Effect of Mineral Powders on the Properties of Foam Concrete Prepared by Cationic and Anionic Surfactants as Foaming Agents
Abstract
1. Introduction
2. Materials and Methods
2.1. Materials
2.2. Preparation
2.3. Methods
3. Results
3.1. Cement Paste without Foam Properties
3.2. Workability and Mechanical Properties
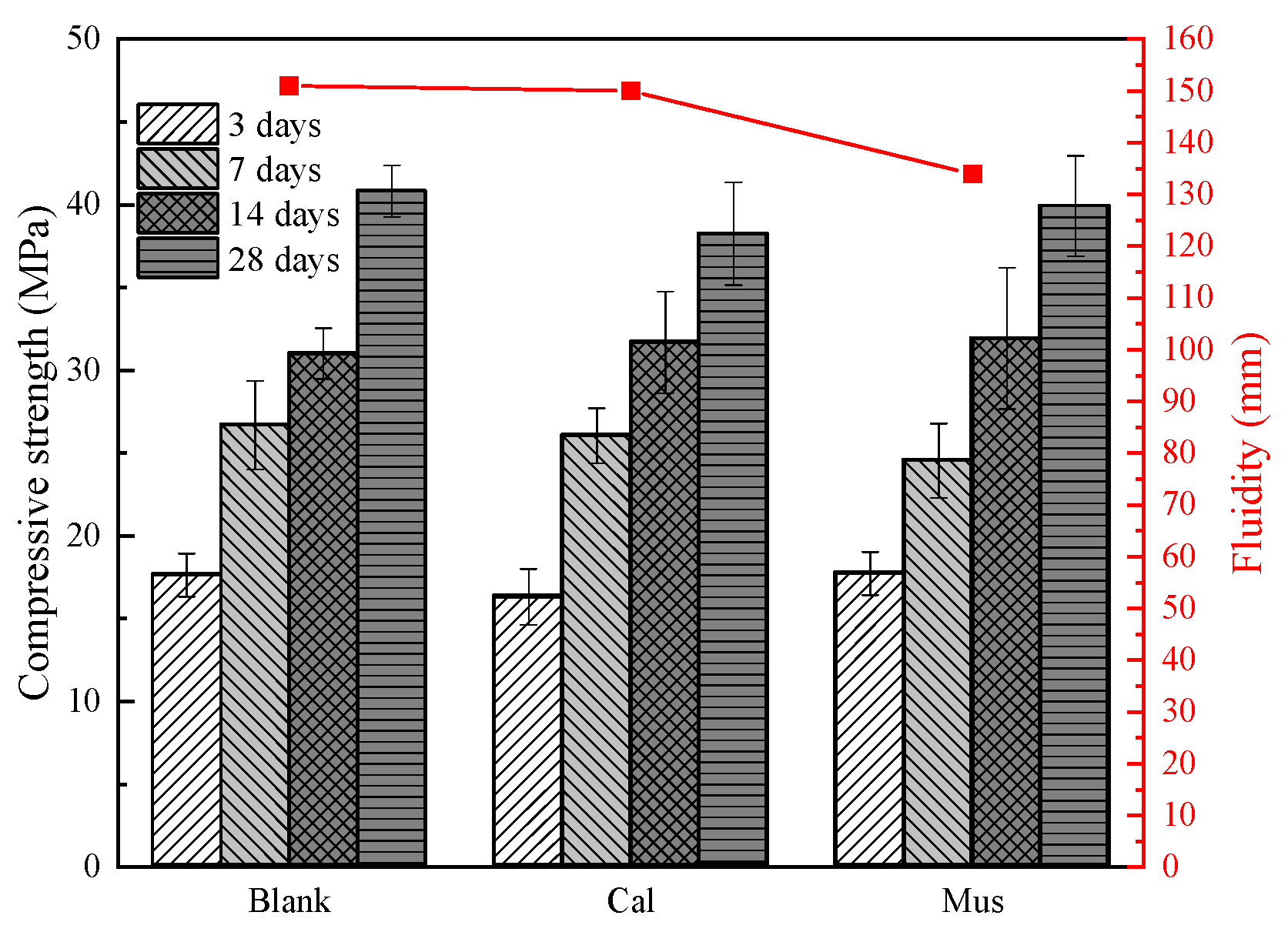
3.2.1. Fluidity
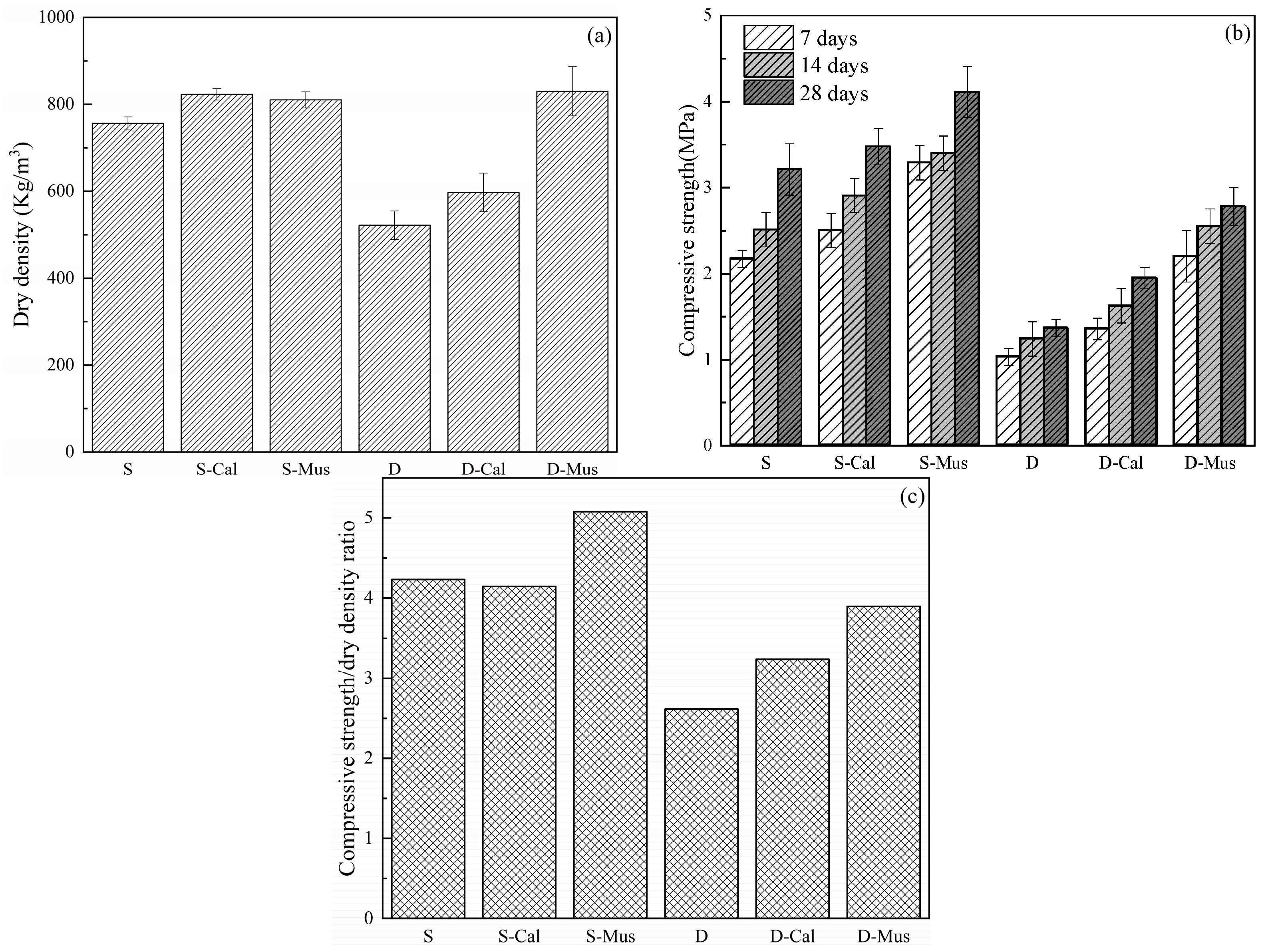
3.2.2. Compressive Strength and Dry Density
3.3. Physical Properties
3.3.1. Water Absorption
3.3.2. Pore Characteristics
3.4. Thermal Conductivity
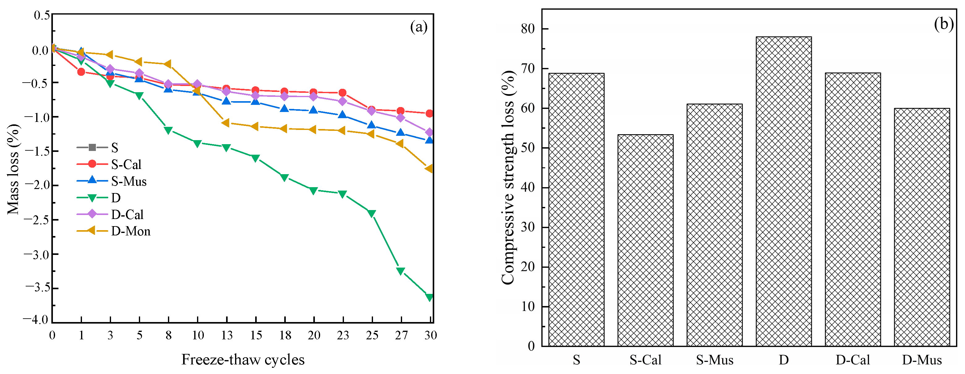
3.5. Frost Resistance
3.6. Mechanisms of Mineral Powder Enhancement
3.6.1. XRD Analysis Results
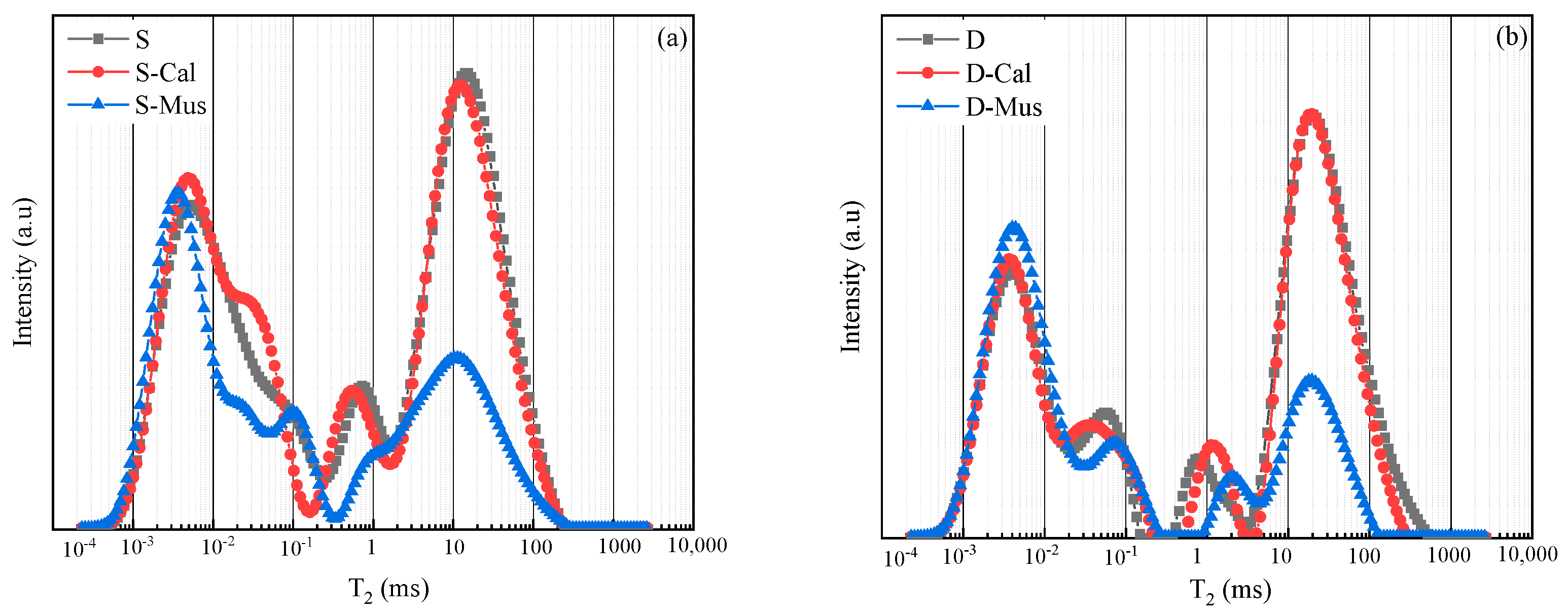
3.6.2. LF-NMR Analysis Results
3.6.3. FTIR Analysis Results
3.6.4. SEM Analysis Results
4. Conclusions
- The addition of 1% calcite and muscovite does not affect the compressive strength of cement paste and does not produce new hydration products. Muscovite has water absorption capacity and reduces the fluidity of cement paste.
