How the Dimensions of Plant Filler Particles Affect the Oxidation-Resistant Characteristics of Polyethylene-Based Composite Materials
Abstract
1. Introduction
2. Experimental
2.1. Materials and Sample Preparation
2.2. Thermal Oxidation
2.3. Methods
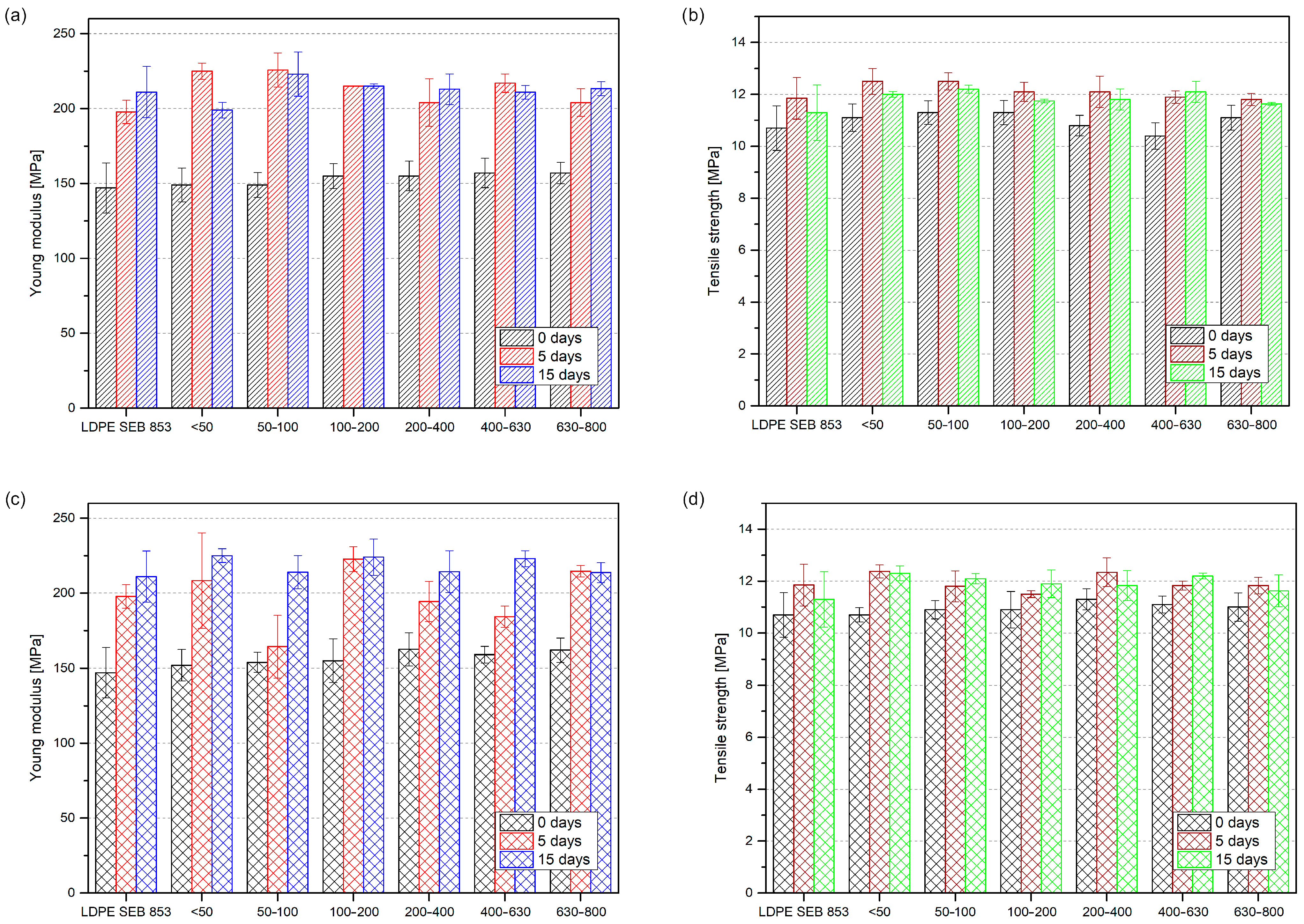
3. Results and Discussion
3.1. Characterization of Fillers
3.2. Characterization of Composite
4. Conclusions
Author Contributions
Funding
Institutional Review Board Statement
Informed Consent Statement
Data Availability Statement
Acknowledgments
Conflicts of Interest
References
- Doudin, K.; Al-Malaika, S.; Sheena, H.H.; Tverezovskiy, V.; Fowler, P. New Genre of Antioxidants from Renewable Natural Resources: Synthesis and Characterisation of Rosemary Plant-Derived Antioxidants and Their Performance in Polyolefins. Polym. Degrad. Stab. 2016, 130, 126–134. [Google Scholar] [CrossRef]
- Barczewski, M.; Aniśko, J.; Hejna, A.; Mysiukiewicz, O.; Kosmela, P. Ground Lemon and Stevia Leaves as Renewable Functional Fillers with Antioxidant Activity for High—Density Polyethylene Composites. Clean Technol. Environ. Policy 2023, 25, 3345–3361. [Google Scholar] [CrossRef]
- Barczewski, M.; Ortega, Z.; Piaskowski, P.; Aniśko, J.; Kosmela, P.; Szulc, J. A Case Study on the Rotomolding Behavior of Black Tea Waste and Bio-Based High-Density Polyethylene Composites: Do Active Compounds in the Filler Degrade during Processing? Compos. Part C Open Access 2024, 13, 100437. [Google Scholar] [CrossRef]
- Iyer, K.A.; Zhang, L.; Torkelson, J.M. Direct Use of Natural Antioxidant-Rich Agro-Wastes as Thermal Stabilizer for Polymer: Processing and Recycling. ACS Sustain. Chem. Eng. 2016, 4, 881–889. [Google Scholar] [CrossRef]
- Ambrogi, V.; Cerruti, P.; Carfagna, C.; Malinconico, M.; Marturano, V.; Perrotti, M.; Persico, P. Natural Antioxidants for Polypropylene Stabilization. Polym. Degrad. Stab. 2011, 96, 2152–2158. [Google Scholar] [CrossRef]
- Dopico-García, M.S.; López-Vilariñó, J.M.; González-Rodríguez, M.V. Antioxidant Content of and Migration from Commercial Polyethylene, Polypropylene, and Polyvinyl Chloride Packages. J. Agric. Food Chem. 2007, 55, 3225–3231. [Google Scholar] [CrossRef]
