Preparation of Lanthanum-Modified Tea Waste Biochar and Its Adsorption Performance on Fluoride in Water
Abstract
1. Introduction
2. Materials and Methods
2.1. Materials and Reagents
2.2. Preparation of TBC and La-TBC
2.3. Material Characterization
2.4. Batch Adsorption Experiments
2.4.1. Single-Factor Effects Experiments
2.4.2. Kinetic Experiments
2.4.3. Isothermal Adsorption Experiments and Thermodynamic Experiments
2.4.4. Experiments on the Effect of Coexisting-Ions
2.4.5. Adsorption Experiments of Fluoride in Actual Geothermal Hot Spring Water
2.5. Methods of Analysis
3. Results and Discussion
3.1. Results of Adsorption Experiments with Tea Waste and TBC
3.2. Optimization of Lanthanum-Modified Biochar Preparation Conditions
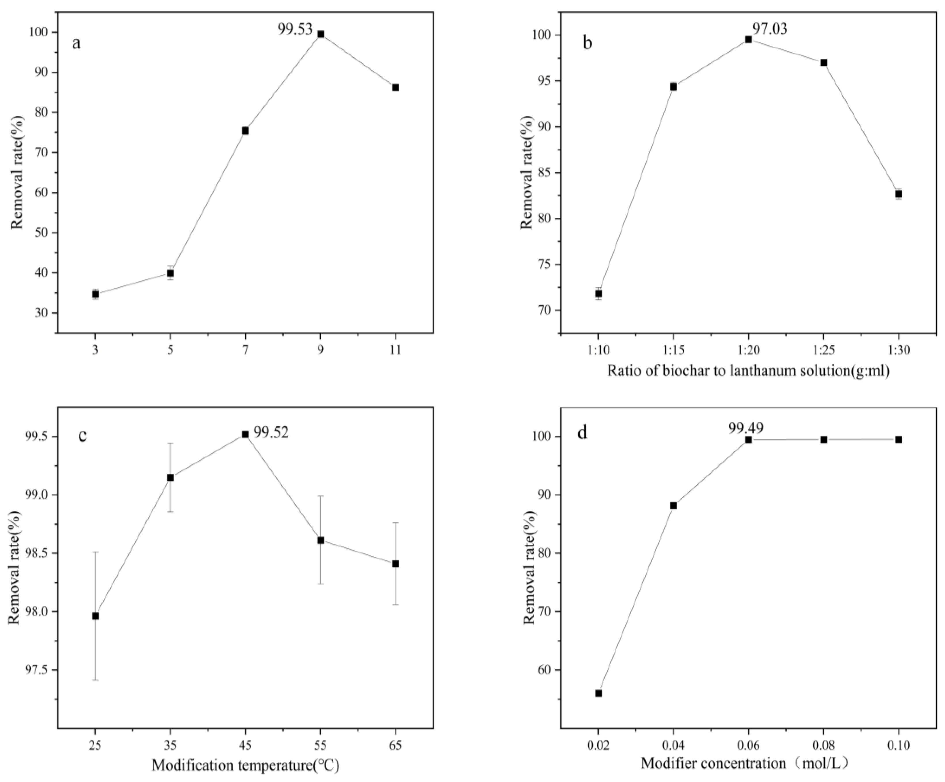
3.2.1. Optimization of Single-Factor Conditions
3.2.2. Optimization of Orthogonal Experimental Conditions
3.3. Batch Adsorption Experiments
3.3.1. Initial Solution pH Effects
3.3.2. Effect of Adsorption Temperature
3.3.3. Effect of Adsorbent Dosage
3.4. Kinetic Studies

| Pseudo-First-Order | Pseudo-Second-Order | |||||
|---|---|---|---|---|---|---|
| qe,exp/(mg/g) | k1/(min−1) | qe,cal/(mg/g) | R2 | k2/(g/(mg·min)) | qe,cal/(mg/g) | R2 |
| 25.16 | 15.03 | 25.03 | 0.345 | 2.88 | 25.19 | 0.807 |
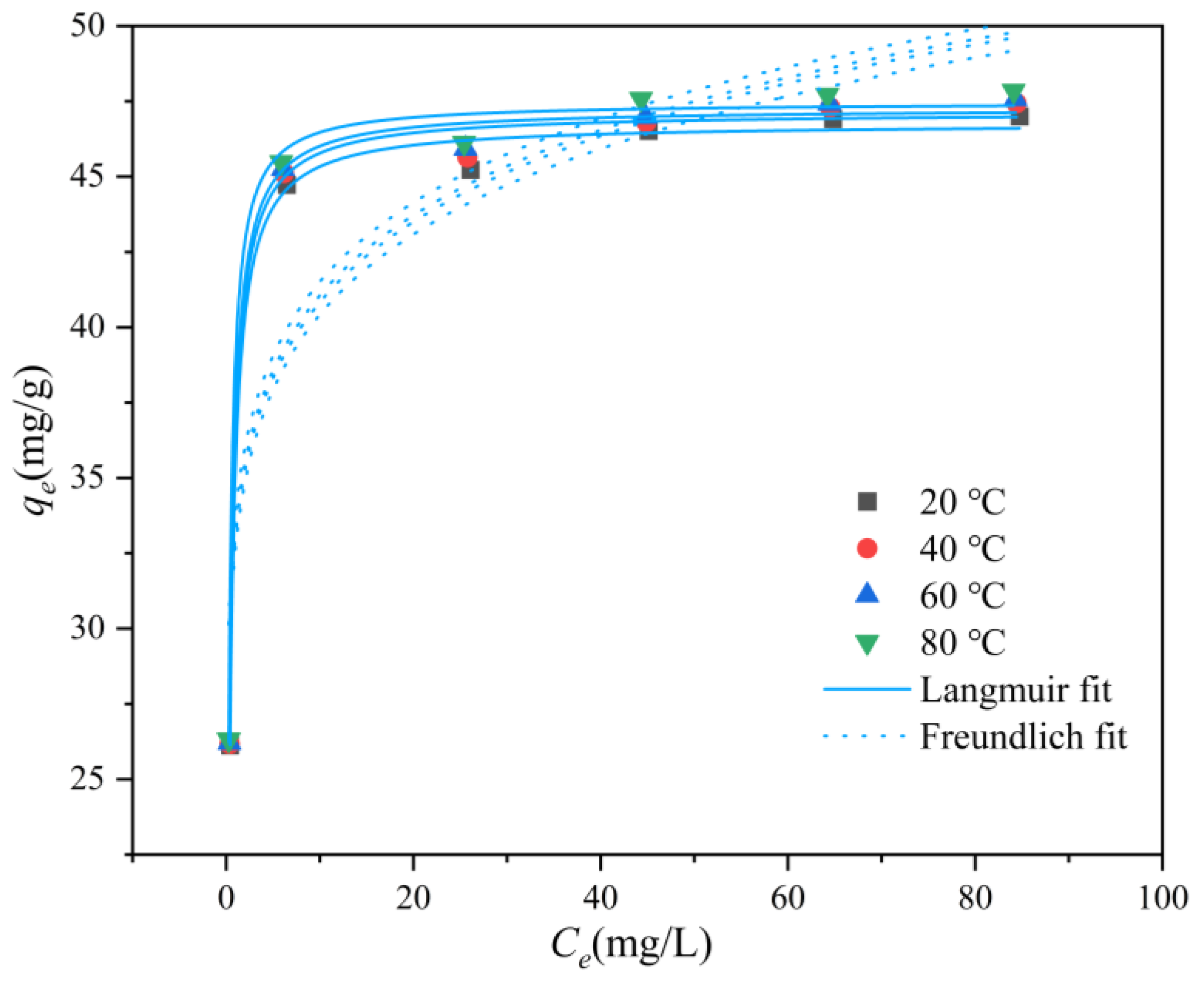
3.5. Isothermal Adsorption Studies

| T (°C) | Langmuir Isotherm | Freundlich Isotherm | ||||
|---|---|---|---|---|---|---|
| qm (mg/g) | KL/(L/mg) | R2 | KF (mg/g) | n | R2 | |
| 20 | 46.79 | 3.143 | 0.995 | 32.7 | 10.87 | 0.786 |
| 40 | 47.14 | 3.358 | 0.995 | 33.08 | 10.99 | 0.783 |
| 60 | 47.28 | 3.638 | 0.996 | 33.33 | 11.11 | 0.786 |
| 80 | 47.47 | 4.631 | 0.994 | 33.87 | 11.36 | 0.802 |
3.6. Adsorption Thermodynamic Studies
| ΔG0 (kJ·mol−1) | ΔS0 (kJ·(mol·k)−1) | ΔH0 (kJ·mol−1) | |||
|---|---|---|---|---|---|
| 20 °C | 40 °C | 60 °C | 80 °C | ||
| −10.171 | −11.078 | −12.023 | −13.477 | 0.0536 | 5.652 |
3.7. Co-Existing Ion Impact Studies
3.8. Actual Geothermal Hot Spring Water Adsorption Experiments
3.9. Adsorption Mechanism
3.9.1. SEM-EDS and BET Analysis
3.9.2. FTIR Analysis
3.9.3. XRD Analysis
4. Conclusions
- (1)
- Tea waste biochar (TBC) was obtained via the pyrolysis of tea waste as a raw material at 700 °C for 1 h. The one-factor modification and orthogonal optimization of modification using La(NO3)3·6H2O were carried out, and the optimal conditions for preparation were determined: the pH of the modification solution was 9, the concentration of the modifying agent was 0.08 mol/L, the temperature of modification was 35 °C, and the solid–liquid ratio of the tea waste biochar to lanthanum solution was 1:25 (g/mL). Lanthanum-modified biochar (La-TBC) was thus obtained.
