The Influence of Alloy Composition on Microstructure and Performance of Mixed-Smelting Alloy and Weld Metal
Abstract
1. Introduction
2. Experimental Section
2.1. Materials
2.2. Mixed-Smelting and Welding Conditions of Q345B and ER309L
2.3. Microstructure Examination and Chemical Composition Analysis
2.4. Corrosion Test
3. Results and Discussion
3.1. Microstructure Characterization of Mixed-Smelting Sample
3.1.1. OM Examination
3.1.2. SEM Examination and EDS Analysis
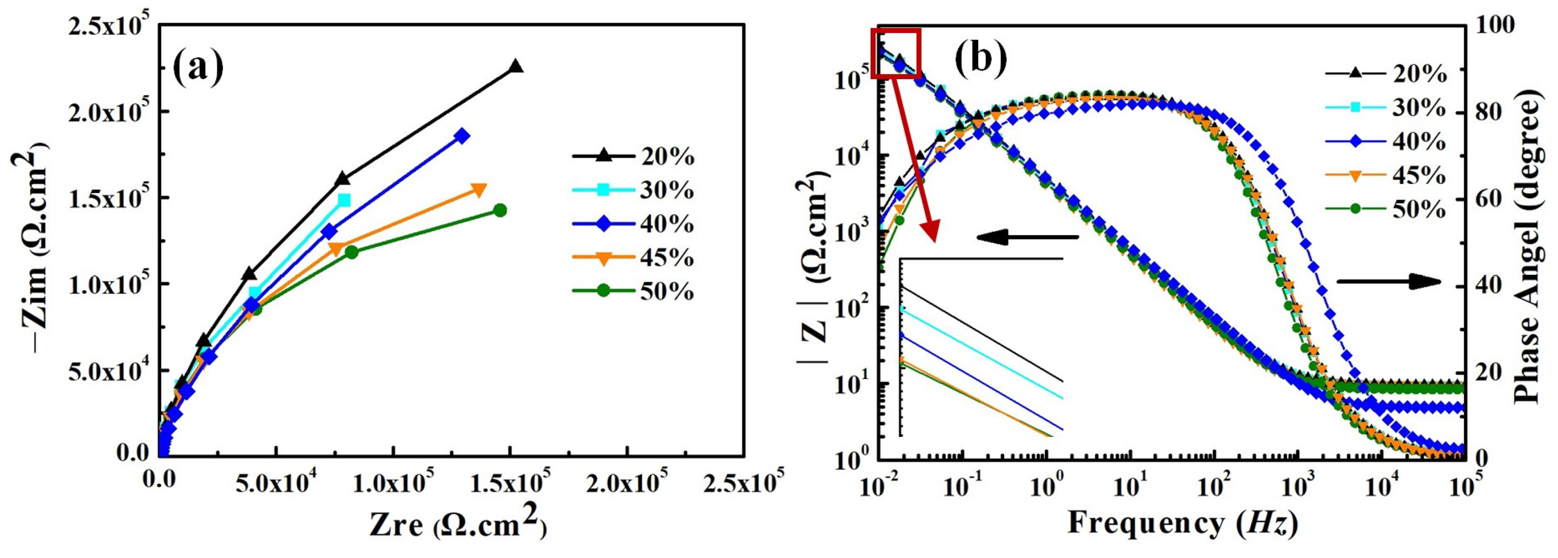
3.2. Corrosion Properties for Mixed-Smelting Sample
3.3. Microstructure Characterization of Weld-Metal Sample
3.4. Corrosion Properties of Weld Metal
4. Conclusions
- (1)
- The composition of the new alloy is obtained by mixed-smelting Q345B low-alloy steel with the different contents and with ER309L stainless steel. The contents of Q345B have the distinct influence on the composition, morphology and corrosion performance of the melted alloys.
- (2)
- The microstructure of the melted alloys containing 20% to 30% Q345B consists of the ferrite (δ) phase and austenite (A) phase, the samples containing 45% to 50% Q345B consists of the martensite (M) phase and austenite (A) phase, and the samples containing 40% Q345B consist of the martensite (M) phase, ferrite phase (δ-phase), and austenite (A) phase.
- (3)
- The fusion ratio between Q345B and ER309L can be changed by the welding heat input during the GMAW process. When the welding heat input is 0.645 kJ/mm and 2.860 kJ/mm, respectively, the composition of the weld metal is consistent with the melted alloy containing 20% and 45% Q345B, and the microstructure and corrosion resistance are also basically equivalent.
