Investigation into the Acoustic Properties of Polylactic Acid Sound-Absorbing Panels Manufactured by 3D Printing Technology: The Influence of Nozzle Diameters and Internal Configurations
Abstract
1. Introduction
2. Materials and Methods
2.1. Design of Acoustic Test Samples
2.2. Three-Dimensional Printing of the Samples
2.3. Acoustic Analysis of 3D-Printed Samples
3. Results and Discussion
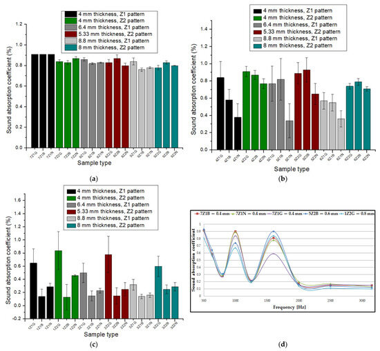
3.1. Influence of Nozzle Diameter on Acoustic Performance of 3D-Printed Samples
3.2. The Influence of Material Type on the Acoustic Performance of 3D-Printed Samples
- For the samples printed with a nozzle diameter of 0.8 mm with the same sample thickness and internal configuration, the Grey Tough PLA material showed the highest values for α (with a minimum of 0.32—sample 3Z1—and a maximum of 0.84—sample 1Z2G). For the Grey Tough PLA material, these values were 3 times higher as compared to the Black PLA Pro material and double that of the Natural PLA material. An explanation for this high value of α for the Grey Tough PLA printed samples could be attributed to the lower density (1.24 g/cm3) of the printed samples that exhibited a higher sound absorption capacity, as demonstrated in other studies [52,53,54].
- In contrast, for the 3D-printed samples with a nozzle diameter of 0.6 mm with the same sample thickness and internal configuration, the absorption coefficient values (with a maximum of 0.91 for Grey Tough PLA—sample 4Z2G—and a maximum of 0.93—sample 5Z2B for Black PLA Pro) were close for the materials (Grey Tough PLA and Black PLA Pro). For the Natural PLA material, the values were lower compared to the first two and varied for the Z1 configuration (α = 0.34–0.38) and were higher for the Z2 configuration (α = 0.65–0.77). But on further analysis, it can be stated that the maximum absorption coefficient values (4Z2G and 5Z2B) were reached for two (Grey Tough PLA and Black PLA Pro) of the three materials.
- For the samples manufactured with a nozzle diameter of 0.4 mm with the same sample thickness and the same internal configuration, the absorption coefficient was close to the maximum for each material type (Grey Tough PLA with α = 0.91—sample 7Z1G; Black PLA Pro with α = 0.91—sample 7Z1B; Natural PLA with α = 0. 91—sample 7Z1N). Therefore, it can be stated that for the different materials (Grey Tough PLA; Black PLA Pro; Natural PLA) and with the following characteristics, the same absorption coefficient results were obtained: nozzle diameter of 0.4 mm, the same sample thickness (4 mm) and the same internal configuration (Z1). Thus, it can be concluded that the FFF additive manufacturing process showed high stability in 3D printing with a 0.4 mm diameter nozzle for the three materials analyzed. The nozzle diameter of 0.4 mm provided, in the case of the acoustically tested samples, a balance between the details of the printed parts (fine details on X and Y axes) and the 3D printing time.
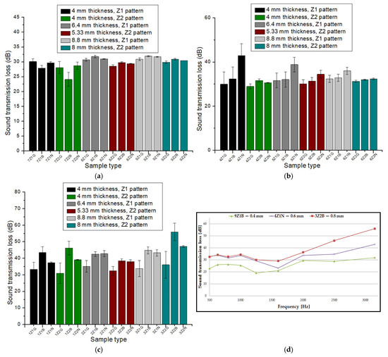
- For the 0.8 mm nozzle diameter with the same sample thickness and the same internal configuration, the Black PLA Pro material showed the highest results (minimum 38.5 dB and maximum 56 dB);
- For the 0. 6 mm nozzle diameter with the same sample thickness and the same internal configuration, the Natural PLA material showed the highest results (minimum 32.4 dB and maximum 42.9 dB);
- For the 0.4 mm nozzle diameter with the same sample thickness and the same internal configuration, the Black PLA Pro material showed the highest results (minimum 24.1 dB and maximum 31.9 dB).
