Biochemical Approach to Poly(Lactide)–Copper Composite—Impact on Blood Coagulation Processes
Abstract
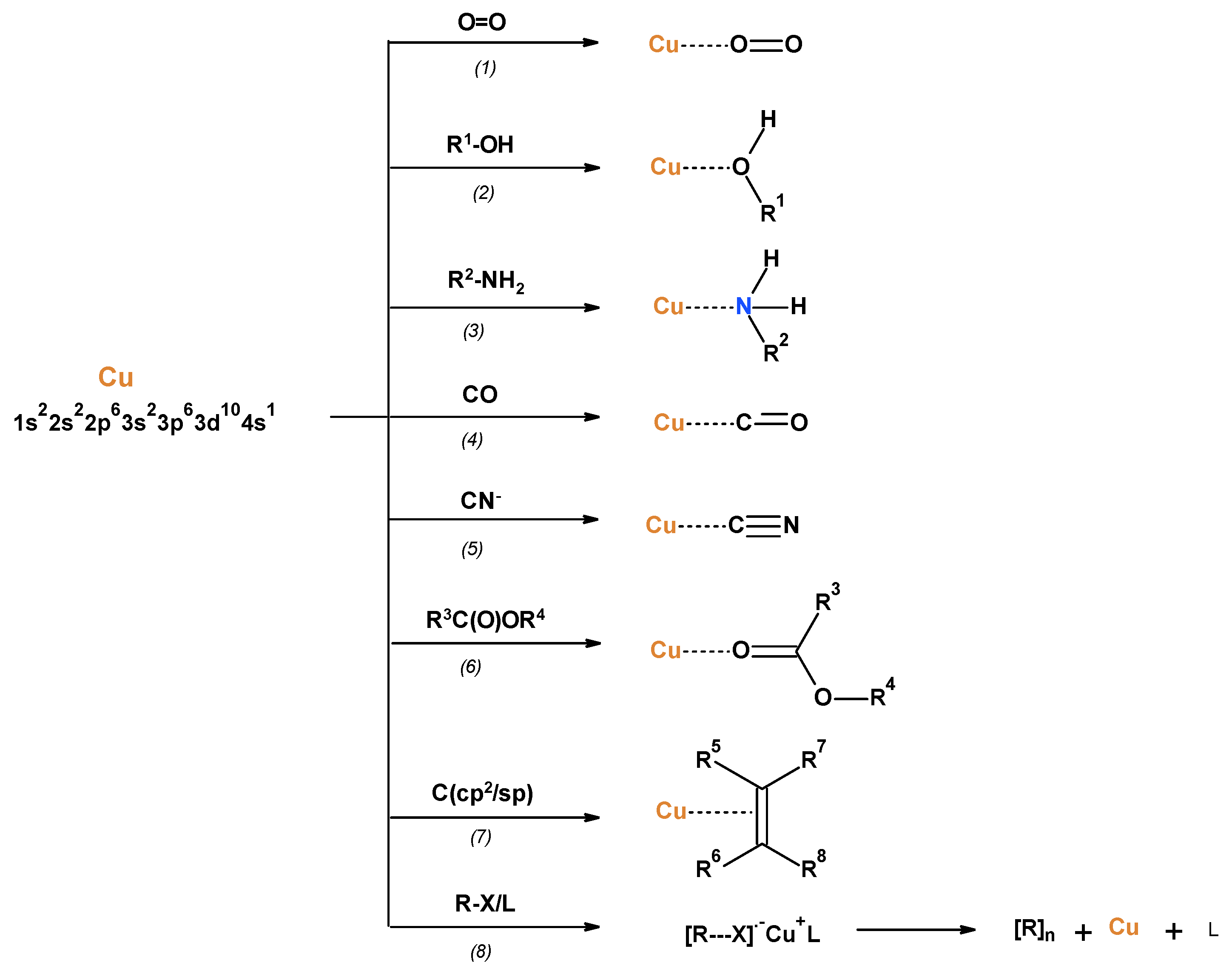
1. Introduction
2. Materials and Methods
2.1. Materials
2.1.1. Polymers
- Poly(Lactic acid) (PLA) polymer was purchased from NatureWorks LLC (Minnetonka, MN, USA), type Ingeo™ Biopolymer 3251D, MFR = 30–40 g/10 min (190 °C/2.16 kg), Tmp = 160–170 °C in the form of granulate, and was used for the fabrication of nonwoven samples.
2.1.2. Magnetron Usable Material
- Copper target was from Testbourne Ltd. (Basingstoke, UK) with 99.99% purity.
2.1.3. Microbiological Strains
- The following bacterial and fungal strains were purchased from Microbiologics (St. Cloud, MN, USA):
- Escherichia coli (ATCC 25922).
- Staphylococcus aureus (ATCC 6538).
- Pseudomonas aeruginosa (ATCC 27853).
- Chaetomium globosum (ATCC 6205).
- Candida albicans (ATCC 10231).
2.1.4. Activated Partial Thromboplastin Time (aPTT), Prothrombin Time (PT) and Thrombin Time (TT)
2.2. Methods
2.2.1. PLA–Cu Composites Synthesis
PLA Nonwoven Fabrics
Magnetron Sputtering Modification of Poly(Lactide) Nonwovens
2.2.2. PLA–Cu Composite Physical Characterization
Microscopy Analysis
Specific Surface Area and Total Pore Volume Analysis
2.2.3. PLA–Cu Composite Biological Characterization
Antimicrobial Properties
Biochemical–Hematological Properties
- Activated Partial Thromboplastin Time (aPTT)
- 2.