- (4)
- All mixed-smelting samples and weld-metal samples exhibit one capacitance loop in their Nyquist plots, and one time constant can be observed during the experimental process. Potentiodynamic polarization and EIS results confirm that the corrosion resistance of samples decreased gradually with the increase in the mixed-smelting ratio for the melted alloy and the welding heat input for the weld metal.
- (5)
- A relationship curve between the fusion ratio and welding heat input is established. The composition of the weld metal obtained with welding heat inputs of 0.645 kJ/mm and 2.860 kJ/mm is basically consistent with the designed alloy composition. Based on this curve and the designed series of new alloy compositions, low-alloy steel and austenitic stainless steel dissimilar-welded joints that meet usage requirements can be prepared. This curve has important guiding significance for engineering applications.
Author Contributions
Funding
Institutional Review Board Statement
Informed Consent Statement
Data Availability Statement
Conflicts of Interest
References
- Chen, L.; Wang, C.; Zhang, X.; Mi, G. Effect of parameters on microstructure and mechanical property of dissimilar joints between 316L stainless steel and GH909 alloy by laser welding. J. Manuf. Process. 2021, 65, 60–69. [Google Scholar] [CrossRef]
- Prabakaran, M.P.; Kannan, G.R. Effects of post-weld heat treatment on dissimilar laser welded joints of austenitic stainless steel to low carbon steel. Int. J. Press. Vessel. Pip. 2021, 191, 104322. [Google Scholar] [CrossRef]
- Yang, W.; Xin, J.; Fang, C.; Dai, W.; Wei, J.; Wu, J.; Song, Y. Microstructure and mechanical properties of ultra-narrow gap laser weld joint of 100 mm-thick SUS304 steel plates. J. Mater. Process. Technol. 2019, 265, 130–137. [Google Scholar] [CrossRef]
- Li, M.; Zou, D.; Li, Y.; Tong, L. Effect of Cooling Rate on Pitting Corrosion Behavior of 904L Austenitic Stainless Steel in a Simulated Flue Gas Desulfurization Solution. Met. Mater. Int. 2023, 29, 730–747. [Google Scholar] [CrossRef]
- Radojković, B.M.; Jegdić, B.V.; Marunkić, D.D.; Pejić, J.N.; Simović, A.R.; Ćosović, V.R.; Bajat, J.B. Non-Destructive Evaluation of the AISI 304 Stainless Steel Susceptibility to Intergranular Corrosion by Electrical Conductivity Measurements. Met. Mater. Int. 2024, 30, 682–696. [Google Scholar] [CrossRef]
- Bera, I.; Bašurić, I.; Šoić, I.; Martinez, S. Investigating the impact of post-weld cleaning and passivation on the performance of austenitic stainless steel using an EIS paste-electrolyte cell. J. Solid State Electrochem. 2024, 28, 2827–2836. [Google Scholar] [CrossRef]
- Wang, J.J.; Peng, F.; Zhou, L. High-Strength Ductility Joining of Multicomponent Alloy to 304 Stainless Steel Using Laser Welding Technique. Materials 2023, 16, 2374. [Google Scholar] [CrossRef]
- Dong, J.N.; Xie, Y.M.; Hu, S.G.; Li, J.; Zhao, Y.; Meng, X.; Huang, Y. Effect of Rotational Velocity on Mechanical and Corrosion Properties of Friction Stir-Welded SUS301L Stainless Steel. Materials 2024, 17, 3486. [Google Scholar] [CrossRef]
- You, X.; Liu, Y.J.; Khan, M.K.; Wang, Q.Y. Low cycle fatigue behaviour and life prediction of Q345B steel and its welded joint. Mater. Res. Innov. 2015, 19, S5-S1299–S5-1303. [Google Scholar] [CrossRef]
- Guo, Z.; Wang, X.; Liu, Y.; Li, F. Longitudinal tensile test on weld metal in fusion zone at high temperature. J. Constr. Steel Res. 2020, 172, 106174. [Google Scholar] [CrossRef]