3.3. The Influence of Internal Configuration on the Acoustic Performance of 3D-Printed Samples
4. Conclusions
- For the nozzle diameter of 0.4 mm, the highest values of the absorption coefficient were obtained (α = 0.76–0.91);
- For the nozzle diameter of 0.6 mm, the highest value of the absorption coefficient (α = 0.93) was obtained for sample 5Z2B (5.33 mm thickness, Black PLA Pro filament and Z2 internal configuration);
- For the nozzle diameter of 0.8 mm, the lowest values of the absorption coefficient were recorded;
- The average value for α with a nozzle diameter of 0.4 mm was 17% higher than the value of α for the nozzle diameter of 0.6 mm and 58% higher as compared to α for the nozzle diameter of 0.8 mm;
- Based on the analysis of the samples printed with the three nozzle diameters, the highest value of the sound transmission loss (STL = 0.56 dB) was obtained for the nozzle diameter of 0.8 mm;
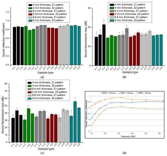
- The reflection coefficient showed the highest value (β = 0.989) for sample 1Z2B, which was printed with a nozzle size of 0.8 mm, and which had the maximum value that corresponded to the lowest absorption coefficient (α = 0.02 at a frequency of 1600 Hz).
Author Contributions
Funding
Institutional Review Board Statement
Informed Consent Statement
Data Availability Statement
Acknowledgments
Conflicts of Interest
Correction Statement
References
- Ritesh, V.; Chandan, K.; Manoj, K. Assessment of Traffic Noise on Highway Passing from Urban Agglomeration. Fluct. Noise Lett. 2014, 13, 1450031. [Google Scholar]
- Leventhall, G.; Pelmear, P.; Benton, S. A Review of Published Research on Low Frequency Noise and Its Effects; Department for Environment, Food Rural Affairs: London, UK, 2003. [Google Scholar]
- Alves, J.A.; Silva, L.T.; Remoaldo, P.C.C. The Influence of Low-Frequency Noise Pollution on the Quality of Life and Place in Sustainable Cities: A Case Study from Northern Portugal. Sustainability 2015, 7, 13920–13946. [Google Scholar] [CrossRef]
- Allen, T.; Chally, A.; Moser, B.; Widenhorn, P. Sound Propagation, Reflection, and Its Relevance to Ultrasound Imaging. Phys. Teach. 2019, 57, 134–137. [Google Scholar] [CrossRef]
- Pop, M.A.; Cosnita, M.; Croitoru, C.; Zaharia, S.M.; Matei, S.; Spîrchez, C. 3D-Printed PLA Molds for Natural Composites: Mechanical Properties of Green Wax-Based Composites. Polymers 2023, 15, 2487. [Google Scholar] [CrossRef] [PubMed]
- Otaru, A.J. Review on the Acoustical Properties and Characterization Methods of Sound Absorbing Porous Structures: A Focus on Microcellular Structures Made by a Replication Casting Method. Met. Mater. Int. 2020, 26, 915–932. [Google Scholar] [CrossRef]
- Yang, T.; Hu, L.; Xiong, X.; Petrů, M.; Noman, M.T.; Mishra, R.; Militký, J. Sound Absorption Properties of Natural Fibers: A Review. Sustainability 2020, 12, 8477. [Google Scholar] [CrossRef]
- Kino, N.; Ueno, T. Comparison between Characteristic Lengths and Fiber Equivalent Diameter in Glass Fiber and Melamine Foam Materials of Similar Flow Resistivity. J. Appl. Acoust. 2008, 69, 325–331. [Google Scholar] [CrossRef]