- Prothrombin Time (PT) and Thrombin Time (TT)
3. Results and Discussion
3.1. Magnetron Sputtering Modification of Poly(Lactide) Nonwovens
3.2. Physical Characteristics of PLA–Cu Composites
3.2.1. Atomic Absorption Spectrometry with Flame Excitation (FAAS)
3.2.2. Microscopy Analysis
3.2.3. Specific Surface Area and Total Pore Volume Analysis
3.3. Biological Properties
3.3.1. Antimicrobial Properties
3.3.2. Biochemical–Hematological Properties
Blood Plasma Clotting—Activated Partial Thromboplastin Time (aPTT)
Prothrombin Time (PT) and Thrombin Time (TT)
4. Conclusions
Author Contributions
Funding
Institutional Review Board Statement
Informed Consent Statement
Conflicts of Interest
References
- Nikiforov, A.Y.; Deng, X.; Onyshchenko, I.; Vujosevic, D.; Vuksanovic, V.; Cvelbar, U.; De Geyter, N.; Morent, R.; Leys, C. Atmospheric pressure plasma deposition of antimicrobial coatings on non-woven textiles. Eur. Phys. J. Appl. Phys. 2016, 75, 24710. [Google Scholar] [CrossRef]
- Wei, Q.; Xiao, X.; Hou, D.; Ye, H.; Huang, F. Characterization of nonwoven material functionalized by sputter coating of copper. Surf. Coat. Technol. 2008, 202, 2535–2539. [Google Scholar] [CrossRef]
- Preem, L.; Kogermann, K. Electrospun Antimicrobial Wound Dressings: Novel Strategies to Fight Against Wound Infections. In Chronic Wounds, Wound Dressings and Wound Healing; Shiffman, M., Low, M., Eds.; Recent Clinical Techniques, Results, and Research in Wounds; Springer: Cham, Switzerland, 2018; Volume 6. [Google Scholar] [CrossRef]
- Azimi, B.; Maleki, H.; Zavagna, L.; de la Ossa, J.G.; Linari, S.; Lazzeri, A.; Danti, S. Bio-based electrospun fibers for wound healing. J. Funct. Biomater. 2020, 11, 67. [Google Scholar] [CrossRef] [PubMed]
- Trevisol, T.C.; Langbehn, R.K.; Battiston, S.; Immich, A.P.S. Nonwoven membranes for tissue engineering: An overview of cartilage, epithelium, and bone regeneration. J. Biomater. Sci. Polym. Ed. 2019, 30, 1026–1049. [Google Scholar] [CrossRef] [PubMed]
- Maryin, P.V.; Bolbasov, E.N.; Tverdokhlebov, S.I. The physico-chemical properties of electrospun vascular PLLA scaffolds modified by the DC magnetron sputtering of a titanium target. J. Phys. Conf. Ser. 2018, 1115, 032076. [Google Scholar] [CrossRef]
- Ghosal, K.; Manakhov, A.; Zajíčková, L.; Thomas, S. Structural and surface compatibility study of modified electrospun poly(ε-caprolactone) (PCL) composites for skin tissue engineering. AAPS PharmSciTech 2017, 18, 72–81. [Google Scholar] [CrossRef] [PubMed]
- Zhang, K.; Zheng, H.; Liang, S.; Gao, C. Aligned PLLA nanofibrous scaffolds coated with graphene oxide for promoting neural cell growth. Acta Biomater. 2016, 37, 131–142. [Google Scholar] [CrossRef]
- Bolbasov, E.N.; Maryin, P.V.; Stankevich, K.S.; Kozelskaya, A.I.; Shesterikov, E.V.; Khodyrevskaya, Y.I.; Nasonova, M.V.; Shishkova, D.K.; Kudryavtseva, Y.A.; Anissimov, Y.G.; et al. Surface modification of electrospun poly-(L-lactic) acid scaffolds by reactive magnetron sputtering. Colloids Surf. B Biointerfaces 2018, 162, 43–51. [Google Scholar] [CrossRef]
- Bolbasov, E.N.; Antonova, L.V.; Stankevich, K.S.; Ashrafov, A.; Matveeva, V.G.; Velikanova, E.A.; Hodyrevskaya, Y.I.; Kudryavtseva, Y.A.; Anissimov, Y.G.; Tverdokhlebov, S.I.; et al. The use of magnetron sputtering for the deposition of thin titanium coatings on the surface of bioresorbable electrospun fibrous scaffolds for vascular tissue engineering: A pilot study. Appl. Surf. Sci. 2017, 398, 63–72. [Google Scholar] [CrossRef]
- Pantojas, V.M.; Velez, E.; Hernández, D.; Otaño, W. Initial study on fibers and coatings for the fabrication of bioscaffolds. P. R. Health Sci. J. 2009, 28, 258–265. [Google Scholar]
- Cai, S.; Pourdeyhimi, B.; Loboa, E.G. Industrial-scale fabrication of an osteogenic and antibacterial PLA/silver-loaded calcium phosphate composite with significantly reduced cytotoxicity. J. Biomed. Mater. Res. Part B Appl. Biomater. 2019, 107, 900–910. [Google Scholar] [CrossRef] [PubMed]
- Shim, I.K.; Jung, M.R.; Kim, K.H.; Seol, Y.J.; Park, Y.J.; Park, W.H.; Lee, S.J. Novel three-dimensional scaffolds of poly(L-lactic acid) microfibers using electrospinning and mechanical expansion: Fabrication and bone regeneration. J. Biomed. Mater. Res. Part B Appl. Biomater. 2010, 95, 150–160. [Google Scholar] [CrossRef] [PubMed]
- Rajzer, I. Fabrication of bioactive polycaprolactone/hydroxyapatite scaffolds with final bilayer nano-/micro-fibrous structures for tissue engineering application. J. Mater. Sci. 2014, 49, 5799–5807. [Google Scholar] [CrossRef]
- Rajzer, I.; Grzybowska-Pietras, J.; Janicki, J. Fabrication of bioactive carbon nonwovens for bone tissue regeneration. Fibres Text. East. Eur. 2011, 84, 66–72. [Google Scholar]
- Hammonds, R.L.; Gazzola, W.H.; Benson, R.S. Physical and thermal characterization of polylactic acid meltblown nonwovens. J. Appl. Polym. Sci. 2014, 131, 1–7. [Google Scholar] [CrossRef]
- Morent, R.; De Geyter, N.; Desmet, T.; Dubruel, P.; Leys, C. Plasma surface modification of biodegradable polymers: A review. Plasma Process. Polym. 2011, 8, 171–190. [Google Scholar] [CrossRef]