- Yehye, W.A.; Rahman, N.A.; Ariffin, A.; Abd Hamid, S.B.; Alhadi, A.A.; Kadir, F.A.; Yaeghoobi, M. Understanding the Chemistry behind the Antioxidant Activities of Butylated Hydroxytoluene (BHT): A Review. Eur. J. Med. Chem. 2015, 101, 295–312. [Google Scholar] [CrossRef]
- Till, D.E.; Ehntholt, D.J.; Reid, R.C.; Schwartz, P.S.; Sldman, K.R.; Schwope, A.D.; Whelan, R.H. Migration of BHT Antioxidant from High Density Polyethylene to Foods and Food Simulants. Ind. Eng. Chem. Prod. Res. Dev. 1982, 21, 106–113. [Google Scholar] [CrossRef]
- Anissi, J.; El Hassouni, M.; Ouardaoui, A.; Sendide, K. A Comparative Study of the Antioxidant Scavenging Activity of Green Tea, Black Tea and Coffee Extracts: A Kinetic Approach. Food Chem. 2014, 150, 438–447. [Google Scholar] [CrossRef]
- Łuczaj, W.; Skrzydlewska, E. Antioxidative Properties of Black Tea. Prev. Med. 2005, 40, 910–918. [Google Scholar] [CrossRef]
- Henning, S.M.; Niu, Y.; Lee, N.H.; Thames, G.D.; Minutti, R.R.; Wang, H.; Go, V.L.W.; Heber, D. Bioavailability and Antioxidant Activity of Tea Flavanols after Consumption of Green Tea, Black Tea, or a Green Tea Extract Supplement. Am. J. Clin. Nutr. 2004, 80, 1558–1564. [Google Scholar] [CrossRef] [PubMed]
- Ismail, N. A Preliminary Study of Phytochemical Contents in Commercial Malaysian Black Tea Extract Using Quantitative and Qualitative Tests. Malays. Appl. Biol. 2019, 48, 123–129. [Google Scholar]
- Li, S.; Lo, C.Y.; Pan, M.H.; Lai, C.S.; Ho, C.T. Black Tea: Chemical Analysis and Stability. Food Funct. 2013, 4, 10–18. [Google Scholar] [CrossRef] [PubMed]
- Namal Senanayake, S.P.J. Green Tea Extract: Chemistry, Antioxidant Properties and Food Applications—A Review. J. Funct. Foods 2013, 5, 1529–1541. [Google Scholar] [CrossRef]
- Zhao, C.N.; Tang, G.Y.; Cao, S.Y.; Xu, X.Y.; Gan, R.Y.; Liu, Q.; Mao, Q.Q.; Shang, A.; Li, H. Bin Phenolic Profiles and Antioxidant Activities of 30 Tea Infusions from Green, Black, Oolong, White, Yellow and Dark Teas. Antioxidants 2019, 8, 9–13. [Google Scholar] [CrossRef]
- Von Gadow, A.; Joubert, E.; Hansmann, C.F. Comparison of the Antioxidant Activity of Rooibos Tea (Aspalathus linearis) with Green, Oolong and Black Tea. Food Chem. 1997, 60, 73–77. [Google Scholar] [CrossRef]
- Chen, C.-W.; Ho, C.-T. Antioxidant Properties of Polyphenols Extracted From Green and Black Teas. J. Food Lipids 1995, 2, 35–46. [Google Scholar] [CrossRef]
