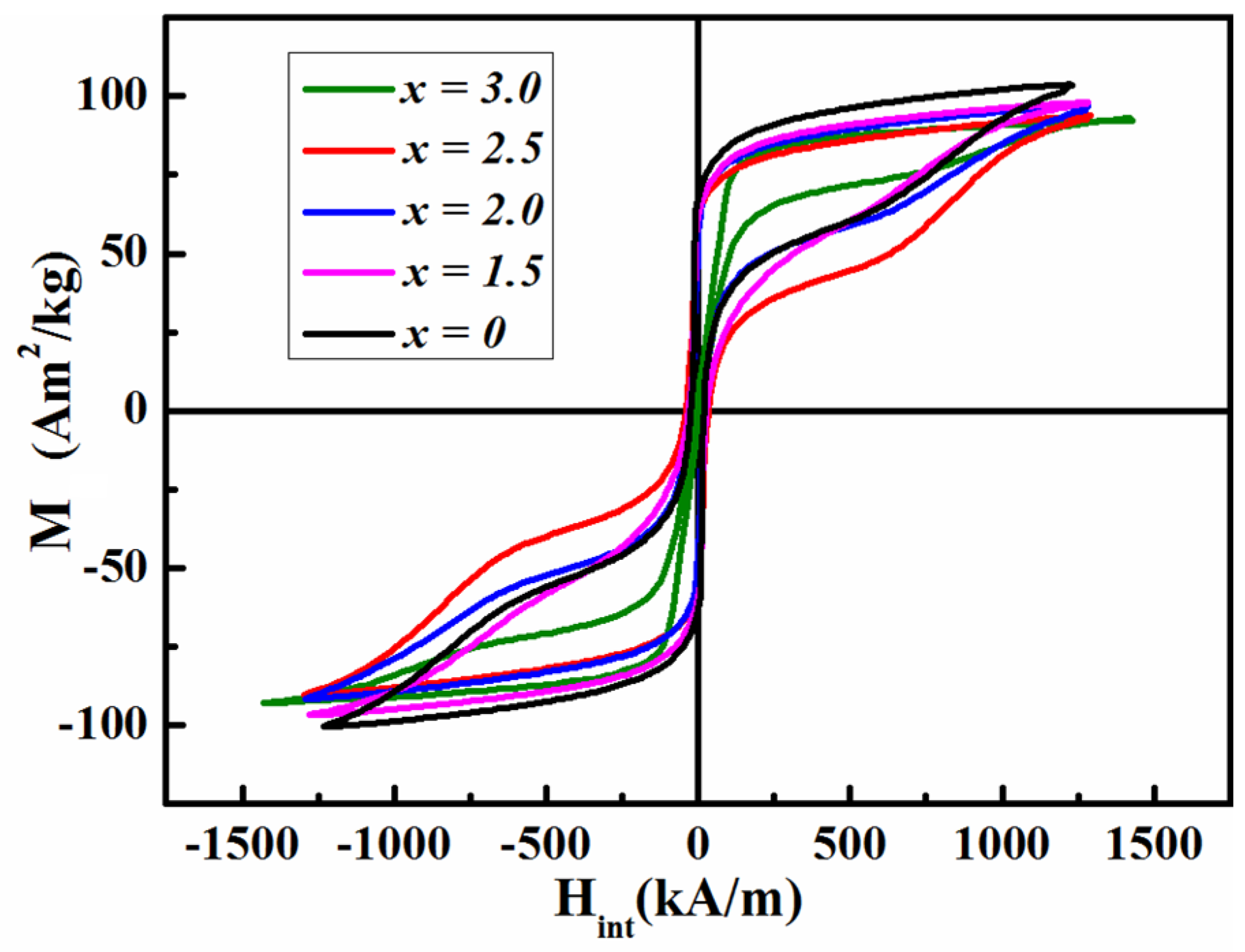
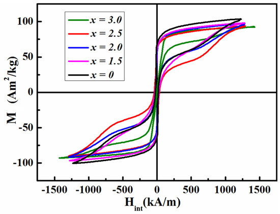
3.2. Magnetic Properties
3.3. XRD-Ps and Phase Compositions
3.4. ECI and Microstructure
4. Conclusions
Supplementary Materials
Author Contributions
Funding
Informed Consent Statement
Data Availability Statement
Conflicts of Interest
References
- Mohapatra, J.; Liu, X.; Joshi, P. Hard and semi-hard Fe-based magnetic materials. J. Alloys Compd. 2023, 955, 170258. [Google Scholar] [CrossRef]
- Inoue, A.; Kong, F. Soft Magnetic Materials. Encycl. Smart Mater. 2022, 5, 10–23. [Google Scholar]
- Zhang, W.; Inoue, A. Bulk nanocomposite permanent magnets produced by crystallization of (Fe, Co)-(Nd, Dy)-B bulk glassy alloy. Appl. Phys. Lett. 2002, 80, 1610–1612. [Google Scholar] [CrossRef]
- Louzguine-Luzgin, D.V.; Bazlov, A.I.; Ketov, S.V.; Greer, A.L.; Inoue, A. Crystal growth limitation as a critical factor for formation of Fe-based bulk metallic glasses. Acta Mater. 2015, 82, 396–402. [Google Scholar] [CrossRef]
- Man, H.; Xu, H.; Tan, X.H. Study of microstructure and correlative magnetic property in bulk Fe61Nd10B25Nb4 permanent magnet. Mater. Sci. Eng. B 2012, 177, 1655–1659. [Google Scholar] [CrossRef]
- Zhang, J.; Lim, K.; Feng, Y.; Li, Y. Fe-Nd-B-based hard magnets from bulk amorphous precursor. Scr. Mater. 2007, 56, 943–946. [Google Scholar] [CrossRef]
- Cui, X.H.; Liu, Z.W.; Zhong, X.C.; Yu, H.Y.; Zeng, D.C. Melt spun and suction cast Nd-Fe-Co-B-Nb hard magnets with high Nd contents. J. Appl. Phys. 2012, 111, 07B508. [Google Scholar] [CrossRef]
- Tao, S.; Ma, T.; Ahmad, Z.; Jian, H.; Yan, M. Nd5Fe64B23Mo4Y4 bulk nanocomposite permanent magnets produced by crystallizing amorphous precursors. J. Non-Cryst. Solids 2012, 358, 1028–1031. [Google Scholar] [CrossRef]
- Tao, S.; Ahmad, Z.; Ma, T.; Yan, M. Rapidly solidified Nd7Fe67B22Mo3Zr1 nanocomposite permanent magnets. J. Magn. Magn. Mater. 2014, 355, 164–168. [Google Scholar] [CrossRef]
- Tao, S.; Ahmad, Z.; Ma, T.; Jian, H.; Jiang, Y.; Yan, M. Fe65B22Nd9Mo4 bulk nanocomposite permanent magnets produced by crystallizing amorphous precursors. J. Magn. Magn. Mater. 2012, 324, 1613–1616. [Google Scholar] [CrossRef]
- Huang, X.Q.; Xu, H.; Tan, X.H. Study of crystallization and magnetic properties in Fe72-xNd7B21Nbx (x=0–4.0) bulk alloys. Rare Met. Mater. Eng. 2018, 47, 214–217. [Google Scholar]
- Lashgari, H.R.; Chu, D.; Xie, S.S.; Sun, H.D.; Ferry, M.; Li, S. Composition dependence of the microstructure and soft magnetic properties of Fe-based amorphous/nanocrystalline alloys: A review study. J. Non-Cryst. Solids 2014, 391, 61–82. [Google Scholar] [CrossRef]