- When SDS is used as a foaming agent to prepare foam concrete:The addition of 1% calcite increased the fluidity of fresh foam concrete by 10.29%. The dry density increased by 8.44%, the compressive strength/dry density ratio did not change much and water absorption decreased by 25.87%. The thermal conductivity decreased by 20.03% and the average size of the pores decreased by 16.43%. After 30 freeze–thaw cycles, the mass loss decreased by 49.47% and the strength loss decreased by 22.47%.The addition of 1% white muscovite decreased the flow of fresh foam concrete by 11.27%. Dry density increased by 6.86%, compressive strength/dry density ratio increased by 20.94% and water absorption decreased by 34.40%. The thermal conductivity was reduced by 17.41% and the average diameter of the pores was reduced by 10.75%. After 30 freeze–thaw cycles, the mass loss was reduced by 28.95% and the strength loss was reduced by 11.23%.
- When DTAB is used as a foaming agent to prepare foam concrete:The addition of 1% calcite increased the fluidity of fresh foam concrete by 10.78%. The dry density increased by 6.86%, the compressive strength/dry density ratio increased by 27.20% and water absorption did not change much. The thermal conductivity decreased by 7.29% and the average size of the pores decreased by 9.51%. After 30 freeze–thaw cycles, the mass loss decreased by 16.12% and the strength loss decreased by 11.60%.The addition of 1% white muscovite decreased the flow of fresh foam concrete by 8.82%. Dry density increased by 59.31%, the compressive strength/dry density ratio increased by 29.12% and water absorption decreased by 28.83%. The thermal conductivity did not change much and the average diameter of the pores was reduced by 25.06%. After 30 freeze–thaw cycles, the mass loss was reduced by 11.60% and the strength loss was reduced by 23.12%.
- In the same design dry density, foam concrete prepared with DTAB as foaming agent has higher porosity and larger pore size compared to SDS, which is the main reason for the difference in their performance.
- The specific physical adsorption of calcite and muscovite with anionic or cationic surfactants also exists in the simulated environment of the cement pore solution. The addition of mineral powders promotes the formation of a shell structure around the foam due to electrostatic interactions and the capillary pore content in the foam concrete was reduced. Thus, the properties of foam concrete were enhanced, whether the foaming agent is an anionic or cationic surfactant.The mechanism of mineral-powder-reinforced foam concrete is complex, especially in the study of mineral particles to adsorb directionally on foam walls prepared with ionic surfactants in cementitious materials. More work is needed in the future.