- Panrong, T.; Karbowiak, T.; Harnkarnsujarit, N. Thermoplastic Starch and Green Tea Blends with LLDPE Films for Active Packaging of Meat and Oil-Based Products. Food Packag. Shelf Life 2019, 21, 100331. [Google Scholar] [CrossRef]
- Romagnolli, C.M.N.; Leite, G.P.; Rodrigues, T.A.R.; Morelli, C.L. Blend of Cassava Starch and High-Density Polyethylene with Green Tea for Food Packaging. Polym. Renew. Resour. 2020, 11, 3–14. [Google Scholar] [CrossRef]
- Shah, N.A.; Ren, Y.; Lan, R.T.; Lv, J.C.; Gul, R.M.; Tan, P.F.; Huang, S.; Tan, L.; Xu, J.Z.; Li, Z.M. Ultrahigh Molecular Weight Polyethylene with Improved Crosslink Density, Oxidation Stability, and Microbial Inhibition by Chemical Crosslinking and Tea Polyphenols for Total Joint Replacements. J. Appl. Polym. Sci. 2021, 138, 51261. [Google Scholar] [CrossRef]
- Duan, J.; Reddy, K.O.; Ashok, B.; Cai, J.; Zhang, L.; Rajulu, A.V. Effects of Spent Tea Leaf Powder on the Properties and Functions of Cellulose Green Composite Films. J. Environ. Chem. Eng. 2016, 4, 440–448. [Google Scholar] [CrossRef]
- Dönmez Çavdar, A.; Kalaycioǧlu, H.; Mengeloǧlu, F. Tea Mill Waste Fibers Filled Thermoplastic Composites: The Effects of Plastic Type and Fiber Loading. J. Reinf. Plast. Compos. 2011, 30, 833–844. [Google Scholar] [CrossRef]
- Kauly, T.; Keren, B.; Siegmann, A.; Narkis, M. Highly Filled Thermoplastic Composites. II: Effects of Particle Size Distribution on Some Properties. Polym. Compos. 1996, 17, 806–815. [Google Scholar] [CrossRef]
- Qu, W.; Pan, Z.; Ma, H. Extraction Modeling and Activities of Antioxidants from Pomegranate Marc. J. Food Eng. 2010, 99, 16–23. [Google Scholar] [CrossRef]
- Banisadr, S.; Asempour, H. Effect of Ferric Salt of Orange Peel Solid Fraction on Photo-Oxidation and Biodegradability of LDPE Films. Iran. Polym. J. (Engl. Ed.) 2012, 21, 463–471. [Google Scholar] [CrossRef]
- Rojas-Lema, S.; Lascano, D.; Ivorra-Martinez, J.; Gomez-Caturla, J.; Balart, R.; Garcia-Garcia, D. Manufacturing and Characterization of High-Density Polyethylene Composites with Active Fillers from Persimmon Peel Flour with Improved Antioxidant Activity and Hydrophobicity. Macromol. Mater. Eng. 2021, 306, 2100430. [Google Scholar] [CrossRef]
