Study on Influence of Rare Earth Ce on Micro and Macro Properties of U75V Steel
Abstract
1. Introduction
2. Experimental Method
2.1. Preparation of Experimental Steel
2.2. Thermodynamic Calculation
3. Results and Discussion
3.1. Thermodynamic Calculation of Ce-Containing Inclusions
3.1.1. Precipitation Sequence of Ce-Containing Inclusions at 1600 °C
3.1.2. Effect of Temperature and Ce Content on the Formation of Ce-Containing Inclusions
3.2. Inclusions in Steel
3.2.1. Morphology and Composition of Inclusions
3.2.2. Changes of Inclusion Species in Steel
3.3. Statistics of Inclusions Size and Aspect Ratio in Steel
3.3.1. Average Inclusion Size and Aspect Ratio
3.3.2. Inclusion Size Distribution
3.3.3. Statistics of Average Size and Aspect Ratio of MnS Inclusions
3.4. Effect of Rare Earth on Microstructure in U75V Steel
3.4.1. Effect of Rare Earth Ce on Grain Size and Pearlite Lamellae Spacing of U75V Steel
3.4.2. Effect of Rare Earth Ce on Grain Boundary Precipitates of Experimental Steel
3.5. Effect of Rare Earth Ce on Mechanical Properties of U75V Steel
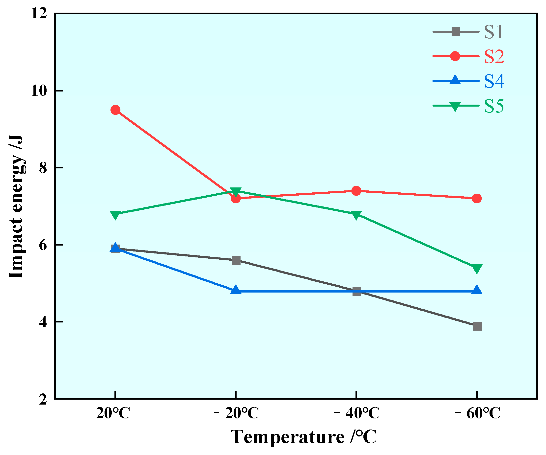
3.5.1. Impact Properties
3.5.2. Tensile Properties
4. Conclusions
- According to the thermodynamic calculation results of the Wagner model, the value is 0.1 < O/S < 0.2; under the condition of a certain Al content, CeAlO3 inclusion is first precipitated in U75V steel at 1600 °C when the Ce content is less than 0.0075%, and Ce2O2S inclusion is first precipitated in liquid steel when the Ce content is greater than 0.0075%. The precipitation stability of Ce inclusions is not affected by the decrease in temperature, but the formation of CeO2, Ce2O3 and CeAlO3 inclusions is inhibited by the increase in rare earth Ce.
- U75V steel without rare earth Ce contains irregular MnS and complex inclusions containing Al, Si, Ca, Mn, S, O, etc. After the addition of rare earth Ce, the pure MnS in the steel decreases, and rare earth inclusions such as CeAlO3 and Ce2O2S and other complex inclusions containing Al, Si, Ca, Mn, S, O and other elements appear. With the increase in Ce content, the sizes and aspect ratios of inclusions in the steel are reduced to some extent, and the addition of rare earth Ce has a certain thinning effect on pure MnS inclusions.
- Rare earth Ce can effectively refine the grain size of U75V steel and significantly reduce the pearlite lamellae spacing. The analysis of precipitates near the grain boundary shows that rare earth elements can reduce the segregation of sulfide at the grain boundary.
- The addition of rare earth Ce can improve the normal- and low-temperature impact performance of U75V steel; in particular, the improvement effect of low-temperature impact performance is obvious; this has certain practical significance in the application of rails in extremely cold weather. The experiment also found that with the increase in Ce content, the yield strength and tensile strength of U75V steel also increased.