- (2)
- When the initial fluoride mass concentration was 19 mg/L and the dosage of La-TBC was 0.75 g/L, the removal rate of fluoride by La-TBC reached 99.32% under the conditions of pH 7, an adsorption time of 8 h, and an adsorption temperature of 40 °C. Under the same adsorption conditions, the adsorption rates of SO42−, HCO3−, and CO32− showed different effects on fluoride, with CO32− having the greatest effect, while Cl− and NO3− had almost no effect.
- (3)
- The adsorption of fluoride by La-TBC was more consistent with the pseudo-second-order model and the Langmuir isothermal model. The maximum theoretical adsorption capacity of La-TBC was 47.47 mg/g at 80 °C, which is nearly 50 times higher than the adsorption performance of TBC in relation to fluoride (0.9363 mg/g). The adsorption process was a chemisorption-dominated monolayer adsorption process with spontaneous heat absorption. The adsorption mechanisms mainly included pore filling, ion exchange, and electrostatic interactions.
- (4)
- La-TBC had a good effect on fluoride removal in actual geothermal hot spring water (removal rate of more than 95%), but HCO3−, HCO32−, SO42−, and microorganisms in the water body will compete for adsorption, which affects the removal effect, so the fluoride removal rate in geothermal water can be increased by increasing the dosage of the adsorbent.
Author Contributions
Funding
Institutional Review Board Statement
Informed Consent Statement
Data Availability Statement
Conflicts of Interest
References
- Ozsvath, D.L. Fluoride and environmental health: A review. Rev. Environ. Sci. Bio/Technol. 2008, 8, 59–79. [Google Scholar] [CrossRef]
- Wang, Y.; Cheng, H. Environmental fate and ecological impact of the potentially toxic elements from the geothermal springs. Environ. Geochem. Health 2023, 45, 6287–6303. [Google Scholar] [CrossRef]
- Lacson, C.F.Z.; Lu, M.-C.; Huang, Y.-H. Fluoride-containing water: A global perspective and a pursuit to sustainable water defluoridation management—An overview. J. Clean. Prod. 2021, 280, 124236. [Google Scholar] [CrossRef]
- Zarrabi, M.; Samadi, M.T.; Sepehr, M.N.; Ramhormozi, S.M.; Azizian, S.; Amrane, A. Removal of Fluoride Ions by Ion Exchange Resin: Kinetic and Equilibrium Studies. Environ. Eng. Manag. J. 2014, 13, 205–214. [Google Scholar] [CrossRef]