- Fehlberg, J.; Lee, C.L.; Matuana, L.M.; Almenar, E. Orange Peel Waste from Juicing as Raw Material for Plastic Composites Intended for Use in Food Packaging. J. Appl. Polym. Sci. 2020, 137, 48841. [Google Scholar] [CrossRef]
- Hejna, A.; Barczewski, M.; Kosmela, P.; Mysiukiewicz, O. Inhibition of Polymer Photodegradation by Incorporation of Coffee Silverskin. Proceedings 2021, 69, 1. [Google Scholar] [CrossRef]
- Hejna, A.; Barczewski, M.; Kosmela, P.; Mysiukiewicz, O.; Kuzmin, A. Coffee Silverskin as a Multifunctional Waste Filler for High-Density Polyethylene Green Composites. J. Compos. Sci. 2021, 5, 44. [Google Scholar] [CrossRef]
- Hejna, A.; Barczewski, M.; Kosmela, P.; Aniśko, J.; Mysiukiewicz, O.; Marć, M. Mandarin Peel As an Auspicious Functional Filler for Polymer Composites. Maced. J. Chem. Chem. Eng. 2021, 40, 89–106. [Google Scholar] [CrossRef]
- Moreira, M.M.; Morais, S.; Carvalho, D.O.; Barros, A.A.; Delerue-Matos, C.; Guido, L.F. Brewer’s Spent Grain from Different Types of Malt: Evaluation of the Antioxidant Activity and Identification of the Major Phenolic Compounds. Food Res. Int. 2013, 54, 382–388. [Google Scholar] [CrossRef]
- Rebollo-Hernanz, M.; Cañas, S.; Taladrid, D.; Benítez, V.; Bartolomé, B.; Aguilera, Y.; Martín-Cabrejas, M.A. Revalorization of Coffee Husk: Modeling and Optimizing the Green Sustainable Extraction of Phenolic Compounds. Foods 2021, 10, 653. [Google Scholar] [CrossRef] [PubMed]
- Yang, R.; Liu, Y.; Yu, J.; Wang, K. Thermal Oxidation Products and Kinetics of Polyethylene Composites. Polym. Degrad. Stab. 2006, 91, 1651–1657. [Google Scholar] [CrossRef]
- Almond, J.; Sugumaar, P.; Wenzel, M.N.; Hill, G.; Wallis, C. Determination of the Carbonyl Index of Polyethylene and Polypropylene Using Specified Area under Band Methodology with ATR-FTIR Spectroscopy. E-Polymers 2020, 20, 369–381. [Google Scholar] [CrossRef]
- ISO 527-1:2019; Plastics—Determination of Tensile Properties—Part 1: General Principles. International Organization for Standardization: Geneva, Switzerland, 2019. Available online: https://www.iso.org/standard/75824.html (accessed on 12 September 2024).
- ISO 179-2:2020; Plastics—Determination of Charpy Impact Properties—Part 2: Instrumented Impact Test. International Organization for Standardization: Geneva, Switzerland, 2020. Available online: https://www.iso.org/standard/75825.html (accessed on 12 September 2024).