Author Contributions
Funding
Institutional Review Board Statement
Informed Consent Statement
Data Availability Statement
Conflicts of Interest
References
- Liu, C.J.; Huang, Y.H.; Jiang, M.F. Effects and Mechanisms of RE on Impact Toughness and Fracture Toughness of Clean Heavy Rail Steel. J. Iron Steel Res. Int. 2011, 3, 52–58. [Google Scholar] [CrossRef]
- Cen, Y.D.; Ji, C.J.; Chen, L.; Chen, K.Y.; Ke, D.D. Microstructure Evolution of RE Rail Steel During Hot Deformation. Metallogr. Microstruct. Anal. 2023, 12, 545–556. [Google Scholar] [CrossRef]
- Wang, S.J.; Shi, C.B.; Liang, Y.J.; Wan, X.X.; Zhu, X. Evolution and Formation of Non-metallic Inclusions During Electroslag Remelting of a Heat-Resistant Steel for Ultra-supercritical Power Plants. Met. Mater. Trans. B 2022, 53, 3095–3114. [Google Scholar] [CrossRef]
- Fuchs, D.; Tobie, T.; Stahl, K. Challenges in determination of microscopic degree of cleanliness in ultra-clean gear steels. J. Iron Steel Res. Int. 2022, 29, 1583–1600. [Google Scholar] [CrossRef]
- Paul, S.K.; Chakrabarty, A.K.; Basu, S. Effect of Rare Earth Additions on the Inclusions and Properties of a Ca-Al Deoxidized Steel. Met. Mater. Trans. B 1982, 13, 185–192. [Google Scholar] [CrossRef]
- Kiviö, M.; Holappa, L. Addition of Titanium Oxide Inclusions into Liquid Steel to Control Nonmetallic Inclusions. Met. Mater. Trans. B 2011, 43, 233–240. [Google Scholar] [CrossRef]
- Imashuku, S.; Wagatsuma, K. Cathodoluminescence Analysis of Nonmetallic Inclusions in Steel Deoxidized and Desulfurized by Rare-Earth Metals (La, Ce, Nd). Met. Mater. Trans. B 2019, 51, 79–84. [Google Scholar] [CrossRef]
- Song, P.S.; Li, Y.Q.; Ren, Q.; Ren, Y.; Zhang, L.F. Effect of Al2O3 Content in Inclusions on the Precipitation of MnS During Cooling of a Heavy Rail Steel. Met. Mater. Trans. B 2023, 54, 1468–1482. [Google Scholar] [CrossRef]
- Tian, Q.R.; Wang, Z.F.; Zhang, X.Y.; Liu, N.F.; Xu, X.Y.; Fu, J.X. Formation Mechanism of Different Morphologies Inclusions in Tellurium-Containing Medium-Carbon-Microalloyed Steel. Met. Mater. Trans. B 2023, 54, 3405–3415. [Google Scholar] [CrossRef]
- Temmel, C.; Gunnar Ingesten, N.; Karlsson, B. Fatigue Anisotropy in Cross-Rolled, Hardened Medium Carbon Steel Resulting from MnS Inclusions. Metall. Mater. Trans. A 2006, 37, 2995–3007. [Google Scholar] [CrossRef]
- Maciejewski, J. The Effects of Sulfide Inclusions on Mechanical Properties and Failures of Steel Components. J. Fail. Anal. Prevent. 2015, 15, 169–178. [Google Scholar] [CrossRef]
- Hosseini, S.B.; Temmel, C.; Karlsson, B.; Ingesten, N.G. An In-Situ Scanning Electron Microscopy Study of the Bonding between MnS Inclusions and the Matrix during Tensile Deformation of Hot-Rolled Steels. Metall. Mater. Trans. A 2007, 38, 982–989. [Google Scholar] [CrossRef]
- Bao, D.H.; Cheng, G.G.; Huang, Y.; Qiao, T. Effect of Rare Earth Ce on the Solidification Structure of Fe–18Cr–0.8Si Ferritic Stainless Steel. Met. Mater. Trans. B 2023, 54, 944–958. [Google Scholar] [CrossRef]