Author Contributions
Funding
Institutional Review Board Statement
Informed Consent Statement
Data Availability Statement
Conflicts of Interest
References
- Nambiar, E.K.K.; Ramamurthy, K. Air–Void Characterisation of Foam Concrete. Cem. Concr. Res. 2007, 37, 221–230. [Google Scholar] [CrossRef]
- Koehler, S.A.; Hilgenfeldt, S.; Weeks, E.R.; Stone, H.A. Foam Drainage On the Microscale II. Imaging Flow through Single Plateau Borders. J. Colloid Interface Sci. 2004, 276, 439–449. [Google Scholar] [CrossRef]
- Cilek, E.C.; Karaca, S. Effect of Nanoparticles on Froth Stability and Bubble Size Distribution in Flotation. Int. J. Miner. Process. 2015, 138, 6–14. [Google Scholar] [CrossRef]
- Dhasindrakrishna, K.; Pasupathy, K.; Ramakrishnan, S.; Sanjayan, J. Effect of Yield Stress Development On the Foam–Stability of Aerated Geopolymer Concrete. Cem. Concr. Res. 2020, 138, 106233. [Google Scholar] [CrossRef]
- Dhasindrakrishna, K.; Pasupathy, K.; Ramakrishnan, S.; Sanjayan, J. Progress, Current Thinking and Challenges in Geopolymer Foam Concrete Technology. Cem. Concr. Compos. 2021, 116, 103886. [Google Scholar] [CrossRef]
- Dhasindrakrishna, K.; Ramakrishnan, S.; Pasupathy, K.; Sanjayan, J. Collapse of Fresh Foam Concrete: Mechanisms and Influencing Parameters. Cem. Concr. Compos. 2021, 122, 104151. [Google Scholar] [CrossRef]
- Jones, M.R.; Ozlutas, K.; Zheng, L. Stability and Instability of Foamed Concrete. Mag. Concr. Res. 2016, 68, 542–549. [Google Scholar] [CrossRef]
- Gonzenbach, U.T.; Studart, A.R.; Tervoort, E.; Gauckler, L.J. Ultrastable Particle–Stabilized Foams. Angew. Chem.–Int. Edit. 2006, 45, 3526–3530. [Google Scholar] [CrossRef]
- Li, X.; Xiong, Y.; Chen, D.; Zou, C. Utilization of Nanoparticle–Stabilized Foam for Gas Well Deliquification. Colloids Surf. A Physicochem. Eng. Asp. 2015, 482, 378–385. [Google Scholar] [CrossRef]
- Murray, B.S.; Ettelaie, R. Foam Stability: Proteins and Nanoparticles. Curr. Opin. Colloid Interface Sci. 2004, 9, 314–320. [Google Scholar] [CrossRef]
- Chen, S.; Liu, H.; Yang, J.; Zhou, Y.; Zhang, J. Bulk Foam Stability and Rheological Behavior of Aqueous Foams Prepared by Clay Particles and Alpha Olefin Sulfonate. J. Mol. Liq. 2019, 291, 111250. [Google Scholar] [CrossRef]
- Zhu, J.; Yang, Z.; Li, X.; Hou, L.; Xie, S. Experimental Study On the Microscopic Characteristics of Foams Stabilized by Viscoelastic Surfactant and Nanoparticles. Colloids Surf. A Physicochem. Eng. Asp. 2019, 572, 88–96. [Google Scholar] [CrossRef]
- Binks, B.P.; Lumsdon, S.O. Influence of Particle Wettability on the Type and Stability of Surfactant−Free Emulsions. Langmuir 2000, 16, 8622–8631. [Google Scholar] [CrossRef]
- Dandamudi, C.; Beniah, G.; Lee, J.; Lyon, B.; Han, J.J.; Pennell, K.; Lynd, N.; Johnston, K. Colloidal Stabilization of Silica and Iron Oxide Nanoparticles in Highly Concentrated Divalent Salts. In Abstracts of Papers of the American Chemical Society; American Chemical Society: Washington, DC, USA, 2018; Volume 255. [Google Scholar]