- Ye, J.H.; Jin, J.; Liang, Y.-R. Antioxidant Properties of Green Tea, Oolong Tea, Black Tea and Pu-Erh Tea Jian-Hui. J. Korean Tea Soc. 2015, 1, 221–228. [Google Scholar]
- Sang, S.; Lambert, J.D.; Ho, C.T.; Yang, C.S. The Chemistry and Biotransformation of Tea Constituents. Pharmacol. Res. 2011, 64, 87–99. [Google Scholar] [CrossRef]
- Liu, S.X.; Chen, D.; Plumier, B.; Berhow, M.; Xu, J.; Byars, J.A. Impact of Particle Size Fractions on Composition, Antioxidant Activities, and Functional Properties of Soybean Hulls. J. Food Meas. Charact. 2021, 15, 1547–1562. [Google Scholar] [CrossRef]
- Gião, M.S.; Pereira, C.I.; Fonseca, S.C.; Pintado, M.E.; Malcata, F.X. Effect of Particle Size upon the Extent of Extraction of Antioxidant Power from the Plants Agrimonia Eupatoria, Salvia Sp. and Satureja Montana. Food Chem. 2009, 117, 412–416. [Google Scholar] [CrossRef]
- Thummajitsakul, S.; Samaikam, S.; Tacha, S.; Silprasit, K. Study on FTIR Spectroscopy, Total Phenolic Content, Antioxidant Activity and Anti-Amylase Activity of Extracts and Different Tea Forms of Garcinia schomburgkiana Leaves. LWT 2020, 134, 110005. [Google Scholar] [CrossRef]
- Del Rio, D.; Stewart, A.J.; Mullen, W.; Burns, J.; Lean, M.E.J.; Brighenti, F.; Crozier, A. HPLC-MSn Analysis of Phenolic Compounds and Purine Alkaloids in Green and Black Tea. J. Agric. Food Chem. 2004, 52, 2807–2815. [Google Scholar] [CrossRef]
- Olszowy, M. What Is Responsible for Antioxidant Properties of Polyphenolic Compounds from Plants? Plant Physiol. Biochem. 2019, 144, 135–143. [Google Scholar] [CrossRef]
- Vuong, Q.V.; Golding, J.B.; Nguyen, M.; Roach, P.D. Extraction and Isolation of Catechins from Tea. J. Sep. Sci. 2010, 33, 3415–3428. [Google Scholar] [CrossRef] [PubMed]
- Reyes-Rivera, J.; Terrazas, T. Lignin Analysis by HPLC and FTIR. Methods Mol. Biol. 2017, 1544, 193–299. [Google Scholar] [CrossRef]
- Aniśko, J.; Barczewski, M. Uniaxial Rotational Molding of Bio-Based Low-Density Polyethylene Filled with Black Tea Waste. Materials 2023, 16, 3641. [Google Scholar] [CrossRef] [PubMed]
- Zhong, C.; Zu, Y.; Zhao, X.; Li, Y.; Ge, Y.; Wu, W.; Zhang, Y.; Li, Y.; Guo, D. Effect of Superfine Grinding on Physicochemical and Antioxidant Properties of Pomegranate Peel. Int. J. Food Sci. Technol. 2016, 51, 212–221. [Google Scholar] [CrossRef]
- Burhenne, L.; Messmer, J.; Aicher, T.; Laborie, M.P. The Effect of the Biomass Components Lignin, Cellulose and Hemicellulose on TGA and Fixed Bed Pyrolysis. J. Anal. Appl. Pyrolysis 2013, 101, 177–184. [Google Scholar] [CrossRef]
- Mothé, C.G.; De Miranda, I.C. Study of Kinetic Parameters of Thermal Decomposition of Bagasse and Sugarcane Straw Using Friedman and Ozawa-Flynn-Wall Isoconversional Methods. J. Therm. Anal. Calorim. 2013, 113, 497–505. [Google Scholar] [CrossRef]
- Liu, X.; van Espen, P.; Adams, F.; Yan, S.H.; Vanbelle, M. Classification of Chinese Tea Samples According to Origin and Quality by Principal Component Techniques. Anal. Chim. Acta 1987, 200, 421–430. [Google Scholar] [CrossRef]
- Bucić-Kojić, A.; Planinić, M.; Tomas, S.; Bilić, M.; Velić, D. Study of Solid-Liquid Extraction Kinetics of Total Polyphenols from Grape Seeds. J. Food Eng. 2007, 81, 236–242. [Google Scholar] [CrossRef]