- Zhang, B.; Chen, T.N. Calculation of sound absorption characteristics of porous sintered fiber metal. Appl. Acoust. 2009, 70, 337–346. [Google Scholar]
- Peng, L.; Song, B.; Wang, J.; Wang, D. Mechanic and Acoustic Properties of the Sound-Absorbing Material Made from Natural Fiber and Polyester. Adv. Mater. Sci. Eng. 2015, 2015, 274913. [Google Scholar] [CrossRef]
- Zielinski, T.G.; Dauchez, N.; Boutin, T.; Leturia, M.; Wilkinson, A.; Chevillotte, F.; Becot, F.-X.; Venegas, R. Taking advantage of a 3D printing imperfection in the development of sound-absorbing materials. Appl. Acoust. 2022, 197, 108941. [Google Scholar] [CrossRef]
- Johnston, W.; Sharma, B. Additive manufacturing of fibrous sound absorbers. Addit. Manuf. 2021, 41, 101984. [Google Scholar] [CrossRef]
- Gao, N.; Hou, H. Sound absorption characteristic of micro-helix metamaterial by 3D printing. Theor. Appl. Mech. Lett. 2018, 8, 63–67. [Google Scholar] [CrossRef]
- Kuschmitz, S.; Ring, T.P.; Watschke, H.; Langer, S.C.; Vietor, T. Design and Additive Manufacturing of Porous Sound Absorbers—A Machine-Learning Approach. Materials 2021, 14, 1747. [Google Scholar] [CrossRef]
- Antonio, J.; Tadeu, A.; Godinho, L. Analytical evaluation of the acoustic insulation provided by double infinite walls. J. Sound Vib. 2003, 263, 113–129. [Google Scholar] [CrossRef]
- Nayfeh, A.H.; Kaiser, J.E.; Telionis, D.P. Acoustics of Aircraft Engine-Duct Systems. AIAA J. 1975, 13, 130–153. [Google Scholar] [CrossRef]
- Yang, M.; Sheng, P. Sound absorption structures: From porous media to acoustic metamaterials. Annu. Rev. Mater. Res. 2017, 47, 83–114. [Google Scholar] [CrossRef]
- Azlin, M.N.M.; Ilyas, R.A.; Zuhri, M.Y.M.; Sapuan, S.M.; Harussani, M.M.; Sharma, S.; Nordin, A.H.; Nurazzi, N.M.; Afiqah, A.N. 3D Printing and Shaping Polymers, Composites, and Nanocomposites: A Review. Polymers 2022, 14, 180. [Google Scholar] [CrossRef]
- Setaki, F.; Tenpierik, M.; Turrin, M.; van Timmeren, A. Acoustic absorbers by additive manufacturing. Build. Environ. 2014, 72, 188–200. [Google Scholar] [CrossRef]
- Ghaffarivardavagh, R.; Nikolajczyk, J.; Anderson, S.; Zhang, X. Ultra-open acoustic metamaterial silencer based on Fano-like interference. Phys. Rev. B 2019, 99, 024302. [Google Scholar] [CrossRef]
- Liu, Z.; Zhan, J.; Fard, M.; Davy, J. Acoustic properties of multilayer sound absorbers with a 3D printed micro-perforated panel. Appl. Acoust. 2017, 121, 25–32. [Google Scholar] [CrossRef]
- Dazel, O.; Brouard, B.; Dauchez, N.; Geslain, A. Enhanced Biot’s finite element displacement formulation for porous materials and original resolution methods based on normal modes. Acta Acust. United Acust. 2009, 95, 527–538. [Google Scholar] [CrossRef]
- Ring, T.P.; Langer, S.C. Design, Experimental and Numerical Characterization of 3D-Printed Porous Absorbers. Materials 2019, 12, 3397. [Google Scholar] [CrossRef]
- Boulvert, J.; Costa-Baptista, J.; Cavalieri, T.; Perna, M.; Fotsing, E.R.; Romero-García, V.; Gabard, G.; Ross, A.; Mardjono, J.; Groby, J.-P. Acoustic modeling of micro-lattices obtained by additive manufacturing. Appl. Acoust. 2020, 164, 107244. [Google Scholar] [CrossRef]