- Hono, K. The microstructure evolution of a Fe73.5Si13.5B9Nb3Cu1 nanocrystalline soft magnetic material. Acta Metall. Mater. 1992, 40, 2137–2147. [Google Scholar] [CrossRef]
- Li, J.; Liu, Y.; Ma, Y.L. Effect of niobium on microstructure and magnetic properties of bulk anisotropic NdFeB/α-Fe nanocomposites. J. Magn. Magn. Mater. 2012, 324, 2292–2297. [Google Scholar]
- Takeuchi, A.; Inoue, A. Classification of bulk metallic glasses by atomic size difference, heat of mixing and period of constituent elements and its application to characterization of the main alloying element (Overview). Mater. Trans. 2005, 46, 2817–2829. [Google Scholar] [CrossRef]
- Takeuchi, A.; Inoue, A. Calculations of mixing enthalpy and mismatch entropy for ternary amorphous alloys. Mater. Trans. JIM 2000, 41, 1372–1378. [Google Scholar] [CrossRef]
- Konno, T.J.; Uehara, M.; Hirosawa, S.; Sumiyama, K.; Suzuki, K. Effect of Nb addition on the crystallization behavior and magnetic properties of melt-spun Fe-rich Fe-Nd-B ribbons. J. Alloys Compd. 1998, 268, 278–284. [Google Scholar] [CrossRef]
- Wu, Y.Q.; Kramer, M.J.; Chen, Z.; Ma, B.M.; Ping, D.H.; Hono, K. Microstructural control of Nb addition in nanocrystalline hard magnets with different Nd content. IEEE Trans. Magn. 2003, 39, 2935–2937. [Google Scholar] [CrossRef]
- Alleg, S.; Souilah, S.; Younes, A.; Bensalem, R.; Sunol, J.J.; Greneche, J.M. Effect of the Nb content on the amorphization process of the mechanically. J. Alloys Compd. 2012, 536S, S394–S397. [Google Scholar] [CrossRef]
- Zhai, F.Q.; Pined, E.; Duarte, M.J.; Crespo, D. Role of Nb in glass formation of Fe–Cr–Mo–C–B–Nb BMGs. J. Alloys Compd. 2014, 604, 157–163. [Google Scholar] [CrossRef]
- Zohdi, H.; Shahverdi, H.R.; Hadavi, S.M.M. Effect of Nb addition on corrosion behavior of Fe-based metallic glasses in Ringer’s solution for biomedical applications. Electrochem. Commun. 2011, 13, 840–843. [Google Scholar] [CrossRef]
- Ohta, M.; Yoshizawa, Y. Recent progress in high Bs Fe-based nanocrystallines of magnetic alloys. J. Phys. D Appl. Phys. 2011, 44, 064004. [Google Scholar] [CrossRef]
- Mattern, N.; Danzig, A.; Müller, M. Effect of Cu and Nb on crystallization and magnetic properties of amorphous Fe77.5Si15.5B7 alloys. Mater. Sci. Eng. A 1995, 194, 77–85. [Google Scholar] [CrossRef]
- Herzer, G. Nanocrystalline soft magnetic materials. J. Magn. Magn. Mater. 1992, 112, 258–262. [Google Scholar] [CrossRef]