- Badaraev, A.D.; Nemoykina, A.L.; Bolbasov, E.N.; Tverdokhlebov, S.I. PLLA scaffold modification using magnetron sputtering of the copper target to provide antibacterial properties. Resour. Technol. 2017, 3, 204–211. [Google Scholar] [CrossRef]
- Farah, S.; Anderson, D.G.; Langer, R. Physical and mechanical properties of PLA, and their functions in widespread applications—A comprehensive review. Adv. Drug Deliv. Rev. 2016, 107, 367–392. [Google Scholar] [CrossRef]
- DeStefano, V.; Khan, S.; Tabada, A. Applications of PLA in modern medicine. Eng. Regen. 2020, 1, 76–87. [Google Scholar] [CrossRef]
- Foong, C.Y.; Hamzah, M.S.A.; Razak, S.I.A.; Saidin, S.; Nayan, N.H.M. Influence of poly(lactic acid) layer on the physical and antibacterial properties of dry bacterial cellulose sheet for potential acute wound healing materials. Fibers Polym. 2018, 19, 263–271. [Google Scholar] [CrossRef]
- Khazaeli, P.; Alaei, M.; Khaksarihadad, M.; Ranjbar, M. Preparation of PLA/chitosan nanoscaffolds containing cod liver oil and experimental diabetic wound healing in male rats study. J. Nanobiotechnol. 2020, 18, 176. [Google Scholar] [CrossRef] [PubMed]
- Xu, X.; Zhou, G.; Li, X.; Zhuang, X.; Wang, W.; Cai, Z.; Li, M.; Li, H. Solution blowing of chitosan/PLA/PEG hydrogel nanofibers for wound dressing. Fibers Polym. 2016, 17, 205–211. [Google Scholar] [CrossRef]
- Hussein, M.A.M.; Su, S.; Ulag, S.; Woźniak, A.; Grinholc, M.; Erdemir, G.; Kuruca, S.E.; Gunduz, O.; Muhammed, M.; El-Sherbiny, I.M.; et al. Development and in vitro evaluation of biocompatible pla-based trilayer nanofibrous membranes for the delivery of nanoceria: A novel approach for diabetic wound healing. Polymers 2021, 13, 3630. [Google Scholar] [CrossRef] [PubMed]
- Fan, T.; Daniels, R. Preparation and characterization of electrospun polylactic acid (PLA) fiber loaded with birch bark triterpene extract for wound dressing. AAPS PharmSciTech 2021, 22, 205. [Google Scholar] [CrossRef]
- Zhong, G.; Qiu, M.; Zhang, J.; Jiang, F.; Yue, X.; Huang, C.; Zhao, S.; Zeng, R.; Zhang, C.; Qu, Y. Fabrication and characterization of PVA@PLA electrospinning nanofibers embedded with Bletilla striata polysaccharide and Rosmarinic acid to promote wound healing. Int. J. Biol. Macromol. 2023, 234, 123693. [Google Scholar] [CrossRef]
- Karami, Z.; Rezaeian, I.; Zahedi, P.; Abdollahi, M. Preparation and performance evaluations of electrospun poly(ε-caprolactone), poly(lactic acid), and their hybrid (50/50) nanofibrous mats containing thymol as an herbal drug for effective wound healing. J. Appl. Polym. Sci. 2013, 129, 756–766. [Google Scholar] [CrossRef]
- Pakolpakçıl, A.; Draczyński, Z.; Szulc, J.; Stawski, D.; Tarzyńska, N.; Bednarowicz, A.; Sikorski, D.; Hernandez, C.; Sztajnowski, S.; Krucińska, I.; et al. An in vitro study of antibacterial properties of electrospun hypericum perforatum oil-loaded poly(Lactic acid) nonwovens for potential biomedical applications. Appl. Sci. 2021, 11, 8219. [Google Scholar] [CrossRef]
- Mohiti-Asli, M.; Saha, S.; Murphy, S.V.; Gracz, H.; Pourdeyhimi, B.; Atala, A.; Loboa, E.G. Ibuprofen loaded PLA nanofibrous scaffolds increase proliferation of human skin cells in vitro and promote healing of full thickness incision wounds in vivo. J. Biomed. Mater. Res. Part B Appl. Biomater. 2017, 105, 327–339. [Google Scholar] [CrossRef]
- Sharifi, M.; Bahrami, S.H.; Nejad, N.H.; Milan, P.B. Electrospun PCL and PLA hybrid nanofibrous scaffolds containing Nigella sativa herbal extract for effective wound healing. J. Appl. Polym. Sci. 2020, 137, 9–11. [Google Scholar] [CrossRef]
- Li, L.; Liu, X.; Niu, Y.; Ye, J.; Huang, S.; Liu, C.; Xu, K. Synthesis and wound healing of alternating block polyurethanes based on poly(lactic acid) (PLA) and poly(ethylene glycol) (PEG). J. Biomed. Mater. Res. Part B Appl. Biomater. 2017, 105, 1200–1209. [Google Scholar] [CrossRef]
- Hajikhani, M.; Emam-Djomeh, Z.; Askari, G. Fabrication and characterization of mucoadhesive bioplastic patch via coaxial polylactic acid (PLA) based electrospun nanofibers with antimicrobial and wound healing application. Int. J. Biol. Macromol. 2021, 172, 143–153. [Google Scholar] [CrossRef] [PubMed]
- Li, T.T.; Lou, C.W.; Chen, A.P.; Lee, M.C.; Ho, T.F.; Chen, Y.S.; Lin, J.H. Highly absorbent antibacterial hemostatic dressing for healing severe hemorrhagic wounds. Materials 2016, 9, 793. [Google Scholar] [CrossRef]
- Milanesi, G.; Vigani, B.; Rossi, S.; Sandri, G.; Mele, E. Chitosan-coated poly(Lactic acid) nanofibres loaded with essential oils for wound healing. Polymers 2021, 13, 2582. [Google Scholar] [CrossRef] [PubMed]
- Alippilakkotte, S.; Kumar, S.; Sreejith, L. Fabrication of PLA/Ag nanofibers by green synthesis method using Momordica charantia fruit extract for wound dressing applications. Colloids Surfaces A Physicochem. Eng. Asp. 2017, 529, 771–782. [Google Scholar] [CrossRef]
- Elsayed, R.E.; Madkour, T.M.; Azzam, R.A. Tailored-design of electrospun nanofiber cellulose acetate/poly(lactic acid) dressing mats loaded with a newly synthesized sulfonamide analog exhibiting superior wound healing. Int. J. Biol. Macromol. 2020, 164, 1984–1999. [Google Scholar] [CrossRef] [PubMed]
- Wang, L.; Li, D.; Shen, Y.; Liu, F.; Zhou, Y.; Wu, H.; Liu, Q.; Deng, B. Preparation of Centella asiatica loaded gelatin/chitosan/nonwoven fabric composite hydrogel wound dressing with antibacterial property. Int. J. Biol. Macromol. 2021, 192, 350–359. [Google Scholar] [CrossRef] [PubMed]