- Li, S.J.; Wang, Y.F.; Li, Z.Y.; Liu, X.M.; Zhao, S.D. Study on the Semi-Solid Thixotropic Forging Forming Process for the Low-Carbon Steel Claw Pole. Materials 2023, 16, 4790. [Google Scholar] [CrossRef]
- Zhang, B.Y.; Liu, B.X.; He, J.N.; Fang, W.; Zhang, F.Y.; Zhang, X.; Chen, C.; Yin, F. Microstructure and mechanical properties of SUS304/Q235 multilayer steels fabricated by roll bonding and annealing. Mater. Sci. Eng. 2019, 740, 92–107. [Google Scholar] [CrossRef]
- Mishra, D.; Rajanikanth, K.; Shunmugasundaram, M.; Kumar, A.P.; Maneiah, D. Dissimilar resistance spot welding of mild steel and stainless steel metal sheets for optimum weld nugget size. Mater. Today Proc. 2021, 46, 919–924. [Google Scholar] [CrossRef]
- Khan, M.; Dewan, M.W.; Sarkar, M.Z. Effects of welding technique, filler metal and post-weld heat treatment on stainless steel and mild steel dissimilar welding joint. J. Manuf. Process. 2021, 64, 1307–1321. [Google Scholar] [CrossRef]
- Dai, P.; Wang, Y.; Li, S.; Lu, S.; Feng, G.; Deng, D. FEM analysis of residual stress induced by repair welding in SUS304 stainless steel pipe butt-welded joint. J. Manuf. Process. 2020, 58, 975–983. [Google Scholar] [CrossRef]
- Zhaogui, L.; Peng, B.; Lei, W.; Xue, Y.P.; Jin, Y. Local electrochemical properties of fusion boundary region in SA508-309L/308L overlay welded joint. Corros. Sci. 2019, 155, 75–85. [Google Scholar] [CrossRef]
- Okonkwo, B.O.; Ming, H.L.; Zhang, Z.M.; Wang, J.Q.; Rahimi, E.; Hosseinpour, S.; Davoodi, A. Microscale investigation of the correlation between microstructure and galvanic corrosion of low alloy steel A508 and its welded 309/308L stainless steel overlayer. Corros. Sci. 2019, 154, 49–60. [Google Scholar] [CrossRef]
- Jin, J.; Tian, X.; Tao, Y.; Kou, X.; Mi, Y.; Xu, X.; Yang, H. Effect of carbon doping on corrosion resistance and conductivity of CrMoN-coated 316L stainless steel bipolar plates. J. Solid State Electrochem. 2023, 27, 2309–2321. [Google Scholar] [CrossRef]
- Abioye, T.E.; Ariwoola, O.E.; Ogedengbe, T.I.; Farayibi, P.K.; Gbadeyan, O.O. Effects of Welding Speed on the Microstructure and Corrosion Behavior of Dissimilar Gas Metal Arc Weld Joints of AISI 304 Stainless Steel and Low Carbon Steel. Mater. Today Proc. 2019, 17, 871–877. [Google Scholar] [CrossRef]
- Huang, Y.Q.; Huang, J.K.; Zhang, J.X.; Yu, X.Q.; Qi, L.; Wang, Z.; Fan, D. Microstructure and corrosion characterization of weld metal in stainless steel and low carbon steel joint under different heat input. Mater. Today Commun. 2021, 29, 102948. [Google Scholar] [CrossRef]
- Rahman, M.S.A.; Raheem, N.A.A.; El Koussy, M.R. Effect of Heat Input on the Microstructure and Properties of Dissimilar Weld Joint Between Incoloy 28 and Superaustenitic Stainless Steel. Acta Met. Sin. 2014, 27, 259–266. [Google Scholar] [CrossRef]
- Aghayar, Y.; Naghashzadeh, A.; Atapour, M. An assessment of microstructure and mechanical properties of inconel 601/304 stainless steel dissimilar weld. Vacuum 2021, 184, 109970. [Google Scholar] [CrossRef]
- Sharma, P.; Dwivedi, D.K. A-TIG welding of dissimilar P92 steel and 304H austenitic stainless steel: Mechanisms, microstructure and mechanical properties. J. Manuf. Process. 2019, 44, 166–178. [Google Scholar] [CrossRef]
- Hamada, A.; Ali, M.; Ghosh, S.; Jaskari, M.; Järvenpää, A. Mechanical performance and formability of laser-welded dissimilar butt joints between medium-Mn stainless steel and high-strength carbon steel. Mater. Sci. Eng. 2022, 831, 142200. [Google Scholar] [CrossRef]