- Bolyachkin, A.S.; Alekseev, I.V.; Andreev, S.V.; Volegov, A.S. δM plots of nanocrystalline hard magnetic alloys. J. Magn. Magn. Mater. 2021, 529, 167886. [Google Scholar] [CrossRef]







| Alloys | Ms (Am2/kg) | Hci (kA/m) | ρ (g/cm3) |
|---|---|---|---|
| x = 0.0 | 106.60 | 4.65 | 7.40 |
| x = 1.5 | 104.21 | 2.98 | 7.43 |
| x = 2.0 | 97.54 | 8.88 | 7.44 |
| x = 2.5 | 93.76 | 8.75 | 7.46 |
| x = 3.0 | 92.85 | 5.32 | 7.48 |
| Alloys | Ta (K) | Hci(kA/m) | Br (T) | Hk/Hci | (BH)max (kJ/m3) |
|---|---|---|---|---|---|
| x = 0.0 | 1003 | 569.46 | 0.52 | 0.13 | 30.08 |
| x = 1.5 | 973 | 587.42 | 0.53 | 0.19 | 30.87 |
| x = 2.0 | 1003 | 526.66 | 0.56 | 0.22 | 33.43 |
| x = 2.5 | 993 | 513.92 | 0.58 | 0.24 | 37.59 |
| x = 3.0 | 1003 | 489.14 | 0.56 | 0.20 | 36.41 |
| Alloys | I(110)Fe/I(214)2:14:1 | I(110)Fe/I(310)1.1:4:4 | I(214)2:14:1/I(310)1.1:4:4 |
|---|---|---|---|
| x = 0.0 | 1.12 | 2.21 | 1.93 |
| x = 1.5 | 1.23 | 2.78 | 2.16 |
| x = 2.0 | 1.32 | 3.46 | 2.63 |
| x = 2.5 | 1.93 | 4.07 | 2.22 |
| x = 3.0 | 1.67 | 3.29 | 1.89 |
Disclaimer/Publisher’s Note: The statements, opinions and data contained in all publications are solely those of the individual author(s) and contributor(s) and not of MDPI and/or the editor(s). MDPI and/or the editor(s) disclaim responsibility for any injury to people or property resulting from any ideas, methods, instructions or products referred to in the content. |
© 2024 by the authors. Licensee MDPI, Basel, Switzerland. This article is an open access article distributed under the terms and conditions of the Creative Commons Attribution (CC BY) license (https://creativecommons.org/licenses/by/4.0/).
Share and Cite
Gu, Y.; Wang, Z.; Xu, H.; Li, Z. Fe70−xNd7B21Zr2Nbx (x = 0–3.0) Permanent Magnets Produced by Crystallizing Amorphous Precursors. Materials 2024, 17, 1429. https://doi.org/10.3390/ma17061429
Gu Y, Wang Z, Xu H, Li Z. Fe70−xNd7B21Zr2Nbx (x = 0–3.0) Permanent Magnets Produced by Crystallizing Amorphous Precursors. Materials. 2024; 17(6):1429. https://doi.org/10.3390/ma17061429
Chicago/Turabian StyleGu, Yong, Zili Wang, Hui Xu, and Zhong Li. 2024. "Fe70−xNd7B21Zr2Nbx (x = 0–3.0) Permanent Magnets Produced by Crystallizing Amorphous Precursors" Materials 17, no. 6: 1429. https://doi.org/10.3390/ma17061429
APA StyleGu, Y., Wang, Z., Xu, H., & Li, Z. (2024). Fe70−xNd7B21Zr2Nbx (x = 0–3.0) Permanent Magnets Produced by Crystallizing Amorphous Precursors. Materials, 17(6), 1429. https://doi.org/10.3390/ma17061429