- Iannace, G. The acoustic characterization of green materials. Build. Acoust. 2017, 24, 101–113. [Google Scholar] [CrossRef]
- De Giorgi, M.G.; Congedo, P.M.; Baglivo, C.; Bonomolo, M.; Milone, D. Experimental Characterization and Acoustic Correction of a Multipurpose Performance Hall: The Italian Theatre “Cavallino Bianco”. Buildings 2022, 12, 1344. [Google Scholar] [CrossRef]
- Carbajo, J.; Molina-Jordá, J.; Maiorano, L.; Fang, N. Sound absorption of macro-perforated additively manufactured media. Appl. Acoust. 2021, 182, 108204. [Google Scholar] [CrossRef]
- Gliścińska, E.; Michalak, M.; Krucińska, I.; Strakowska, M.; Kopeć, M.; Więcek, B. A new thermographic method for determining the thickness of the polymer surface layer in sound-absorbing fibrous composite materials. Polym. Test. 2022, 115, 107748. [Google Scholar] [CrossRef]
- Dragonetti, R.; Napolitano, M.; Romano, R.A. A study on the energy and the reflection angle of the sound reflected by a porous material. J. Acoust. Soc. Am. 2019, 145, 489–500. [Google Scholar] [CrossRef]
- Szeląg, A.; Lewińska, M.; Kamisiński, T.M.; Rubacha, J.; Pilch, A. The characteristic of sound reflections from curved reflective panels. Arch. Acoust. 2014, 39, 549–558. [Google Scholar] [CrossRef][Green Version]
- Vercammen, M. Sound Reflections from Concave Spherical Surfaces. Part I: Wave Field Approximation. Acta Acust. United Acust. 2010, 96, 82–91. [Google Scholar] [CrossRef]
- Zvoníček, T.; Vašina, M.; Pata, V.; Smolka, P. Three-Dimensional Printing Process for Musical Instruments: Sound Reflection Properties of Polymeric Materials for Enhanced Acoustical Performance. Polymers 2023, 15, 2025. [Google Scholar] [CrossRef]
- Monkova, K.; Vasina, M.; Monka, P.P.; Vanca, J.; Kozak, D. Effect of 3D-Printed PLA Structure on Sound Reflection Properties. Polymers 2022, 14, 413. [Google Scholar] [CrossRef] [PubMed]
- Sailesh, R.; Yuvaraj, L.; Pitchaimani, J.; Doddamani, M.; Mailan Chinnapandi, L.B. Acoustic Behaviour of 3D Printed Bio-Degradable Micro-Perforated Panels with Varying Perforation Cross-Sections. Appl. Acoust. 2021, 174, 107769. [Google Scholar] [CrossRef]
- Sailesh, R.; Yuvaraj, L.; Doddamani, M.; Mailan Chinnapandi, L.B.; Pitchaimani, J. Sound absorption and transmission loss characteristics of 3D printed bio-degradable material with graded spherical perforations. Appl. Acoust. 2022, 186, 108457. [Google Scholar] [CrossRef]
- Liu, Z.; Zhan, J.; Fard, M.; Davy, J.L. Acoustic properties of a porous polycarbonate material produced by additive manufacturing. Mater. Lett. 2016, 181, 296–299. [Google Scholar] [CrossRef]
- Vasina, M.; Monkova, K.; Monka, P.P.; Kozak, D.; Tkac, J. Study of the Sound Absorption Properties of 3D-Printed Open-Porous ABS Material Structures. Polymers 2020, 12, 1062. [Google Scholar] [CrossRef]
- Suarez, L.; Espinosa, M.D. Assessment on the use of additive manufacturing technologies for acoustic applications. Int. J. Adv. Manuf. Technol. 2020, 109, 2691. [Google Scholar] [CrossRef]
- SO 10534-2 (1998-11); Acoustics—Determination of Sound Absorption Coefficient and Impedance in Impedance Tubes—Part 2: Transfer-Function Method. International Organization for Standardization (ISO): Geneva, Switzerland, 1998.