- Zhang, T.; Wang, W.; Zhou, J.; Yan, Z.; Zhang, J. Interfacial characteristics and nano-mechanical properties of dissimilar 304 austenitic stainless steel/AZ31B Mg alloy welding joint. J. Manuf. Process. 2019, 42, 257–265. [Google Scholar] [CrossRef]
- Pankaj, P.; Tiwari, A.; Bhadra, R.; Biswas, P. Experimental investigation on CO2 laser butt welding of AISI 304 stainless steel and mild steel thin sheets. Opt. Laser Technol. 2019, 119, 105633. [Google Scholar] [CrossRef]
- Okonkwo, B.O.; Ming, H.L.; Li, Z.M.; Li, L.; Chen, Y.M.; Peng, J.J.; Wang, J.Q. Insight into the galvanic corrosion behaviour of low alloy steel A508/309 L/308 L stainless steel dissimilar metal weld at different temperatures. Mater. Today. Commun. 2024, 38, 107963. [Google Scholar] [CrossRef]
- Paola, L.; Paulo, T.D.C.; Paulo, S.; Carlos, A.H.L.; Ossimar, M.; Ricardo, D.T. Effect of welding energy on the corrosion and tribological properties of duplex stainless steel weld overlay deposited by GMAW/CMT process. Surf. Coat. Tech. 2019, 375, 688–693. [Google Scholar] [CrossRef]
- Pinheiro, F.W.; Souza, L.M.D.; Pereira, E.C.; Monteiro, S.N.; Azevedo, A.R.G. Effect of solubilization heat treatment on microstructure and corrosion resistance of joints welded with the autogenous TIG process duplex stainless steel. J. Mater. Res. Technol. 2023, 26, 1527–1536. [Google Scholar] [CrossRef]
- Yelamasetti, B.; Adithya, G.S.; Ramadevi, R.S.; Sonia, P.; Saxena, K.K.; P, N.K.; Eldin, S.M.; Kafaji, F.H.K.A. Metallurgical, mechanical and corrosion behaviour of pulsed and constant current TIG dissimilar welds of AISI 430 and Inconel 718. J. Mater. Res. Technol. 2023, 24, 6652–6664. [Google Scholar] [CrossRef]
- Lin, C.M.; Tsai, H.L.; Cheng, C.D.; Yang, C. Effect of repeated weld-repairs on microstructure, texture, impact properties and corrosion properties of AISI 304L stainless steel. Eng. Fail. Anal. 2012, 21, 9–20. [Google Scholar] [CrossRef]
- Jiang, W.; Luo, Y.; Zhang, G.; Woo, W.; Tu, S.T. Experimental to study the effect of multiple weld-repairs on microstructure, hardness and residual stress for a stainless steel clad plate. Mater. Des. 2013, 51, 1052–1059. [Google Scholar] [CrossRef]
- Shao, Q.; Shi, Y.J.; Wang, X.D.; Li, M.J.; Chang, Y.P.; Gan, Y.H.; Cai, B. Study of repair welding on microstructure, mechanical properties and corrosion resistance of dissimilar welded joints of SUS304 and Q345B steel. J. Mater. Res. Technol. 2023, 23, 4173–4189. [Google Scholar] [CrossRef]
- Ge, G.N.; Hu, J.; Huo, Y.; Liu, Y.; Tang, S.; Ding, J.; Zhang, K.; Li, J. Effect of arc energy on the microstructure and electrochemical behavior of duplex stainless steel weld overlay deposited by GMAW process. J. Solid State Electrochem. 2024, 28, 2125–2138. [Google Scholar] [CrossRef]
- Zhou, X.H.; Li, R.H.; Liu, F.Y.; Wang, B.; Wei, L.; Tian, L.; Yang, M.; Song, X.; Tan, C. Microstructure evolution and corrosion behavior improvement of oscillation laser welded 2205/316L dissimilar joints used in offshore platform. Ocean Eng. 2024, 311, 118833. [Google Scholar] [CrossRef]
- Maurya, A.K.; Bhattacharyya, A.; Chhibber, R.; Pandey, C. Structural integrity and corrosion behavior assessment of the dissimilar gas tungsten arc welded joint of sDSS 2507/ IN625 superalloy. Mater. Chem. Phys. 2024, 318, 129322. [Google Scholar] [CrossRef]