- Hajimohammadi, A.; Ngo, T.; Mendis, P.; Kashani, A.; van Deventer, J.S.J. Alkali Activated Slag Foams: The Effect of the Alkali Reaction On Foam Characteristics. J. Clean. Prod. 2017, 147, 330–339. [Google Scholar] [CrossRef]
- Horozov, T.S. Foams and Foam Films Stabilised by Solid Particles. Curr. Opin. Colloid Interface Sci. 2008, 13, 134–140. [Google Scholar] [CrossRef]
- Hou, L.; Li, J.; Lu, Z.; Niu, Y. Influence of Foaming Agent On Cement and Foam Concrete. Constr. Build. Mater. 2021, 280, 122399. [Google Scholar] [CrossRef]
- Wei, S.; Yi, D.; Changwen, M.; Jiaping, L.; Guotang, Z.; Jinyang, J.; Yunsheng, Z. Application of Organic- and Nanoparticle-Modified Foams in Foamed Concrete: Reinforcement and Stabilization Mechanisms. Cem. Concr. Res. 2018, 106, 12–22. [Google Scholar]
- Guo, S.; Wang, W.; Jia, Z.; Qi, X.; Zhu, H.; Liu, X. Nanoparticle−Stabilized Foam with Controllable Structure for Enhanced Foamed Concrete. Constr. Build. Mater. 2023, 362, 129723. [Google Scholar] [CrossRef]
- Li, G.; Tan, H.; He, X.; Zhang, J.; Deng, X.; Zheng, Z. Research On the Properties of Wet−Ground Waste Limestone Powder as Foam Stabilizer in Foamed Concrete. Constr. Build. Mater. 2022, 329, 127203. [Google Scholar] [CrossRef]
- Krämer, C.; Kowald, T.L.; Trettin, R.H.F. Pozzolanic Hardened Three−Phase−Foams. Cem. Concr. Compos. 2015, 62, 44–51. [Google Scholar] [CrossRef]
- Krämer, C.; Schauerte, M.; Kowald, T.L.; Trettin, R.H.F. Three−Phase−Foams for Foam Concrete Application. Mater. Charact. 2015, 102, 173–179. [Google Scholar] [CrossRef]
- Krämer, C.; Schauerte, M.; Müller, T.; Gebhard, S.; Trettin, R. Application of Reinforced Three−Phase−Foams in Uhpc Foam Concrete. Constr. Build. Mater. 2017, 131, 746–757. [Google Scholar] [CrossRef]
- JC/T 2199-2013; Foaming Agents for Foamed Concrete. China Architecture & Building Press: Beijing, China, 2013.
- Amran, Y.H.M.; Farzadnia, N.; Abang Ali, A.A. Properties and Applications of Foamed Concrete; A Review. Constr. Build. Mater. 2015, 101, 990–1005. [Google Scholar] [CrossRef]
- Kearsley, E.P.; Wainwright, P.J. The Effect of High Fly Ash Content On the Compressive Strength of Foamed Concrete. Cem. Concr. Res. 2001, 31, 105–112. [Google Scholar] [CrossRef]
- 2014 JGJ/T 341-2014; Technical Specification for Application of Foamed Concrete. China Architecture & Building Press: Beijing, China, 2014.
- Gu, X.; Wang, S.; Liu, J.; Wang, H.; Xu, X.; Wang, Q.; Zhu, Z. Effect of Hydroxypropyl Methyl Cellulose (Hpmc) as Foam Stabilizer On the Workability and Pore Structure of Iron Tailings Sand Autoclaved Aerated Concrete. Constr. Build. Mater. 2023, 376, 130979. [Google Scholar] [CrossRef]
- 2008 GB/T 10294-2008; Thermal Insulation Determination of Steady State Thermal Resistance and Related Properties Guarded Hot Plate Apparatus. Standards Press of China: Beijing, China, 2008.