- Ren, Y.; Huang, L.; Wang, Y.; Mei, L.; Fan, R.; He, M.; Wang, C.; Tong, A.; Chen, H.; Guo, G. Stereocomplexed electrospun nanofibers containing poly(lactic acid) modified quaternized chitosan for wound healing. Carbohydr. Polym. 2020, 247, 116754. [Google Scholar] [CrossRef] [PubMed]
- Wyrwa, R.; Otto, K.; Voigt, S.; Enkelmann, A.; Schnabelrauch, M.; Neubert, T.; Schneider, G. Electrospun mucosal wound dressings containing styptics for bleeding control. Mater. Sci. Eng. C 2018, 93, 419–428. [Google Scholar] [CrossRef] [PubMed]
- Jang, S.I.; Mok, J.Y.; Jeon, I.H.; Park, K.H.; Nguyen, T.T.T.; Park, J.S.; Hwang, H.M.; Song, M.S.; Lee, D.; Chai, K.Y. Effect of electrospun non-woven mats of dibutyryl chitin/poly(lactic acid) blends on wound healing in hairless mice. Molecules 2012, 17, 2992–3007. [Google Scholar] [CrossRef]
- Kudzin, M.H.; Kaczmarek, A.; Mrozińska, Z.; Olczyk, J. Deposition of copper on polyester knitwear fibers by a magnetron sputtering system. Physical properties and evaluation of antimicrobial response of new multi-functional composite materials. Appl. Sci. 2020, 10, 6990. [Google Scholar] [CrossRef]
- Kudzin, M.H.; Mrozinska, Z.; Kaczmarek, A.; Lisiak-Kucinska, A. Deposition of copper on poly(lactide) non-woven fabrics by magnetron sputtering–fabrication of new multi-functional, antimicrobial composite. Materials 2020, 13, 3971. [Google Scholar] [CrossRef] [PubMed]
- Kudzin, M.H.; Boguń, M.; Mrozińska, Z.; Kaczmarek, A. Physical properties, chemical analysis, and evaluation of antimicrobial response of new polylactide/alginate/copper composite materials. Mar. Drugs. 2020, 18, 660. [Google Scholar] [CrossRef] [PubMed]
- Kudzin, M.H.; Giełdowska, M.; Mrozinska, Z.; Bogun, M. Poly(lactic acid)/Zinc/Alginate complex material: Preparation and antimicrobial properties. Antibiotics 2021, 10, 1327. [Google Scholar] [CrossRef] [PubMed]
- Spasova, M.; Manolova, N.; Paneva, D.; Mincheva, R.; Dubois, P.; Rashkov, I.; Maximova, V.; Danchev, D. Polylactide stereocomplex-based electrospun materials possessing surface with antibacterial and hemostatic properties. Biomacromolecules 2010, 11, 151–159. [Google Scholar] [CrossRef] [PubMed]
- Birajdar, M.S.; Halake, K.S.; Lee, J. Blood-clotting mimetic behavior of biocompatible microgels. J. Ind. Eng. Chem. 2018, 63, 117–123. [Google Scholar] [CrossRef]
- Wakabayashi, T.; Yagi, H.; Tajima, K.; Kuroda, K.; Shinoda, M.; Kitago, M.; Abe, Y.; Oshima, G.; Hirukawa, K.; Itano, O.; et al. Efficacy of new polylactic acid nonwoven fabric as a hemostatic agent in a rat liver resection model. Surg. Innov. 2019, 26, 312–320. [Google Scholar] [CrossRef] [PubMed]
- Delyanee, M.; Solouk, A.; Akbari, S.; Daliri Joupari, M. Engineered hemostatic bionanocomposite of poly(lactic acid) electrospun mat and amino-modified halloysite for potential application in wound healing. Polym. Adv. Technol. 2021, 32, 3934–3947. [Google Scholar] [CrossRef]
- Delyanee, M.; Solouk, A.; Akbari, S.; Daliri, M. Hemostatic Electrospun nanocomposite containing poly(lactic acid)/halloysite nanotube functionalized by poly(amidoamine) dendrimer for wound healing application: In vitro and in vivo assays. Macromol. Biosci. 2022, 22, 2100313. [Google Scholar] [CrossRef]
- Belozerskaya, G.G.; Makarov, V.A.; Zhidkov, E.A.; Malykhina, L.S.; Sergeeva, O.A.; Ter-Arutyunyants, A.A.; Makarova, L.V. Local hemostatics (A review). Pharm. Chem. J. 2006, 40, 353–359. [Google Scholar] [CrossRef]
- van Rensburg, M.J.; van Rooy, M.; Bester, M.J.; Serem, J.C.; Venter, C.; Oberholzer, H.M. Oxidative and haemostatic effects of copper, manganese and mercury, alone and in combination at physiologically relevant levels: An ex vivo study. Hum. Exp. Toxicol. 2019, 38, 419–433. [Google Scholar] [CrossRef]
- Kong, Y.; Hou, Z.; Zhou, L.; Zhang, P.; Ouyang, Y.; Wang, P.; Chen, Y.; Luo, X. Injectable self-healing hydrogels containing CuS nanoparticles with abilities of hemostasis, antibacterial activity, and promoting wound healing. ACS Biomater. Sci. Eng. 2021, 7, 335–349. [Google Scholar] [CrossRef] [PubMed]
- Szewc, M.; Markiewicz-Gospodarek, A.; Górska, A.; Chilimoniuk, Z.; Rahnama, M.; Radzikowska-Buchner, E.; Strzelec-Pawelczak, K.; Bakiera, J.; Maciejewski, R. The role of zinc and copper in platelet activation and pathophysiological thrombus formation in patients with pulmonary embolism in the course of SARS-CoV-2 infection. Biology 2022, 11, 752. [Google Scholar] [CrossRef] [PubMed]
- Tarantino, G.; Citro, V.; Capone, D.; Gaudiano, G.; Sinatti, G.; Santini, S.J.; Balsano, C. Copper concentrations are prevalently associated with antithrombin III, but also with prothrombin time and fibrinogen in patients with liver cirrhosis: A cross-sectional retrospective study. J. Trace Elem. Med. Biol. 2021, 68, 126802. [Google Scholar] [CrossRef] [PubMed]
- Chen, J.; He, J.; Yang, Y.; Qiao, L.; Hu, J.; Zhang, J.; Guo, B. Antibacterial adhesive self-healing hydrogels to promote diabetic wound healing. Acta Biomater. 2022, 146, 119–130. [Google Scholar] [CrossRef] [PubMed]