- Han, S.; Geng, R.; Lei, S.; Li, Y.; Wang, C. Effect of Cerium on Inclusion Modification in a Secondary-Hardening Steel. Materials 2023, 16, 3972. [Google Scholar] [CrossRef] [PubMed]
- Tuttle, R.B. Study of Rare Earth Additions Effect on the Solidification and Properties of 4130 Steel. J. Mater. Eng. Perform. 2019, 28, 6720–6727. [Google Scholar] [CrossRef]
- Torkamani, H.; Raygan, S.; Garcia-Mateo, C.; Rassizadehghani, J.; Palizdar, Y.; San-Martin, D. Evolution of Pearlite Microstructure in Low-Carbon Cast Microalloyed Steel Due to the Addition of La and Ce. Metall. Mater. Trans. A 2018, 49, 4495–4508. [Google Scholar] [CrossRef]
- Bartlett, L.N.; Avila, B.R. Grain Refinement in Lightweight Advanced High-Strength Steel Castings. Int. J. Metalcast 2016, 10, 401–420. [Google Scholar] [CrossRef]
- Torkamani, H.; Raygan, S.; Mateo, C.; Rassizadehghani, J.; Vivas, J.; Palizdar, Y.; San-Martin, D. The Influence of La and Ce Addition on Inclusion Modification in Cast Niobium Microalloyed Steels. Metals 2017, 7, 377. [Google Scholar] [CrossRef]
- Cao, J.; Li, Y.; Lin, W.; Che, J.; Zhou, F.; Tan, Y.; Li, D.; Dang, J.; Chen, C. Assessment of Inclusion Removal Ability in Refining Slags Containing Ce2O3. Crystals 2023, 13, 202. [Google Scholar] [CrossRef]
- Ren, Q.; Zhang, L.F. Effect of Cerium Content on Inclusions in an Ultra-Low-Carbon Aluminum-Killed Steel. Met. Mater. Trans. B 2020, 51, 589–600. [Google Scholar] [CrossRef]
- Pan, C.; Hu, X.J.; Lin, P.; Chou, K.C. Evolution of Inclusions after Cerium and Titanium Addition in Aluminum Deoxidized Fe-17Cr-9Ni Austenitic Stainless Steel. ISIJ Int. 2020, 60, 1878–1885. [Google Scholar] [CrossRef]
- Yang, C.Y.; Luan, Y.K.; Li, D.Z.; Li, Y.Y. Effects of rare earth elements on inclusions and impact toughness of high-carbon chromium bearing steel. J. Mater. Sci. Technol. 2019, 35, 1298–1308. [Google Scholar] [CrossRef]
- Smirnov, L.A.; Rovnushkin, V.A.; Dobuzhskaya, A.B.; Yunin, G.N.; Polevoi, E.V.; Boikov, D.V.; Spirin, S.A. Influence of rare-earth modification on the formation of nonmetallic inclusions in high-carbon steel. Steel Transl. 2017, 46, 805–813. [Google Scholar] [CrossRef]
- Torkamani, H.; Raygan, S.; Garcia Mateo, C.; Rassizadehghani, J.; Palizdar, Y.; San-Martin, D. Contributions of Rare Earth Element (La,Ce) Addition to the Impact Toughness of Low Carbon Cast Niobium Microalloyed Steels. Met. Mater. Int. 2018, 24, 773–788. [Google Scholar] [CrossRef]
- Adabavazeh, Z.; Hwang, W.S.; Su, Y.H. Effect of Adding Cerium on Microstructure and Morphology of Ce-Based Inclusions Formed in Low-Carbon Steel. Sci. Rep. 2017, 7, 46503. [Google Scholar] [CrossRef]
- Zhao, Q.B.; Dong, R.F.; Lu, Y.F.; Yang, Y.; Wang, Y.R.; Yang, X. Effect of Trace Rare-Earth Element Ce on the Microstructure and Properties of Cold-Rolled Medium Manganese Steel. Metals 2023, 13, 116. [Google Scholar] [CrossRef]