- Ouyang, X.; Koleva, D.A.; Ye, G.; van Breugel, K. Understanding the Adhesion Mechanisms Between C S H and Fillers. Cem. Concr. Res. 2017, 100, 275–283. [Google Scholar] [CrossRef]
- Guo, R.; Xue, C.; Guo, W.; Wang, S.; Shi, Y.; Qiu, Y.; Zhao, Q. Preparation of Foam Concrete From Solid Wastes: Physical Properties and Foam Stability. Constr. Build. Mater. 2023, 408, 133733. [Google Scholar] [CrossRef]
- Lei, L.; Plank, J. A Study On the Impact of Different Clay Minerals On the Dispersing Force of Conventional and Modified Vinyl Ether Based Polycarboxylate Superplasticizers. Cem. Concr. Res. 2014, 60, 1–10. [Google Scholar] [CrossRef]
- Kearsley, E.P.; Wainwright, P.J. The Effect of Porosity On the Strength of Foamed Concrete. Cem. Concr. Res. 2002, 32, 233–239. [Google Scholar] [CrossRef]
- Kolias, S.; Georgiou, C. The Effect of Paste Volume and of Water Content On the Strength and Water Absorption of Concrete. Cem. Concr. Compos. 2005, 27, 211–216. [Google Scholar] [CrossRef]
- Song, N.; Li, Z.; Yi, W.; Wang, S. Properties of Foam Concrete with Hydrophobic Starch Nanoparticles as Foam Stabilizer. J. Build. Eng. 2022, 56, 104811. [Google Scholar] [CrossRef]
- Asadi, I.; Shafigh, P.; Abu Hassan, Z.F.B.; Mahyuddin, N.B. Thermal Conductivity of Concrete—A Review. J. Build. Eng. 2018, 20, 81–93. [Google Scholar] [CrossRef]
- Sang, G.; Zhu, Y.; Yang, G.; Zhang, H. Preparation and Characterization of High Porosity Cement−Based Foam Material. Constr. Build. Mater. 2015, 91, 133–137. [Google Scholar] [CrossRef]
- Nambiar, E.K.K.; Ramamurthy, K. Sorption Characteristics of Foam Concrete. Cem. Concr. Res. 2007, 37, 1341–1347. [Google Scholar] [CrossRef]
- Tikalsky, P.J.; Pospisil, J.; MacDonald, W. A Method for Assessment of the Freeze–Thaw Resistance of Preformed Foam Cellular Concrete. Cem. Concr. Res. 2004, 34, 889–893. [Google Scholar] [CrossRef]
- Chao, S.; Yu, Z.; Jian, G.; Yamei, Z.; Guoxing, S. Effects of Foaming Agent Type On the Workability, Drying Shrinkage, Frost Resistance and Pore Distribution of Foamed Concrete. Constr. Build. Mater. 2018, 186, 833–839. [Google Scholar]
- Yao, Y.; Liu, D.; Che, Y.; Tang, D.; Tang, S.; Huang, W. Petrophysical Characterization of Coals by Low−Field Nuclear Magnetic Resonance (NMR). Fuel 2010, 89, 1371–1380. [Google Scholar] [CrossRef]
- Zhong, X.; Liu, D.; Shi, X.; Zhao, H.; Pei, C.; Zhu, T.; Shao, M.; Zhang, F. Characteristics and Functional Mechanisms of Clay−Cement Stabilized Three−Phase Nitrogen Foam for Heavy Oil Reservoir. J. Pet. Sci. Eng. 2018, 170, 497–506. [Google Scholar] [CrossRef]

















| Loss-on-Ignition (%) | SO3 (%) | MgO (%) | Specific Surface (m2/kg) | Initial Setting Time (min) | Final Setting Time (min) | Invariability | Chloride Ion Content (%) |
|---|---|---|---|---|---|---|---|
| 3.54 | 1.85 | 0.76 | 337 | 197 | 247 | Pass | 0.015 |