- Yang, C.; Zhang, Z.; Gan, L.; Zhang, L.; Yang, L.; Wu, P. Application of biomedical microspheres in wound healing. Int. J. Mol. Sci. 2023, 24, 7319. [Google Scholar] [CrossRef] [PubMed]
- Uriu-Adams, J.Y.; Keen, C.L. Copper, oxidative stress, and human health. Mol. Aspects Med. 2005, 26, 268–298. [Google Scholar] [CrossRef] [PubMed]
- Gaetke, L.M.; Chow, C.K. Copper toxicity, oxidative stress, and antioxidant nutrients. Toxicology 2003, 189, 147–163. [Google Scholar] [CrossRef]
- Emam, H.E.; Manian, A.P.; Široká, B.; Duelli, H.; Merschak, P.; Red, B.; Bechtold, T. Copper(I)oxide surface modified cellulose fibers-Synthesis, characterization and antimicrobial properties. Surf. Coatings Technol. 2014, 254, 344–351. [Google Scholar] [CrossRef]
- Cady, N.C.; Behnke, J.L.; Strickland, A.D. Copper-based nanostructured coatings on natural cellulose: Nanocomposites exhibiting rapid and efficient inhibition of a multi-drug resistant wound pathogen, A. baumannii, and mammalian cell biocompatibility in vitro. Adv. Funct. Mater. 2011, 21, 2506–2514. [Google Scholar] [CrossRef]
- Vincent, M.; Hartemann, P.; Engels-Deutsch, M. Antimicrobial applications of copper. Int. J. Hyg. Environ. Health 2016, 219, 585–591. [Google Scholar] [CrossRef]
- Ingle, A.P.; Duran, N.; Rai, M. Bioactivity, mechanism of action, and cytotoxicity of copper-based nanoparticles: A review. Appl. Microbiol. Biotechnol. 2014, 98, 1001–1009. [Google Scholar] [CrossRef]
- Borkow, G.; Gabbay, J. Putting copper into action: Copper-impregnated products with potent biocidal activities. Faseb J. 2004, 18, 1728–1730. [Google Scholar] [CrossRef] [PubMed]
- Heliopoulos, N.S.; Papageorgiou, S.K.; Galeou, A.; Favvas, E.P.; Katsaros, F.K.; Stamatakis, K. Effect of copper and copper alginate treatment on wool fabric. Study of textile and antibacterial properties. Surf. Coatings Technol. 2013, 235, 24–31. [Google Scholar] [CrossRef]
- Perelshtein, I.; Applerot, G.; Perkas, N.; Wehrschuetz-Sigl, E.; Hasmann, A.; Guebitz, G.; Gedanken, A. CuO-cotton nanocomposite: Formation, morphology, and antibacterial activity. Surf. Coatings Technol. 2009, 204, 54–57. [Google Scholar] [CrossRef]
- Emam, H.E.; Ahmed, H.B.; Bechtold, T. In-situ deposition of Cu2O micro-needles for biologically active textiles and their release properties. Carbohydr. Polym. 2017, 165, 255–265. [Google Scholar] [CrossRef] [PubMed]
- Bajpai, S.K.; Bajpai, M.; Sharma, L. Copper nanoparticles loaded alginate-impregnated cotton fabric with antibacterial properties. J. Appl. Polym. Sci. 2012, 126, E319–E326. [Google Scholar] [CrossRef]
- Alizadeh, S.; Seyedalipour, B.; Shafieyan, S.; Kheime, A.; Mohammadi, P.; Aghdami, N. Copper nanoparticles promote rapid wound healing in acute full thickness defect via acceleration of skin cell migration, proliferation, and neovascularization. Biochem. Biophys. Res. Commun. 2019, 517, 684–690. [Google Scholar] [CrossRef] [PubMed]
- Kornblatt, A.P.; Nicoletti, V.G.; Travaglia, A. The neglected role of copper ions in wound healing. J. Inorg. Biochem. 2016, 161, 1–8. [Google Scholar] [CrossRef]
- Borkow, G.; Gabbay, J.; Dardik, R.; Eidelman, A.I.; Lavie, Y.; Grunfeld, Y.; Ikher, S.; Huszar, M.; Zatcoff, R.C.; Marikovsky, M. Molecular mechanisms of enhanced wound healing by copper oxide-impregnated dressings. Wound Repair Regen. 2010, 18, 266–275. [Google Scholar] [CrossRef]
- Sen, C.K.; Khanna, S.; Venojarvi, M.; Trikha, P.; Ellison, C.; Hunt, T.K.; Roy, S. Copper-induced vascular endothelial growth factor expression and wound healing. Am. J. Physiol. Heart Circ. Physiol. 2002, 282, 1821–1827. [Google Scholar] [CrossRef]
- Cucci, L.M.; Satriano, C.; Marzo, T.; La Mendola, D. Angiogenin and copper crossing in wound healing. Int. J. Mol. Sci. 2021, 22, 10704. [Google Scholar] [CrossRef] [PubMed]
- Tiwari, M.; Narayanan, K.; Thakar, M.B.; Jagani, H.V.; Rao, J.V. Biosynthesis and wound healing activity of copper nanoparticles. IET Nanobiotechnol. 2014, 8, 230–237. [Google Scholar] [CrossRef]
- Cangul, I.T.; Gul, N.Y.; Topal, A.; Yilmaz, R. Evaluation of the effects of topical tripeptide-copper complex and zinc oxide on open-wound healing in rabbits. Vet. Dermatol. 2006, 17, 417–423. [Google Scholar] [CrossRef] [PubMed]
- Wei, Q.; Yu, L.; Hou, D.; Huang, F. Surface characterization and properties of functionalized nonwoven. J. Appl. Polym. Sci. 2008, 107, 132–137. [Google Scholar] [CrossRef]
- Shahidi, S.; Ghoranneviss, M.; Moazzenchi, B.; Rashidi, A.; Mirjalili, M. Investigation of antibacterial activity on cotton fabrics with cold plasma in the presence of a magnetic field. Plasma Process. Polym. 2007, 4, 1098–1103. [Google Scholar] [CrossRef]
- Liu, J.; Shi, R.; Hua, Y.; Gao, J.; Chen, Q.; Xu, L. A new cyanoacrylate-poly(lactic acid)-based system for a wound dressing with on-demand removal. Mater. Lett. 2021, 293, 129666. [Google Scholar] [CrossRef]
- Ponczek, M.B.; Shamanaev, A.; LaPlace, A.; Dickeson, S.K.; Srivastava, P.; Sun, M.F.; Gruber, A.; Kastrup, C.; Emsley, J.; Gailani, D. The evolution of factor XI and the kallikrein-kinin system. Blood Adv. 2020, 4, 6135–6147. [Google Scholar] [CrossRef]
- Analytical Methods for Atomic Absorption Spectroscopy. The Perkin-Elmer Corporation. 1996. Volume 46. Available online: www.perkinelmer.com (accessed on 13 November 2023).