- Ozairi, N.; Mousavi, S.A.; Samadi, M.T.; Seidmohammadi, A.; Nayeri, D. Removal of fluoride from water using coagulation-flocculation process: A comparative study. Desalination Water Treat. 2020, 180, 265–270. [Google Scholar] [CrossRef]
- Damtie, M.M.; Woo, Y.C.; Kim, B.; Hailemariam, R.H.; Park, K.-D.; Shon, H.K.; Park, C.; Choi, J.-S. Removal of fluoride in membrane-based water and wastewater treatment technologies: Performance review. J. Environ. Manag. 2019, 251, 109524. [Google Scholar] [CrossRef] [PubMed]
- Pulkka, S.; Martikainen, M.; Bhatnagar, A.; Sillanpää, M. Electrochemical methods for the removal of anionic contaminants from water—A review. Sep. Purif. Technol. 2014, 132, 252–271. [Google Scholar] [CrossRef]
- Habuda-Stanić, M.; Ravančić, M.; Flanagan, A. A Review on Adsorption of Fluoride from Aqueous Solution. Materials 2014, 7, 6317–6366. [Google Scholar] [CrossRef] [PubMed]
- Bhan, C.; Singh, J.; Sharma, Y.C.; Koduru, J.R. Synthesis of lanthanum-modified clay soil-based adsorbent for the fluoride removal from an aqueous solution and groundwater through batch and column process: Mechanism and kinetics. Environ. Earth Sci. 2022, 81, 253. [Google Scholar] [CrossRef]
- Craig, L.; Stillings, L.L.; Decker, D.L.; Thomas, J.M. Comparing activated alumina with indigenous laterite and bauxite as potential sorbents for removing fluoride from drinking water in Ghana. Appl. Geochem. 2015, 56, 50–66. [Google Scholar] [CrossRef]
- Turner, B.D.; Binning, P.; Stipp, S. Fluoride removal by calcite: Evidence for fluorite precipitation and surface adsorption. Environ. Sci. Technol. 2005, 39, 9561–9568. [Google Scholar] [CrossRef]
- Uddin, M.K.; Ahmed, S.S.; Naushad, M. A mini update on fluoride adsorption from aqueous medium using clay materials. Desalination Water Treat. 2019, 145, 232–248. [Google Scholar] [CrossRef]
- Adak, M.K.; Sen, A.; Mukherjee, A.; Sen, S.; Dhak, D. Removal of fluoride from drinking water using highly efficient nano-adsorbent, Al(III)-Fe(III)-La(III) trimetallic oxide prepared by chemical route. J. Alloys Compd. 2017, 719, 460–469. [Google Scholar] [CrossRef]
- Gómez-Hortigüela, L.; Pérez-Pariente, J.; García, R.; Chebude, Y.; Díaz, I. Natural zeolites from Ethiopia for elimination of fluoride from drinking water. Sep. Purif. Technol. 2013, 120, 224–229. [Google Scholar] [CrossRef]
- Sadhu, M.; Bhattacharya, P.; Vithanage, M.; Padmaja Sudhakar, P. Adsorptive removal of fluoride using biochar—A potential application in drinking water treatment. Sep. Purif. Technol. 2021, 278, 119106. [Google Scholar] [CrossRef]