- Celina, M.C.; Linde, E.; Martinez, E. Carbonyl Identification and Quantification Uncertainties for Oxidative Polymer Degradation. Polym. Degrad. Stab. 2021, 188, 109550. [Google Scholar] [CrossRef]
- Bracco, P.; Costa, L.; Luda, M.P.; Billingham, N. A Review of Experimental Studies of the Role of Free-Radicals in Polyethylene Oxidation. Polym. Degrad. Stab. 2018, 155, 67–83. [Google Scholar] [CrossRef]
- Jaya, H.; Firdaus Omar, M.; Md Akil, H.; Arifin Ahmad, Z.; Noriman Zulkepli, N. Effect of Particle Size on Mechanical Properties of Sawdust-High Density Polyethylene Composites under Various Strain Rates. Bioresources 2016, 11, 6489–6504. [Google Scholar] [CrossRef]
- Saikrishnan, S.; Jubinville, D.; Tzoganakis, C.; Mekonnen, T.H. Thermo-Mechanical Degradation of Polypropylene (PP) and Low-Density Polyethylene (LDPE) Blends Exposed to Simulated Recycling. Polym. Degrad. Stab. 2020, 182, 109390. [Google Scholar] [CrossRef]
- Mourad, A.H.I. Thermo-Mechanical Characteristics of Thermally Aged Polyethylene/Polypropylene Blends. Mater. Des. 2010, 31, 918–929. [Google Scholar] [CrossRef]
- Rothstein, E.C. Stabilization of High-density Polyethylene. J. Appl. Polym. Sci. 1968, 12, 1279–1295. [Google Scholar] [CrossRef]
- Julienne, F.; Lagarde, F.; Delorme, N. Influence of the Crystalline Structure on the Fragmentation of Weathered Polyolefines. Polym. Degrad. Stab. 2019, 170, 109012. [Google Scholar] [CrossRef]













| Wavenumber [cm−1] | Assignment | ||
|---|---|---|---|
| BTW | GTW | ||
| 1. | 1019 | 1031 | C–O deformation in primary alcohol |
| 2. | 1146 | 1145 | C–O–C vibration in cellulose and hemicellulose |
| 3. | 1238 | 1233 | C–H stretching |
| 4. | 1324 | 1319 | Primary or secondary O–H bending (in-plane) and phenol or tertiary alcohol (O–H bend) |
| 5. | 1369 | 1366 | CH3 bending |
| 6. | 1415 | 1447 | C–H band in-plane deforming and stretching |
| 7. | 1516 | 1516 | Aromatic skeletal with the C=C band in the aromatic ring |
| 8. | − | 1548 | N–H bending vibrations |
| 9. | 1606 | − | Aromatic skeletal with the C=C band in the aromatic ring |
| 10. | − | 1621 | N–H bending vibrations or C–O bending vibrations |
| 11. | 2850 | 2849 | C–H stretch |
| 12. | 2917 | 2917 | C–H stretch |
| 13. | 3286 | 3284 | O-H stretch |
| Waste Fillers | T95 [°C] | T90 [°C] | T50 [°C] | DTG | Residual Mass [%] | Ash [%] | ||||
|---|---|---|---|---|---|---|---|---|---|---|
| Peak 1 [°C] | Peak 2 [°C] | Peak 3 [°C] | Peak 4 [°C] | Peak 5 [°C] | ||||||
| BTW < 50 | 133.0 | 209.7 | 346.6 | 71.3 | 252.2 | 316.9 | 407.2 | 661.1 | 26.5 | 9.1 |
| BTW 50–100 | 149.7 | 217.0 | 346.3 | 75.5 | 279.8 | 323.7 | 426.9 | 643.8 | 26.2 | 7.7 |
| BTW 100–200 | 145.6 | 217.3 | 356.1 | 79.6 | 284.4 | 327.6 | 428.6 | 27.8 | 5.9 | |
| BTW 200–400 | 145.9 | 215.5 | 389.5 | 89.2 | 259.1 | 330.5 | 373.9 | 30.9 | 5.2 | |
| BTW 400–630 | 148.9 | 216.5 | 390.3 | 93.0 | 269.2 | 335.2 | 411.6 | 30.6 | 5.1 | |
| BTW 630–800 | 152.9 | 221.0 | 374.4 | 92.6 | 270.1 | 335.8 | 413.1 | 29.0 | 4.6 | |
| GTW < 50 | 122.7 | 218.7 | 376.7 | 72.3 | 279.4 | 341.2 | 416.2 | 619.2 | 25.4 | 5.2 |
| GTW 50–100 | 149.4 | 220.5 | 384.7 | 80.5 | 278.1 | 340.2 | 415.9 | 599.8 | 28.3 | 4.9 |