- E1050; Standard Test Method for Impedance and Absorption of Acoustical Materials Using a Tube, Two Microphone and a Digital Frequency Analysis System. ASTM International: West Conshohocken, PA, USA, 2010.
- Ultimaker Tough PLA, Technical Data Sheet. Available online: https://ultimaker.com/materials/s-series-tough-pla/ (accessed on 10 December 2023).
- Ultrafuse PLA PRO, Technical Data Sheet. Available online: https://move.forward-am.com/hubfs/AES%20Documentation/Engineering%20Filaments/PLA%20PRO1/TDS/Ultrafuse_PLA_PRO1_TDS_EN_v3.3.pdf (accessed on 10 December 2023).
- SMARTFIL PLA, Technical Data Sheet. Available online: https://c.cdnmp.net/490505258/custom/prod/1_fisa_tehnica_1803.pdf?rv=1702072800 (accessed on 10 December 2023).
- Joseph, T.M.; Kallingal, A.; Suresh, A.M.; Mahapatra, D.K.; Hasanin1, M.S.; Haponiuk, J.; Thomas, S. 3D printing of polylactic acid: Recent advances and opportunities. Int. J. Adv. Manuf. Technol. 2023, 125, 1015–1035. [Google Scholar] [CrossRef]
- Bergaliyeva, S.; Sales, D.L.; Delgado, F.J.; Bolegenova, S.; Molina, S.I. Manufacture and Characterization of Polylactic Acid Filaments Recycled from Real Waste for 3D Printing. Polymers 2023, 15, 2165. [Google Scholar] [CrossRef]
- Zaharia, S.-M.; Pop, M.A.; Cosnita, M.; Croitoru, C.; Matei, S.; Spîrchez, C. Sound Absorption Performance and Mechanical Properties of the 3D-Printed Bio-Degradable Panels. Polymers 2023, 15, 3695. [Google Scholar] [CrossRef]
- He, F.; Khan, M. Effects of Printing Parameters on the Fatigue Behaviour of 3D-Printed ABS under Dynamic Thermo-Mechanical Loads. Polymers 2021, 13, 2362. [Google Scholar] [CrossRef]
- Sekar, V.; Eh Noum, S.Y.; Sivanesan, S.; Putra, A.; Chin Vui Sheng, D.D.; Kassim, D.H. Effect of Thickness and Infill Density on Acoustic Performance of 3D Printed Panels Made of Natural Fiber Reinforced Composites. J. Nat. Fibers 2022, 19, 7132–7140. [Google Scholar] [CrossRef]
- Mykhailyshyn, R.; Duchoň, F.; Mykhailyshyn, M.; Majewicz Fey, A. Three-Dimensional Printing of Cylindrical Nozzle Elements of Bernoulli Gripping Devices for Industrial Robots. Robotics 2022, 11, 140. [Google Scholar] [CrossRef]
- Yang, Y.; Wang, H.; Li, H.; Ou, Z.; Yang, G. 3D printed tablets with internal scaffold structure using ethyl cellulose to achieve sustained ibuprofen release. Eur. J. Pharm. Sci. 2018, 115, 11–18. [Google Scholar] [CrossRef]
- Grgić, I.; Karakašić, M.; Glavaš, H.; Konjatić, P. Accuracy of FDM PLA Polymer 3D Printing Technology Based on Tolerance Fields. Processes 2023, 11, 2810. [Google Scholar] [CrossRef]