| Mixture | Cement (kg) | Mineral Powders (kg) | Water (kg) | W/C | Foam (m3) | Foaming Agent Amounts (L) |
|---|---|---|---|---|---|---|
| S | 666.7 | 0 | 333 | 0.5 | 0.72 | 27.29 |
| S-Cal | 660 | 6.7 | ||||
| S-Mus | ||||||
| D | 666.7 | 0 | 16.17 | |||
| D-Cal | 660 | 6.7 | ||||
| D-Mus |
| Pore Parameter | Specimens | Size | ||
|---|---|---|---|---|
| <500 μm | <1000 μm | Full | ||
| Number | S | 3335 | 4190 | 4668 |
| S-Cal | 4942 | 6102 | 6601 | |
| S-Mus | 4308 | 5174 | 5636 | |
| Frequency (%) | S | 71.4 | 89.8 | 100 |
| S-Cal | 74.9 | 92.4 | 100 | |
| S-Mus | 76.4 | 91.8 | 100 | |
| Porosity (%) | S | 11.76 | 21.08 | 35.93 |
| S-Cal | 17.98 | 30.50 | 42.46 | |
| S-Mus | 14.93 | 24.32 | 38.71 | |
| Average size (μm) | S | 0.226 | 0.322 | 0.493 |
| S-Cal | 0.233 | 0.320 | 0.412 | |
| S-Mus | 0.222 | 0.301 | 0.440 | |
| Pore Parameter | Specimens | Size | ||
|---|---|---|---|---|
| <500 μm | <1000 μm | Full | ||
| Number | D | 1444 | 1939 | 2770 |
| D-Cal | 1672 | 2392 | 3477 | |
| D-Mus | 1840 | 2638 | 3692 | |
| Frequency (%) | D | 52.1 | 70.0 | 100 |
| D-Cal | 48.1 | 68.8 | 100 | |
| D-Mus | 49.8 | 71.5 | 100 | |
| Porosity (%) | D | 5.02 | 10.58 | 52.32 |
| D-Cal | 6.28 | 14.24 | 59.43 | |
| D-Mus | 6.86 | 15.87 | 52.25 | |
| Average size (μm) | D | 0.222 | 0.349 | 1.209 |
| D-Cal | 0.241 | 0.381 | 1.094 | |
| D-Mus | 0.239 | 0.385 | 0.906 | |
Disclaimer/Publisher’s Note: The statements, opinions and data contained in all publications are solely those of the individual author(s) and contributor(s) and not of MDPI and/or the editor(s). MDPI and/or the editor(s) disclaim responsibility for any injury to people or property resulting from any ideas, methods, instructions or products referred to in the content. |
© 2024 by the authors. Licensee MDPI, Basel, Switzerland. This article is an open access article distributed under the terms and conditions of the Creative Commons Attribution (CC BY) license (https://creativecommons.org/licenses/by/4.0/).
Share and Cite
Liu, Q.; Chen, H.; Fang, S.; Luo, J. Effect of Mineral Powders on the Properties of Foam Concrete Prepared by Cationic and Anionic Surfactants as Foaming Agents. Materials 2024, 17, 606. https://doi.org/10.3390/ma17030606
Liu Q, Chen H, Fang S, Luo J. Effect of Mineral Powders on the Properties of Foam Concrete Prepared by Cationic and Anionic Surfactants as Foaming Agents. Materials. 2024; 17(3):606. https://doi.org/10.3390/ma17030606
Chicago/Turabian StyleLiu, Qi, Huanghua Chen, Shiyu Fang, and Jin Luo. 2024. "Effect of Mineral Powders on the Properties of Foam Concrete Prepared by Cationic and Anionic Surfactants as Foaming Agents" Materials 17, no. 3: 606. https://doi.org/10.3390/ma17030606
APA StyleLiu, Q., Chen, H., Fang, S., & Luo, J. (2024). Effect of Mineral Powders on the Properties of Foam Concrete Prepared by Cationic and Anionic Surfactants as Foaming Agents. Materials, 17(3), 606. https://doi.org/10.3390/ma17030606