- Weber, K.; Quicker, P. Properties of biochar. Fuel 2018, 217, 240–261. [Google Scholar] [CrossRef]
- Rao, R.A.K.; Ikram, S.; Uddin, M.K. Removal of Cr(VI) from aqueous solution on seeds of Artimisia absinthium (novel plant material). Desalination Water Treat. 2014, 54, 3358–3371. [Google Scholar] [CrossRef]
- Uddin, M.K.; Abd Malek, N.N.; Jawad, A.H.; Sabar, S. Pyrolysis of rubber seed pericarp biomass treated with sulfuric acid for the adsorption of crystal violet and methylene green dyes: An optimized process. Int. J. Phytoremediat. 2022, 25, 393–402. [Google Scholar] [CrossRef] [PubMed]
- Hussain, S.; Anjali, K.P.; Hassan, S.T.; Dwivedi, P.B. Waste tea as a novel adsorbent: A review. Appl. Water Sci. 2018, 8, 165. [Google Scholar] [CrossRef]
- Pan, S.-Y.; Nie, Q.; Tai, H.-C.; Song, X.-L.; Tong, Y.-F.; Zhang, L.-J.-F.; Wu, X.-W.; Lin, Z.-H.; Zhang, Y.-Y.; Ye, D.-Y.; et al. Tea and tea drinking: China’s outstanding contributions to the mankind. Chin. Med. 2022, 17, 27. [Google Scholar] [CrossRef]
- Debnath, B.; Haldar, D.; Purkait, M.K. Potential and sustainable utilization of tea waste: A review on present status and future trends. J. Environ. Chem. Eng. 2021, 9, 106179. [Google Scholar] [CrossRef]
- Kabir, M.M.; Mouna, S.S.P.; Akter, S.; Khandaker, S.; Didar-ul-Alam, M.; Bahadur, N.M.; Mohinuzzaman, M.; Islam, M.A.; Shenashen, M.A. Tea waste based natural adsorbent for toxic pollutant removal from waste samples. J. Mol. Liq. 2021, 322, 115012. [Google Scholar] [CrossRef]
- Isaac, R.; Siddiqui, S.; Aldosari, O.F.; Kashif Uddin, M. Magnetic biochar derived from Juglans regia for the adsorption of Cu2+ and Ni2+: Characterization, modelling, optimization, and cost analysis. J. Saudi Chem. Soc. 2023, 27, 101749. [Google Scholar] [CrossRef]
- Lee, H.-S.; Shin, H.-S. Competitive adsorption of heavy metals onto modified biochars: Comparison of biochar properties and modification methods. J. Environ. Manag. 2021, 299, 113651. [Google Scholar] [CrossRef] [PubMed]
- Habibi, N.; Rouhi, P.; Ramavandi, B. Modification of Tamarix hispida Biochar by Lanthanum Chloride for Enhanced Fluoride Adsorption from Synthetic and Real Wastewater. Environ. Prog. Sustain. Energy 2018, 38, S298–S305. [Google Scholar] [CrossRef]
- Peiris, C.; Nayanathara, O.; Navarathna, C.M.; Jayawardhana, Y.; Nawalage, S.; Burk, G.; Karunanayake, A.G.; Madduri, S.B.; Vithanage, M.; Kaumal, M.N.; et al. The influence of three acid modifications on the physicochemical characteristics of tea-waste biochar pyrolyzed at different temperatures: A comparative study. RSC Adv. 2019, 9, 17612–17622. [Google Scholar] [CrossRef] [PubMed]