- EN ISO 20645:2006; Textile Fabrics. Determination of Antibacterial Activity—Agar Diffusion Plate Test. International Organization for Standardization: Geneva, Switzerland, 2006.
- EN 14119: 2005 point 10.5 (B2); Testing of Textiles. Evaluation of the Action of Microfungi. Visual Method. International Organization for Standardization: Geneva, Switzerland, 2005.
- Durrant, P.J.; Durrant, B. Introduction to Advanced Inorganic Chemistry; Longmans, Green&Co.: London, UK, 1962. [Google Scholar]
- Percec, V.; Guliashvili, T.; Ladislaw, J.S.; Wistrand, A.; Stjerndahl, A.; Sienkowska, M.J.; Monteiro, M.J.; Sahoo, S. Ultrafast synthesis of ultrahigh molar mass polymers by metal-catalyzed living radical polymerization of acrylates, methacrylates, and vinyl chloride mediated by SET at 25 °C. J. Am. Chem. Soc. 2006, 128, 14156–14165. [Google Scholar] [CrossRef]
- Boyer, C.; Corrigan, N.A.; Jung, K.; Nguyen, D.; Nguyen, T.K.; Adnan, N.N.M.; Oliver, S.; Shanmugam, S.; Yeow, J. Copper-mediated living radical polymerization (atom transfer radical polymerization and copper(0) mediated polymerization): From fundamentals to bioapplications. Chem. Rev. 2016, 116, 1803–1949. [Google Scholar] [CrossRef]
- Jones, G.R.; Anastasaki, A.; Whitfield, R.; Engelis, N.; Liarou, E.; Haddleton, D.M. Copper-Mediated Reversible Deactivation Radical Polymerization in aqueous media. Angew. Chem. Int. Ed. 2018, 57, 10468–10482. [Google Scholar] [CrossRef]
- Wang, J.; Li, C.; Zhu, Y.; Boscoboinik, J.A.; Zhou, G. Insight into the phase transformation pathways of copper oxidation: From oxygen chemisorption on the clean surface to multilayer bulk oxide growth. J. Phys. Chem. C 2018, 122, 26519–26527. [Google Scholar] [CrossRef]
- Andersson, K.; Ketteler, G.; Bluhm, H.; Yamamoto, S.; Ogasawara, H.; Pettersson, L.G.M.; Salmeron, M.; Nilsson, A. Autocatalytic water dissociation on Cu(110) at near ambient conditions. J. Amer. Chem. Soc. 2008, 130, 2793–2797. [Google Scholar] [CrossRef] [PubMed]
- Lee, J.; Sorescu, D.C.; Jordan, K.D.; Yates, J.T. Hydroxyl chain formation on the Cu(110) surface: Watching water dissociation. J. Phys. Chem. C 2008, 112, 17672–17677. [Google Scholar] [CrossRef]
- Chen, L.; Lu, J.; Liu, P.; Gao, L.; Liu, Y.; Xiong, F.; Qiu, S.; Qiu, X.; Guo, Y.; Chen, X. Dissociation and charge transfer of H2O on Cu(110) probed in real time using ion scattering spectroscopy. Langmuir 2016, 32, 12047–12055. [Google Scholar] [CrossRef] [PubMed]
- Booth, N.A.; Davis, R.; Toomes, R.; Woodruff, D.P.; Hirschmugl, C.; Schindler, K.M.; Schaff, O.; Fernandez, V.; Theobald, A.; Hofmann, P.; et al. Structure determination of ammonia on Cu(110)—A low-symmetry adsorption site. Surf. Sci. 1997, 387, 152–159. [Google Scholar] [CrossRef]
- Baumgärtel, P.; Lindsay, R.; Giessel, T.; Schaff, O.; Bradshaw, A.M.; Woodruff, D.P. Structure determination of ammonia on Cu(111). J. Phys. Chem. B 2000, 104, 3044–3049. [Google Scholar] [CrossRef]
- Pradier, C.-M.; Adamski, A.; Méthivier, C.; Louis-Rose, I. Interaction of NH3 and oxygen with Cu(110), investigated by FT-IRAS. J. Mol. Catal. A Chem. 2002, 186, 193–201. [Google Scholar] [CrossRef]
- Yao, Y.; Guerrero-Sánchez, J.; Takeuchi, N.; Zaera, F. Coadsorption of formic acid and hydrazine on Cu(110) Single-Crystal Surfaces. J. Phys. Chem. C 2019, 123, 7584–7593. [Google Scholar] [CrossRef]
- Zhou, M.; Andrews, L.; Bauschlicher, C.W. Spectroscopic and theoretical investigations of vibrational frequencies in binary unsaturated transition-metal carbonyl cations, neutrals, and anions. Chem. Rev. 2001, 101, 1931–1961. [Google Scholar] [CrossRef]
- Ample, F.; Curulla, D.; Fuster, F.; Clotet, A.; Ricart, J.M. Adsorption of CO and CN− on transition metal surfaces: A comparative study of the bonding mechanism. Surf. Sci. 2002, 497, 139–154. [Google Scholar] [CrossRef]
- Fischer, P.J. Group VI metal complexes of carbon monoxide and isocyanides. In Comprehensive Organometallic Chemistry IV; Elsevier: Amsterdam, The Netherlands, 2022; Volume 6, pp. 352–448. [Google Scholar] [CrossRef]
- Sexton, B.A. The structure of acetate species on copper (100). Chem. Phys. Lett. 1979, 65, 469–471. [Google Scholar] [CrossRef]
- Bowker, M.; Madix, R.J. The adsorption and oxidation of acetic acid and acetaldehyde on Cu(110). Appl. Surf. Sci. 1981, 8, 299–317. [Google Scholar] [CrossRef]
- Hayden, B.E.; Prince, K.; Woodruff, D.P.; Bradshaw, A.M. An IRAS study of formic acid and surface formate adsorbed on Cu(110). Surf. Sci. 1983, 133, 589–604. [Google Scholar] [CrossRef]