- Smardzewski, J.; Batko, W.; Kamisiński, T.; Flach, A.; Pilch, A.; Dziurka, D.; Mirski, R.; Edward Roszyk, E.; Majewski, A. Experimental study of wood acoustic absorption characteristics. Holzforschung 2013, 68, 467–476. [Google Scholar] [CrossRef]
- Nandanwar, A.; Kiran, M.C.; Varadarajulu, K.C. Influence of Density on Sound Absorption Coefficient of Fibre Board. Open J. Acoust. 2017, 7, 1–9. [Google Scholar] [CrossRef]
- Maroo, T.; Wright, A. Sound transmission loss improvement using additively manufactured multimaterial. Proc. Meet. Acoust. 2022, 46, 030001. [Google Scholar]
- Attenborough, K. Analytical Approximations for Sub Wavelength Sound Absorption by Porous Layers with Labyrinthine Slit Perforations. Appl. Sci. 2021, 11, 3299. [Google Scholar] [CrossRef]
- Krushynska, A.O.; Bosia, F.; Pugno, N.M. Labyrinthine acoustic metamaterials with space-coiling channels for low-frequency sound control. Acta Acust. United Acust. 2018, 104, 200–210. [Google Scholar] [CrossRef]
- Chen, J.S.; Chung, Y.T.; Wang, C.Y.; Liu, C.H.; Yu, C.H.; Chang, I.L.; Lin, T.R. Ultrathin arch-like labyrinthine acoustic metasurface for low-frequency sound absorption. Appl. Acoust. 2023, 202, 109142. [Google Scholar] [CrossRef]
- Almeida, G.D.N.; Vergara, E.F.; Barbosa, L.R.; Lenzi, A.; Cassettari, I.; Mikulski, R.Z. Sound absorption performance of a labyrinthine metamaterial with arbitrary cross-sectional microperforations. J. Braz. Soc. Mech. Sci. Eng. 2023, 45, 607. [Google Scholar] [CrossRef]
- Kumar, S.; Lee, H.P. Labyrinthine acoustic metastructures enabling broadband sound absorption and ventilation. Appl. Phys. Lett. 2020, 116, 134103. [Google Scholar] [CrossRef]
- Gómez Escobar, V.; Moreno González, C.; Rey Gozalo, G. Analysis of the Influence of Thickness and Density on Acoustic Absorption of Materials Made from Used Cigarette Butts. Materials 2021, 14, 4524. [Google Scholar] [CrossRef]
- Jiang, C.; Moreau, D.; Doolan, C. Acoustic Absorption of Porous Materials Produced by Additive Manufacturing with Varying Geometries. In Proceedings of the ACOUSTICS 2017, Perth, Australia, 19–22 November 2017. [Google Scholar]
- Goh, G.D.; Neo, S.J.C.; Dikshit, V.; Yeong, W.Y. Quasi-static indentation and sound-absorbing properties of 3D printed sandwich core panels. J. Sandw. Struct. Mater. 2022, 24, 1206–1225. [Google Scholar] [CrossRef]






| Section View (Z1) | Top View | Section View (Z2) |
|---|---|---|
![]() | ![]() | ![]() |
![]() | ![]() | |
![]() | ![]() |
| Parameter | Value | ||
|---|---|---|---|
| Grey Tough PLA | Black PLA Pro | Natural PLA | |
| Filament diameter (mm) | 2.85 | 2.85 | 2.85 |
| Filament color | Grey | Black | Natural |
| Printed Part Density (g/cm3) | 1.22 | 1.25 | 1.24 |
| Glass Transition Temperature (°C) | 59 | 63 | 55–60 |