- Merodio-Morales, E.E.; Reynel-Ávila, H.E.; Mendoza-Castillo, D.I.; Duran-Valle, C.J.; Bonilla-Petriciolet, A. Lanthanum- and cerium-based functionalization of chars and activated carbons for the adsorption of fluoride and arsenic ions. Int. J. Environ. Sci. Technol. 2019, 17, 115–128. [Google Scholar] [CrossRef]
- Prabhu, S.M.; Elanchezhiyan, S.S.; Lee, G.; Meenakshi, S. Defluoridation of water by Tea-bag model using La3+ modified synthetic resin@chitosan biocomposite. Int. J. Biol. Macromol. 2016, 91, 1002–1009. [Google Scholar] [CrossRef]
- Roy, S.; Sengupta, S.; Manna, S.; Das, P. Chemically reduced tea waste biochar and its application in treatment of fluoride containing wastewater: Batch and optimization using response surface methodology. Process Saf. Environ. Prot. 2018, 116, 553–563. [Google Scholar] [CrossRef]
- Dehghani, M.H.; Gholami, S.; Karri, R.R.; Lima, E.C.; Mahvi, A.H.; Nazmara, S.; Fazlzadeh, M. Process modeling, characterization, optimization, and mechanisms of fluoride adsorption using magnetic agro-based adsorbent. J. Environ. Manag. 2021, 286, 112173. [Google Scholar] [CrossRef]
- Iriel, A.; Bruneel, S.P.; Schenone, N.; Cirelli, A.F. The removal of fluoride from aqueous solution by a lateritic soil adsorption: Kinetic and equilibrium studies. Ecotoxicol. Environ. Saf. 2018, 149, 166–172. [Google Scholar] [CrossRef] [PubMed]
- Wang, J.; Chen, N.; Feng, C.; Li, M. Performance and mechanism of fluoride adsorption from groundwater by lanthanum-modified pomelo peel biochar. Environ. Sci. Pollut. Res. 2018, 25, 15326–15335. [Google Scholar] [CrossRef] [PubMed]
- Singh, K.; Lataye, D.H.; Wasewar, K.L. Removal of Fluoride from Aqueous Solution by Using Low-Cost Sugarcane Bagasse: Kinetic Study and Equilibrium Isotherm Analyses. J. Hazard. Toxic Radioact. Waste 2016, 20, 04015024. [Google Scholar] [CrossRef]
- Raghav, S.; Kumar, D. Adsorption Equilibrium, Kinetics, and Thermodynamic Studies of Fluoride Adsorbed by Tetrametallic Oxide Adsorbent. J. Chem. Eng. Data 2018, 63, 1682–1697. [Google Scholar] [CrossRef]
- Agrawal, A.; Sahu, K.K. Kinetic and isotherm studies of cadmium adsorption on manganese nodule residue. J. Hazard. Mater. 2006, 137, 915–924. [Google Scholar] [CrossRef] [PubMed]
- Oh, T.-K.; Choi, B.; Shinogi, Y.; Chikushi, J. Effect of pH Conditions on Actual and Apparent Fluoride Adsorption by Biochar in Aqueous Phase. Water Air Soil Pollut. 2012, 223, 3729–3738. [Google Scholar] [CrossRef]