| GTW 100–200 | 155.5 | 222.3 | 397.1 | 86.6 | 278.2 | 340.1 | 418.3 | 579.9 | 30.4 | 5.0 |
| GTW 200–400 | 153.8 | 222.4 | 400.9 | 88.7 | 282.9 | 340.9 | 423.2 | 519.0 | 30.8 | 4.6 |
| GTW 400–630 | 155.5 | 224.8 | 404.8 | 92.6 | 286.1 | 341.9 | 426.0 | 496.6 | 31.2 | 4.8 |
| GTW 630–800 | 155.0 | 222.3 | 407.3 | 93.8 | 272.7 | 336.3 | 410.9 | 31.5 | 4.7 | |
| Particle Size [µm] | Oxidation Induction Time, OIT [min] | ||
|---|---|---|---|
| LDPE SEB 853 | 1% BTW | 1% GTW | |
| <50 | 0.5 | 3.5 | 2.2 |
| 50–100 | 3.4 | 6.4 | |
| 100–200 | 5 | 7.3 | |
| 200–400 | 0.3 | 1.4 | |
| 400–630 | 2.2 | 0.8 | |
| 630–800 | 0.4 | 1.6 | |
| Sample Name | T95 [°C] | T90 [°C] | T50 [°C] | DTG [°C] | Residual Mass [%] |
|---|---|---|---|---|---|
| LDPE | 434.6 | 447.5 | 475.5 | 479.8 | −0.34 |
| BTW < 50 | 435.5 | 447.6 | 474.9 | 480.8 | 0.08 |
| BTW 50–100 | 437.7 | 450.1 | 477.1 | 482.8 | 0.08 |
| BTW 100–200 | 435.7 | 448 | 475.7 | 418.2 | 0.08 |
| BTW 200–400 | 437.1 | 449.8 | 477 | 483.2 | 0.05 |
| BTW 400–630 | 434.3 | 447.2 | 475.5 | 481.4 | 0.11 |
| BTW 630–800 | 429.2 | 445.1 | 474.7 | 477.5 | 0.54 |
| GTW < 50 | 437.7 | 449.8 | 476.5 | 479.6 | 0.1 |
| GTW 50–100 | 438.2 | 449.6 | 476.4 | 482.3 | 0.1 |
| GTW 100–200 | 437.1 | 449.4 | 476.9 | 482.6 | 0.09 |
| GTW 200–400 | 435.6 | 448.7 | 476.4 | 482.8 | 0.08 |
| GTW 400–630 | 434.8 | 448.8 | 477.3 | 483.2 | 0.26 |
| GTW 630–800 | 434.4 | 447.2 | 475.5 | 482.4 | 0.06 |
Disclaimer/Publisher’s Note: The statements, opinions and data contained in all publications are solely those of the individual author(s) and contributor(s) and not of MDPI and/or the editor(s). MDPI and/or the editor(s) disclaim responsibility for any injury to people or property resulting from any ideas, methods, instructions or products referred to in the content. |
© 2024 by the authors. Licensee MDPI, Basel, Switzerland. This article is an open access article distributed under the terms and conditions of the Creative Commons Attribution (CC BY) license (https://creativecommons.org/licenses/by/4.0/).
Share and Cite
Aniśko, J.; Kosmela, P.; Cichocka, J.; Andrzejewski, J.; Barczewski, M. How the Dimensions of Plant Filler Particles Affect the Oxidation-Resistant Characteristics of Polyethylene-Based Composite Materials. Materials 2024, 17, 4825. https://doi.org/10.3390/ma17194825
Aniśko J, Kosmela P, Cichocka J, Andrzejewski J, Barczewski M. How the Dimensions of Plant Filler Particles Affect the Oxidation-Resistant Characteristics of Polyethylene-Based Composite Materials. Materials. 2024; 17(19):4825. https://doi.org/10.3390/ma17194825
Chicago/Turabian StyleAniśko, Joanna, Paulina Kosmela, Joanna Cichocka, Jacek Andrzejewski, and Mateusz Barczewski. 2024. "How the Dimensions of Plant Filler Particles Affect the Oxidation-Resistant Characteristics of Polyethylene-Based Composite Materials" Materials 17, no. 19: 4825. https://doi.org/10.3390/ma17194825
APA StyleAniśko, J., Kosmela, P., Cichocka, J., Andrzejewski, J., & Barczewski, M. (2024). How the Dimensions of Plant Filler Particles Affect the Oxidation-Resistant Characteristics of Polyethylene-Based Composite Materials. Materials, 17(19), 4825. https://doi.org/10.3390/ma17194825