- Wang, H.; Bao, Y.P.; Zhi, J.G.; Duan, C.Y.; Gao, S.; Wang, M. Effect of Rare Earth Ce on the Morphology and Distribution of Al2O3 Inclusions in High Strength IF Steel Containing Phosphorus during Continuous Casting and Rolling Process. ISIJ Int. 2021, 61, 657–666. [Google Scholar] [CrossRef]
- Geng, R.M.; Li, J.; Shi, C.B.; Zhi, J.G.; Lu, B. Effect of Ce-La on inclusion evolution in Al-killed high strength steel. Metall. Res. Technol. 2020, 117, 616–624. [Google Scholar] [CrossRef]
- Feng, H.; Lu, P.C.; Li, H.B.; Jiang, Z.H. Effect of Mg Pretreatment and Ce Addition on Cleanliness and Inclusion Evolution in High-Nitrogen Stainless Bearing Steels. Met. Mater. Trans. B 2022, 53, 864–876. [Google Scholar] [CrossRef]
- Bai, G.J.; Yang, J.C.; Liang, W.J. Evaluation and Analysis of the Influence of Rare-Earth Ce on Inclusions in Heavy Rail Steel. Metals 2023, 13, 614. [Google Scholar] [CrossRef]
- Zhuo, C.; Liu, R.; Zhao, Z.R.; Zhang, Y.L.; Hao, X.S.; Wu, H.J.; Sun, Y.H. Effect of Rare Earth Cerium Content on Manganese Sulfide in U75V Heavy Rail Steel. Metals 2022, 12, 1012. [Google Scholar] [CrossRef]
- Sun, H.R.; Du, H.G.; Tong, K.K.; Liu, L.H.; Yan, Q.J.; Zuo, X.R. Influence of TiN Inclusions and Segregation Bands on the Mechanical Properties and Delayed Crack in Thick NM550 Wear-Resistant Steel. Materials 2023, 16, 5856. [Google Scholar] [CrossRef]
- Guo, Z.S.; Li, Y.P.; Ma, J.Y.; Liang, X.H.; Li, H.B.; Zhang, S.C.; Han, P.D. Effect of Ce content on precipitation behavior in S31254 super austenitic stainless steel. J. Alloy. Compd. 2023, 966, 171254. [Google Scholar] [CrossRef]
- Liu, X.J.; Yang, J.C.; Zhang, F.; Fu, X.Y.; Li, H.W.; Yang, C.Q. Experimental and DFT study on cerium inclusions in clean steels. J. Rare Earth 2021, 39, 477–486. [Google Scholar] [CrossRef]
- Zhang, R.Z.; He, J.S.; Xu, S.G.; Zhang, F.C.; Wang, X.T. The roles of Ce and Mn on solidification behaviors and mechanical properties of 7Mo super austenitic stainless steel. J. Mater. Res. Technol. 2023, 22, 1238–1249. [Google Scholar] [CrossRef]
- Wang, H.; Wang, A.Q.; Li, C.Y.; Yu, X.S.; Xie, J.P.; Liang, T.T.; Liu, C.L. Effects of rare earth metals on microstructure, mechanical properties, and pitting corrosion of 27% Cr hyper duplex stainless steel. Rev. Adv. Mater. Sci. 2022, 61, 873–887. [Google Scholar] [CrossRef]























| Calcined Petroleum Coke | Ferrosilicon | Ferromanganese | Ferrovanadium | Ferrocerium | Pure Iron |
|---|---|---|---|---|---|
| [%C] = 98.5 [%Volatiles] = 1.5 | [%Si] = 72.53 | [%Mn] = 97.15 | [%V] = 46 | [%Ce] = 30 [%Fe] = 70 [%C] ≤ 0.01 | [%Fe] = 99.99 |
| [%C] = 0.12 | [%C] = 0.07 | [%C] = 0.17 | |||
| [%P] = 0.03 | [%P] = 0.04 | [%P] = 0.06 | |||
| [%S] = 0.02 | [%S] = 0.04 | [%S] = 0.01 | |||
| [%Fe] = 27.3 | [%Fe] = 2.7 | [%Fe] = 53.76 |
| Sample Numbers | C | Si | Mn | V | S | P | O | Ce |
|---|---|---|---|---|---|---|---|---|
| S1 | 0.798 | 0.660 | 0.980 | 0.061 | 0.013 | <0.005 | 0.00365 | 0 |