- Huong, P.T.; Jitae, K.; Giang, B.L.; Nguyen, T.D.; Thang, P.Q. Novel lanthanum-modified activated carbon derived from pine cone biomass as ecofriendly bio-sorbent for removal of phosphate and nitrate in wastewater. Rendiconti Lincei Sci. Fis. Nat. 2019, 30, 637–647. [Google Scholar] [CrossRef]
- Wang, Z.; Shen, D.; Shen, F.; Li, T. Phosphate adsorption on lanthanum loaded biochar. Chemosphere 2016, 150, 1–7. [Google Scholar] [CrossRef]
- Vences-Alvarez, E.; Velazquez-Jimenez, L.H.; Chazaro-Ruiz, L.F.; Diaz-Flores, P.E.; Rangel-Mendez, J.R. Fluoride removal in water by a hybrid adsorbent lanthanum–carbon. J. Colloid Interface Sci. 2015, 455, 194–202. [Google Scholar] [CrossRef]
- Yu, Y.; Yu, L.; Paul Chen, J. Adsorption of fluoride by Fe–Mg–La triple-metal composite: Adsorbent preparation, illustration of performance and study of mechanisms. Chem. Eng. J. 2015, 262, 839–846. [Google Scholar] [CrossRef]
- Ashraf, I.; Li, R.; Chen, B.; Al-Ansari, N.; Rizwan Aslam, M.; Altaf, A.R.; Elbeltagi, A. Nanoarchitectonics and Kinetics Insights into Fluoride Removal from Drinking Water Using Magnetic Tea Biochar. Int. J. Environ. Res. Public Health 2022, 19, 13092. [Google Scholar] [CrossRef]
- Jia, Y.; Zhu, B.-S.; Jin, Z.; Sun, B.; Luo, T.; Yu, X.-Y.; Kong, L.-T.; Liu, J.-H. Fluoride removal mechanism of bayerite/boehmite nanocomposites: Roles of the surface hydroxyl groups and the nitrate anions. J. Colloid Interface Sci. 2015, 440, 60–67. [Google Scholar] [CrossRef]
- Aghazadeh, M.; Golikand, A.N.; Ghaemi, M.; Yousefi, T. A novel lanthanum hydroxide nanostructure prepared by cathodic electrodeposition. Mater. Lett. 2011, 65, 1466–1468. [Google Scholar] [CrossRef]
- Qiu, H.; Liang, C.; Yu, J.; Zhang, Q.; Song, M.; Chen, F. Preferable phosphate sequestration by nano-La(III) (hydr)oxides modified wheat straw with excellent properties in regeneration. Chem. Eng. J. 2017, 315, 345–354. [Google Scholar] [CrossRef]











| Number | Fluoride Concentration (mg/L) | pH | Temperature (°C) |
|---|---|---|---|
| 1# | 5.44 | 7.48 | 46 |
| 2# | 10.32 | 9.08 | 84 |
| 3# | 11.49 | 9.17 | 83 |
| 4# | 8.76 | 8.69 | 81 |
| 5# | 11.45 | 8.76 | 82 |
| Serial Number | Modification Temperature (°C) | pH | Ratio of Biochar to Lanthanum Solution (g/mL) | Modifier Concentration (mol/L) | Fluoride Adsorption Capacity (mg/g) |
|---|---|---|---|---|---|
| A | B | C | D | ||
| 1 | 35 | 7 | 1:15 | 0.04 | 4.95 |
| 2 | 35 | 9 | 1:20 | 0.06 | 7.56 |
| 3 | 35 | 11 | 1:25 | 0.08 | 7.04 |
| 4 | 45 | 7 | 1:20 | 0.08 | 5.51 |
| 5 | 45 | 9 | 1:25 | 0.04 | 6.5 |
| 6 | 45 | 11 | 1:15 | 0.06 | 6.05 |