- White, T.W.; Duncan, D.A.; Fortuna, S.; Wang, Y.-L.; Moreton, B.; Lee, T.L.; Blowey, P.; Costantini, G.; Woodruff, D.P. A structural investigation of the interaction of oxalic acid with Cu(110). Surf. Sci. 2018, 668, 134–143. [Google Scholar] [CrossRef]
- Bavisotto, R.; Rana, R.; Hopper, N.; Tysoe, W.T. Structure and reaction pathways of octanoic acid on copper. Surf. Sci. 2021, 711, 121875. [Google Scholar] [CrossRef]
- Shiotari, A.; Putra, S.E.M.; Shiozawa, Y.; Hamamoto, Y.; Inagaki, K.; Morikawa, Y.; Sugimoto, Y.; Yoshinobu, J.; Hamada, I. Role of intermolecular interactions in the catalytic reaction of formic acid on Cu(111). Small 2021, 17, 2008010. [Google Scholar] [CrossRef] [PubMed]
- Osada, W.; Tanaka, S.; Mukai, K.; Choi, Y.H.; Yoshinobu, J. Adsorption, desorption, and decomposition of formic acid on Cu(977): The importance of facet of the step. J. Phys. Chem. C 2022, 126, 8354–8363. [Google Scholar] [CrossRef]
- Lambert, R.M.; Williams, F.J.; Cropley, R.L.; Palermo, A. Heterogeneous alkene epoxidation: Past, present and future. J. Mol. Catal. A Chem. 2005, 228, 27–33. [Google Scholar] [CrossRef]
- Bilić, A.; Reimers, J.R.; Hush, N.S.; Hoft, R.C.; Ford, M.J. Adsorption of benzene on copper, silver, and gold surfaces. J. Chem. Theory Comput. 2006, 2, 1093–1105. [Google Scholar] [CrossRef]
- Jenks, C.J.; Bent, B.E.; Zaera, F. The chemistry of alkyl iodides on copper surfaces. 2. Influence of surface structure on reactivity. J. Phys. Chem. B 2000, 104, 3017–3027. [Google Scholar] [CrossRef]
- Airaksinen, S. Role of excipients in moisture sorption and physical stability of solid pharmaceutical formulations. Ph.D. Thesis, Faculty of Pharmacy of the University of Helsinki, Helsinki University Printing House, Helsinki, Finland, 2005. [Google Scholar]
- Thommes, M.; Kaneko, K.; Neimark, A.V.; Olivier, J.P.; Rodriguez-Reinoso, F.; Rouquerol, J.; Sing, K.S.W. Physisorption of gases, with special reference to the evaluation of surface area and pore size distribution (IUPAC Technical Report). Pure Appl. Chem. 2015, 87, 1051–1069. [Google Scholar] [CrossRef]
- Qi, L.; Tang, X.; Wang, Z.; Peng, X. Pore characterization of different types of coal from coal and gas outburst disaster sites using low temperature nitrogen adsorption approach. Int. J. Min. Sci. Technol. 2017, 27, 371–377. [Google Scholar] [CrossRef]
- Santo, E.C.; Quaranta, D.; Grass, G. Antimicrobial metallic copper surfaces kill Staphylococcus haemolyticus via membrane damage. Microbiologyopen 2012, 1, 46–52. [Google Scholar] [CrossRef] [PubMed]
- Warnes, S.L.; Caves, V.; Keevil, C.W. Mechanism of copper surface toxicity in Escherichia coli O157:H7 and Salmonella involves immediate membrane depolarization followed by slower rate of DNA destruction which differs from that observed for Gram-positive bacteria. Environ. Microbiol. 2012, 14, 1730–1743. [Google Scholar] [CrossRef] [PubMed]
- Warnes, S.L.; Green, S.M.; Michels, H.T.; Keevil, C.W. Biocidal efficacy of copper alloys against pathogenic enterococci involves degradation of genomic and plasmid DNA. Appl. Environ. Microbiol. 2010, 76, 5390–5401. [Google Scholar] [CrossRef] [PubMed]
- Weaver, L.; Noyce, J.O.; Michels, H.T.; Keevil, C.W. Potential action of copper surfaces on meticillin-resistant Staphylococcus aureus. J. Appl. Microbiol. 2010, 109, 2200–2205. [Google Scholar] [CrossRef] [PubMed]
- Mathews, S.; Hans, M.; Mücklich, F.; Solioz, M. Contact killing of bacteria on copper is sppressed if bacterial-metal contact is prevented and is induced on iron by copper ions. Appl. Environ. Microbiol. 2013, 79, 2605–2611. [Google Scholar] [CrossRef]
- Ramos-Zúñiga, J.; Bruna, N.; Pérez-Donoso, J.M. Toxicity mechanisms of copper nanoparticles and copper surfaces on bacterial cells and viruses. Int. J. Mol. Sci. 2023, 24, 0503. [Google Scholar] [CrossRef]
- Chang, T.; Babu, R.P.; Zhao, W.; Johnson, C.M.; Hedstrom, P.; Odnevall, I.; Leygraf, C. High-resolution microscopical studies of contact killing mechanisms on copper-based surfaces. ACS Appl. Mater. Interfaces 2021, 13, 49402–49413. [Google Scholar] [CrossRef]
- Grass, G.; Rensing, C.; Solioz, M. Metallic copper as an antimicrobial surface. Appl. Environ. Microbiol. 2011, 77, 1541–1547. [Google Scholar] [CrossRef]
- Mutch, N.J.; Waters, E.K.; Morrissey, J.H. Immobilized transition metals stimulate contact activation and drive factor XII-mediated coagulation. J. Thromb. Haemost. 2012, 10, 2108–2115. [Google Scholar] [CrossRef]