| S2 | 0.791 | 0.716 | 1.009 | 0.0068 | 0.01 | 0.037 | 0.0008 | |
| S3 | 0.832 | 0.713 | 0.978 | 0.062 | 0.011 | 0.003 | 0.00331 | 0.0013 |
| S4 | 0.785 | 0.673 | 1.017 | 0.069 | 0.012 | 0.007 | 0.0032 | |
| S5 | 0.831 | 0.709 | 0.913 | 0.046 | 0.007 | 0.006 | 0.0042 |
| C | Si | Mn | V | S | P | Ca | Al | O | Ce |
|---|---|---|---|---|---|---|---|---|---|
| 0.75 | 0.6 | 0.8 | 0.06 | 0.02 | 0.02 | 0.001 | 0.001 | 0.003 | 0.0025 |
| 0.75 | 0.6 | 0.8 | 0.06 | 0.02 | 0.02 | 0.001 | 0.001 | 0.0028 | 0.006 |
| 0.75 | 0.6 | 0.8 | 0.06 | 0.02 | 0.02 | 0.001 | 0.001 | 0.0026 | 0.008 |
| 0.75 | 0.6 | 0.8 | 0.06 | 0.02 | 0.02 | 0.001 | 0.001 | 0.0024 | 0.012 |
| 0.75 | 0.6 | 0.8 | 0.06 | 0.02 | 0.02 | 0.001 | 0.001 | 0.002 | 0.014 |
| Reaction | |
|---|---|
| C | Si | Mn | V | S | P | Ca | Al | O | Ce | |
|---|---|---|---|---|---|---|---|---|---|---|
| O | −0.45 | −0.013 | −0.021 | −0.3 | −0.133 | 0.07 | −313 | −3.85 | −0.02 | −12.1 |
| Al | 0.091 | 0.0056 | −0.02 | 0.025 | 0.03 | 0.033 | −0.047 | 0.045 | −6.6 | −0.43 |
| Ce | 0.091 | - | - | −0.33 | 1.77 | 1.77 | - | −2.25 | −106 | −0.006 |
| Al | Ce | Precipitation Sequence of Ce-Containing Inclusions |
|---|---|---|
| 0.0010% | 0.0025–0.0058% | CeAlO3 > Ce2O2S > Ce2O3 > CeO2 > Ce3S4 > Ce2S3 > CeS |
| 0.0058–0.0075% | CeAlO3 > Ce2O2S > Ce2O3 > Ce3S4 > CeO2 > Ce2S3 > CeS | |
| 0.0075–0.0078% | Ce2O2S > CeAlO3 > Ce2O3 > Ce3S4 > CeO2 > Ce2S3 > CeS | |
| 0.0078–0.0102% | Ce2O2S > CeAlO3 > Ce2O3 > Ce3S4 > Ce2S3 > CeO2 > CeS | |
| 0.0102–0.014% | Ce2O2S > CeAlO3 > Ce2O3 > Ce3S4 > Ce2S3 > CeS > CeO2 |
Disclaimer/Publisher’s Note: The statements, opinions and data contained in all publications are solely those of the individual author(s) and contributor(s) and not of MDPI and/or the editor(s). MDPI and/or the editor(s) disclaim responsibility for any injury to people or property resulting from any ideas, methods, instructions or products referred to in the content. |
© 2024 by the authors. Licensee MDPI, Basel, Switzerland. This article is an open access article distributed under the terms and conditions of the Creative Commons Attribution (CC BY) license (https://creativecommons.org/licenses/by/4.0/).
Share and Cite
Feng, G.; Ren, L.; Yang, J. Study on Influence of Rare Earth Ce on Micro and Macro Properties of U75V Steel. Materials 2024, 17, 579. https://doi.org/10.3390/ma17030579
Feng G, Ren L, Yang J. Study on Influence of Rare Earth Ce on Micro and Macro Properties of U75V Steel. Materials. 2024; 17(3):579. https://doi.org/10.3390/ma17030579
Chicago/Turabian StyleFeng, Guangqian, Lei Ren, and Jichun Yang. 2024. "Study on Influence of Rare Earth Ce on Micro and Macro Properties of U75V Steel" Materials 17, no. 3: 579. https://doi.org/10.3390/ma17030579
APA StyleFeng, G., Ren, L., & Yang, J. (2024). Study on Influence of Rare Earth Ce on Micro and Macro Properties of U75V Steel. Materials, 17(3), 579. https://doi.org/10.3390/ma17030579