| 7 | 55 | 7 | 1:25 | 0.06 | 5.32 |
| 8 | 55 | 9 | 1:15 | 0.08 | 7.18 |
| 9 | 55 | 11 | 1:20 | 0.04 | 5.72 |
| Fluoride Adsorption Capacity (mg/g) | ||||
|---|---|---|---|---|
| A | B | C | D | |
| k1 | 6.517 | 5.26 | 6.06 | 5.723 |
| k2 | 6.02 | 7.08 | 6.263 | 6.31 |
| k3 | 6.073 | 6.270 | 6.287 | 6.577 |
| R | 0.497 | 1.82 | 0.227 | 0.854 |
| Materials | TBC | La-TBC | La-TBC-F |
|---|---|---|---|
| C | 89.42 | 83.42 | 49.48 |
| O | 10.04 | 16.25 | 32.89 |
| Mg | 0.13 | 0.06 | - |
| Al | 0.10 | 0.05 | 0.43 |
| Si | 0.08 | 0.06 | 0.64 |
| Ca | 0.23 | 0.10 | - |
| La | - | 0.07 | 10.77 |
| F | - | - | 5.79 |
| Materials | BET (m2/g) | Micropore Area (m2/g) | External Surface Area (m2/g) | Average Pore Diameter (nm) | Total Pore Volume (cm3/g) | Micropore Volume (cm3/g) |
|---|---|---|---|---|---|---|
| TBC | 110.9 | 90.8 | 20.1 | 2.2 | 0.1 | 3 × 10−2 |
| La-TBC | 5.2 | 1.2 | 4.0 | 244.4 | 0.3 | 5 × 10−4 |
| La-TBC-F | 9.5 | 2.0 | 7.5 | 30.5 | 0.1 | 8 × 10−4 |
Disclaimer/Publisher’s Note: The statements, opinions and data contained in all publications are solely those of the individual author(s) and contributor(s) and not of MDPI and/or the editor(s). MDPI and/or the editor(s) disclaim responsibility for any injury to people or property resulting from any ideas, methods, instructions or products referred to in the content. |
© 2024 by the authors. Licensee MDPI, Basel, Switzerland. This article is an open access article distributed under the terms and conditions of the Creative Commons Attribution (CC BY) license (https://creativecommons.org/licenses/by/4.0/).
Share and Cite
Li, W.; Xie, P.; Zhou, H.; Zhao, H.; Yang, B.; Xiong, J. Preparation of Lanthanum-Modified Tea Waste Biochar and Its Adsorption Performance on Fluoride in Water. Materials 2024, 17, 766. https://doi.org/10.3390/ma17030766
Li W, Xie P, Zhou H, Zhao H, Yang B, Xiong J. Preparation of Lanthanum-Modified Tea Waste Biochar and Its Adsorption Performance on Fluoride in Water. Materials. 2024; 17(3):766. https://doi.org/10.3390/ma17030766
Chicago/Turabian StyleLi, Wei, Pengcheng Xie, Haiyang Zhou, Huiying Zhao, Bo Yang, and Jian Xiong. 2024. "Preparation of Lanthanum-Modified Tea Waste Biochar and Its Adsorption Performance on Fluoride in Water" Materials 17, no. 3: 766. https://doi.org/10.3390/ma17030766
APA StyleLi, W., Xie, P., Zhou, H., Zhao, H., Yang, B., & Xiong, J. (2024). Preparation of Lanthanum-Modified Tea Waste Biochar and Its Adsorption Performance on Fluoride in Water. Materials, 17(3), 766. https://doi.org/10.3390/ma17030766