| Melting Temperature | 152 | 170–180 | - |
| Layer height (mm) | 0.2 | 0.2 | 0.2 |
| Building plate temperature (°C) | 40 | 40 | 40 |
| Infill density (%) | 60 | 60 | 60 |
| Infill pattern | Cubic | Cubic | Cubic |
| Print speed (mm/s) | 40 | 40 | 40 |
| Travel speed (mm/s) | 120 | 120 | 120 |
| Printing temperature (°C) | 215 | 210 | 210 |
| Top layers | 4 | 4 | 4 |
| Bottom layers | 4 | 4 | 4 |
| Nozzle diameter (mm) | 0.4/0.6/0.8 | 0.4/0.6/0.8 | 0.4/0.6/0.8 |
| No. | Filament Type | Acoustic Properties | Nozzle Diameter (0.4 mm) | |||||
|---|---|---|---|---|---|---|---|---|
| Z1 Pattern | Z2 Pattern | |||||||
| 4 mm | 6.4 mm | 8.8 mm | 4 mm | 5.33 mm | 8 mm | |||
| 1. | Grey Tough PLA | Sample type | 7Z1G | 8Z1G | 9Z1G | 7Z2G | 8Z2G | 9Z2G |
| α | 0.91 | 0.86 | 0.84 | 0.84 | 0.83 | 0.78 | ||
| STL (dB) | 30.1 | 30.7 | 30.9 | 28.1 | 28.5 | 29.9 | ||
| β | 0.863 | 0.877 | 0.889 | 0.885 | 0.847 | 0.89 | ||
| 2. | Black PLA Pro | Sample type | 7Z1B | 8Z1B | 9Z1B | 7Z2B | 8Z2B | 9Z2B |
| α | 0.91 | 0.82 | 0.76 | 0.83 | 0.87 | 0.83 | ||
| STL (dB) | 27.9 | 31.8 | 31.9 | 24.1 | 29.8 | 30.9 | ||
| β | 0.879 | 0.9 | 0.887 | 0.793 | 0.845 | 0.907 | ||
| 3. | Natural PLA | Sample type | 7Z1N | 8Z1N | 9Z1N | 7Z2N | 8Z2N | 9Z2N |
| α | 0.91 | 0.83 | 0.78 | 0.87 | 0.80 | 0.80 | ||
| STL (dB) | 29.7 | 31 | 31.7 | 28.7 | 29.4 | 30.4 | ||
| β | 0.868 | 0.902 | 0.912 | 0.81 | 0.833 | 0.883 | ||
| No. | Filament Type | Acoustic Properties | Nozzle Diameter (0.6 mm) | |||||
|---|---|---|---|---|---|---|---|---|
| Z1 Pattern | Z2 Pattern | |||||||
| 4 mm | 6.4 mm | 8.8 mm | 4 mm | 5.33 mm | 8 mm | |||
| 1. | Grey Tough PLA | Sample type | 4Z1G | 5Z1G | 6Z1G | 4Z2G | 5Z2G | 6Z2G |
| α | 0.84 | 0.77 | 0.57 | 0.91 | 0.89 | 0.74 | ||
| STL (dB) | 30 | 31.7 | 32.4 | 29 | 30.2 | 31.3 | ||
| β | 0.937 | 0.918 | 0.931 | 0.89 | 0.899 | 0.933 | ||
| 2. | Black PLA Pro | Sample type | 4Z1B | 5Z1B | 6Z1B | 4Z2B | 5Z2B | 6Z2B |
| α | 0.58 | 0.82 | 0.55 | 0.87 | 0.93 | 0.79 | ||
| STL (dB) | 32.4 | 32.1 | 32.9 | 31.7 | 31.4 | 32 | ||
| β | 0.914 | 0.905 | 0.937 | 0.897 | 0.889 | 0.873 | ||
| 3. | Natural PLA | Sample type | 4Z1N | 5Z1N | 6Z1N | 4Z2N | 5Z2N | 6Z2N |
| α | 0.38 | 0.34 | 0.36 | 0.77 | 0.65 | 0.71 | ||
| STL (dB) | 42.9 | 38.9 | 36.1 | 30.6 | 34.5 | 32.4 | ||
| β | 0.942 | 0.955 | 0.944 | 0.893 | 0.92 | 0.93 | ||
| No. | Filament Type | Acoustic Properties | Nozzle Diameter (0.8 mm) | |||||
|---|---|---|---|---|---|---|---|---|
| Z1 Pattern | Z2 Pattern | |||||||
| 4 mm | 6.4 mm | 8.8 mm | 4 mm | 5.33 mm | 8 mm | |||
| 1. | Grey Tough PLA | Sample type | 1Z1G | 2Z1G | 3Z1G | 1Z2G | 2Z2G | 3Z2G |
| α | 0.65 | 0.50 | 0.32 | 0.84 | 0.78 | 0.60 | ||