- Janisse, S.E.; Sharma, V.A.; Caceres, A.; Medici, V.; Heffern, M.C. Systematic evaluation of Copper(II)-loaded immobilized metal affinity chromatography for selective enrichment of copper-binding species in human serum and plasma. Metallomics 2022, 14, mfac059. [Google Scholar] [CrossRef]









| Melt-Blown Processing Parameters | |
|---|---|
| Temperature of the extruder in zone 1 | 195 °C |
| Temperature of the extruder in zone 2 | 245 °C |
| Temperature of the extruder in zone 3 | 260 °C |
| Head temperature | 260 °C |
| Air heater temperature | 260 °C |
| Air flow rate | 7–8 m3/h |
| Mass per unit area of nonwovens | 200 g/m2 (a) |
| Polymer yields | 6 g/min |
| DC Magnetron Sputtering System Processing Parameters | |
|---|---|
| Target | Copper (99.99%) |
| Power discharge | 0.5 kW (a) |
| Power density | 0.70 W/cm2 (b) |
| Working pressure | 2.0 × 10−3 mbar |
| Working atmosphere | Argon |
| Distance between sample and target | 15 cm |
| Deposition time | 5 min; 10 min; 20 min |
| Sputtered sample size | 60 cm × 20 cm |
| Sample Name | S. d. Time | Cu Concentration | Final Sample Name PLA–Cu(t)(mc) | ||||
|---|---|---|---|---|---|---|---|
| This Work | Lit. Data [96] | ||||||
| [min.] | [g/kg] | [mol/kg] | [g/kg] | [mol/kg] | |||
| PLA | - | - | - | 0.004 | 0.00006 | ||
| PLA–Cu(t) | PLA–Cu(5) | 5 | 0.85 | 0.013 | PLA–Cu(5)(0.01) | ||
| PLA–Cu(10) | 10 | 13.36 | 0.21 | PLA–Cu(10)(0.21) | |||
| PLA–Cu(10) | 9.91 | 0.16 | PLA–Cu(10)(0.16) | ||||
| PLA–Cu(20) | 20 | 32.92 | 0.52 | PLA–Cu(20)(0.52) | |||
| PLA–Cu(30) | 27.89 | 0.43 | PLA–Cu(30)(0.43) | ||||
| Sample Name | Copper Concentration. | Specific Surface Area (SSA) | Total Pore Volume (TPV) | |
|---|---|---|---|---|
| Mol/kg | m2/g | cm3/g | ||
| PLA | - | 0.9721 | 3.858 × 10−3 | |
| PLA–Cu(n)(mc) | PLA–Cu(5)(0.01) | 0.01 | 0.6465 | 2.235 × 10−3 |
| PLA–Cu(10)(0.21) | 0.21 | 0.6489 | 2.221 × 10−3 | |
| PLA–Cu(20)(0.52) | 0.52 | 0.6372 | 2.006 × 10−3 | |
| Sample Name | Average Inhibition Zone (mm) | |||||
|---|---|---|---|---|---|---|
| E. coli | S. aureus | P. aeruginosa | ||||
| This Work | Lit. [42] | This Work | Lit. [96] | |||
| PLA | 0 | 0 | 0 | |||
| PLA–Cu(n)(mc) | PLA–Cu(5)(0.01) | 0 | 0 | 0 | ||
| PLA–Cu(10)(0.16) | 2 | 1 | ||||
| PLA–Cu(10)(0.21) | 1 | 1 | 1 | |||
| PLA–Cu(20)(0.52) | 2 | 1 | 1 | |||
| PLA–Cu(30)(0.43) | 2 | 1 | ||||
| Sample Name | Average Inhibition Zone (mm) | ||
|---|---|---|---|
| Ch. globosum | C. albicans | ||
| PLA | 0 | 0 | |
| PLA–Cu(n)(mc) | PLA–Cu(5)(0.01) | 0 | 0 |
| PLA–Cu(10)(0.21) | no grow | no grow | |
| PLA–Cu(20)(0.52) | no grow | no grow | |
Disclaimer/Publisher’s Note: The statements, opinions and data contained in all publications are solely those of the individual author(s) and contributor(s) and not of MDPI and/or the editor(s). MDPI and/or the editor(s) disclaim responsibility for any injury to people or property resulting from any ideas, methods, instructions or products referred to in the content. |
© 2024 by the authors. Licensee MDPI, Basel, Switzerland. This article is an open access article distributed under the terms and conditions of the Creative Commons Attribution (CC BY) license (https://creativecommons.org/licenses/by/4.0/).
Share and Cite
Mrozińska, Z.; Kudzin, M.H.; Ponczek, M.B.; Kaczmarek, A.; Król, P.; Lisiak-Kucińska, A.; Żyłła, R.; Walawska, A. Biochemical Approach to Poly(Lactide)–Copper Composite—Impact on Blood Coagulation Processes. Materials 2024, 17, 608. https://doi.org/10.3390/ma17030608
Mrozińska Z, Kudzin MH, Ponczek MB, Kaczmarek A, Król P, Lisiak-Kucińska A, Żyłła R, Walawska A. Biochemical Approach to Poly(Lactide)–Copper Composite—Impact on Blood Coagulation Processes. Materials. 2024; 17(3):608. https://doi.org/10.3390/ma17030608
Chicago/Turabian StyleMrozińska, Zdzisława, Marcin H. Kudzin, Michał B. Ponczek, Anna Kaczmarek, Paulina Król, Agnieszka Lisiak-Kucińska, Renata Żyłła, and Anetta Walawska. 2024. "Biochemical Approach to Poly(Lactide)–Copper Composite—Impact on Blood Coagulation Processes" Materials 17, no. 3: 608. https://doi.org/10.3390/ma17030608
APA StyleMrozińska, Z., Kudzin, M. H., Ponczek, M. B., Kaczmarek, A., Król, P., Lisiak-Kucińska, A., Żyłła, R., & Walawska, A. (2024). Biochemical Approach to Poly(Lactide)–Copper Composite—Impact on Blood Coagulation Processes. Materials, 17(3), 608. https://doi.org/10.3390/ma17030608