| STL (dB) | 33.4 | 35.2 | 33.8 | 31 | 32.5 | 36.1 | ||
| β | 0.911 | 0.94 | 0.957 | 0.923 | 0.921 | 0.93 | ||
| 2. | Black PLA Pro | Sample type | 1Z1B | 2Z1B | 3Z1B | 1Z2B | 2Z2B | 3Z2B |
| α | 0.14 | 0.15 | 0.14 | 0.13 | 0.15 | 0.25 | ||
| STL (dB) | 43.6 | 42.6 | 44.8 | 46.2 | 38.5 | 56 | ||
| β | 0.983 | 0.983 | 0.983 | 0.989 | 0.981 | 0.958 | ||
| 3. | Natural PLA | Sample type | 1Z1N | 2Z1N | 3Z1N | 1Z2N | 2Z2N | 3Z2N |
| α | 0.29 | 0.23 | 0.16 | 0.46 | 0.25 | 0.29 | ||
| STL (dB) | 37.3 | 42.8 | 43.3 | 39.1 | 38 | 47.2 | ||
| β | 0.957 | 0.955 | 0.974 | 0.927 | 0.959 | 0.951 | ||
Disclaimer/Publisher’s Note: The statements, opinions and data contained in all publications are solely those of the individual author(s) and contributor(s) and not of MDPI and/or the editor(s). MDPI and/or the editor(s) disclaim responsibility for any injury to people or property resulting from any ideas, methods, instructions or products referred to in the content. |
© 2024 by the authors. Licensee MDPI, Basel, Switzerland. This article is an open access article distributed under the terms and conditions of the Creative Commons Attribution (CC BY) license (https://creativecommons.org/licenses/by/4.0/).
Share and Cite
Matei, S.; Pop, M.A.; Zaharia, S.-M.; Coșniță, M.; Croitoru, C.; Spîrchez, C.; Cazan, C. Investigation into the Acoustic Properties of Polylactic Acid Sound-Absorbing Panels Manufactured by 3D Printing Technology: The Influence of Nozzle Diameters and Internal Configurations. Materials 2024, 17, 580. https://doi.org/10.3390/ma17030580
Matei S, Pop MA, Zaharia S-M, Coșniță M, Croitoru C, Spîrchez C, Cazan C. Investigation into the Acoustic Properties of Polylactic Acid Sound-Absorbing Panels Manufactured by 3D Printing Technology: The Influence of Nozzle Diameters and Internal Configurations. Materials. 2024; 17(3):580. https://doi.org/10.3390/ma17030580
Chicago/Turabian StyleMatei, Simona, Mihai Alin Pop, Sebastian-Marian Zaharia, Mihaela Coșniță, Cătălin Croitoru, Cosmin Spîrchez, and Cristina Cazan. 2024. "Investigation into the Acoustic Properties of Polylactic Acid Sound-Absorbing Panels Manufactured by 3D Printing Technology: The Influence of Nozzle Diameters and Internal Configurations" Materials 17, no. 3: 580. https://doi.org/10.3390/ma17030580
APA StyleMatei, S., Pop, M. A., Zaharia, S.-M., Coșniță, M., Croitoru, C., Spîrchez, C., & Cazan, C. (2024). Investigation into the Acoustic Properties of Polylactic Acid Sound-Absorbing Panels Manufactured by 3D Printing Technology: The Influence of Nozzle Diameters and Internal Configurations. Materials, 17(3), 580. https://doi.org/10.3390/ma17030580