- Muthupandi, V.; Srinivasan, P.B.; Shankar, V.; Seshadri, S.K.; Sundaresan, S. Effect of nickel and nitrogen addition on the microstructure and mechanical properties of power beam processed duplex stainless steel (UNS 31803) weld metals. Mater. Lett. 2005, 59, 2305–2309. [Google Scholar] [CrossRef]
- Jiang, Y.M.; Tan, H.; Wang, Z.Y.; Hong, J.F.; Jiang, L.; Li, J. Influence of Creq/Nieq on pitting corrosion resistance and mechanical properties of UNS S32304 duplex stainless steel welded joints. Corros. Sci. 2013, 70, 252–259. [Google Scholar] [CrossRef]
- Shaeffler, A.L. Constitution diagram for stainless steel weld metal. Met. Prog. 1949, 56, 680. [Google Scholar]
- Yousefieh, M.; Shamanian, M.; Saatchi, A. Optimization of the pulsed current gas tungsten arc welding (PCGTAW) parameters for corrosion resistance of super duplex stainless steel (UNS S32760) welds using the Taguchi method. J. Alloys Compd. 2011, 509, 782–788. [Google Scholar] [CrossRef]
- Adeli, M.; Golozar, M.A.; Raeissi, K. Pitting corrosion of SAF2205 duplex stainless steel in acetic acid containing bromide and chloride. Chem. Eng. Commun. 2010, 197, 1404–1416. [Google Scholar] [CrossRef]
- Lee, J.S.; Fushimi, K.; Nakanishi, T.; Hasegawa, Y.; Park, Y.S. Corrosion behavior of ferrite and austenite phases on super duplex stainless steel in a modified green-death solution. Corros. Sci. 2014, 89, 111–117. [Google Scholar] [CrossRef]
- Frankel, G.S. Pitting corrosion of Metals: A review of the critical factors. J. Electrochem. Soc. 1998, 145, 2970–2976. [Google Scholar] [CrossRef]
- Deng, B.; Jiang, Y.; Gong, J.; Zhong, C.; Gao, J.; Li, J. Critical pitting and repassivation temperatures for duplex stainless steel in chloride solutions. Electrochim. Acta 2008, 53, 5220–5225. [Google Scholar] [CrossRef]
- Wang, Z.H.; Xu, J.; Shoji, T.; Takeda, Y.; Yuya, H.; Ooyama, M. Microstructure and pitting behavior of the dissimilar metal weld of 309L cladding and low alloy steel A533B. J. Nucl. Mater. 2018, 508, 1–11. [Google Scholar] [CrossRef]
- Danaee, I. Kinetics and mechanism of palladium electrodeposition on graphite electrode by impedance and noise measurements. J. Energy Chem. 2011, 662, 415–420. [Google Scholar] [CrossRef]
- Kangazian, J.; Shamanian, M. Micro-texture and corrosion behavior of dissimilar joints of UNS S32750 stainless steel/UNS N08825 Ni-based superalloy. Mater. Charact. 2019, 155, 109802. [Google Scholar] [CrossRef]
















| Metal | C | Si | Mn | Cr | Ni | Mo | Cu | Fe |
|---|---|---|---|---|---|---|---|---|
| Q345B | 0.1 | 0.29 | 1.24 | 0.077 | 0.032 | 0.0061 | 0.095 | Bal. |
| ER309L | 0.032 | 0.48 | 2.11 | 24.7 | 13 | - | 0.004 | Bal. |
| Test | Voltage (V) | Current (A) | Speed (mm/s) | Heat Input (kJ/mm) |
|---|---|---|---|---|
| 1 | 19 | 140 | 3.3 ± 0.2 | 0.645 |
| 2 | 21 | 189 | 3.3 ± 0.2 | 0.962 |
| 3 | 28 | 260 | 3.3 ± 0.2 | 1.765 |
| 4 | 34 | 347 | 3.3 ± 0.2 | 2.860 |
| Smelting Ratios | C | Si | Mn | Cr | Ni | Mo | Cu | Fe | Creq | Nieq |
|---|---|---|---|---|---|---|---|---|---|---|
| 20% | 0.044 | 0.45 | 1.95 | 20.27 | 10.67 | 0.0011 | 0.021 | Bal. | 20.27 | 12.97 |
| 30% | 0.052 | 0.42 | 1.85 | 17.31 | 9.11 | 0.0018 | 0.031 | Bal. | 17.32 | 11.61 |
| 40% | 0.059 | 0.40 | 1.76 | 14.85 | 7.81 | 0.0024 | 0.04 | Bal. | 14.86 | 10.47 |
| 45% | 0.063 | 0.39 | 1.72 | 13.62 | 7.16 | 0.0027 | 0.04 | Bal. | 13.63 | 9.90 |
| 50% | 0.066 | 0.39 | 1.68 | 12.39 | 6.52 | 0.0031 | 0.05 | Bal. | 12.40 | 9.33 |
| Smelting Ratio (%) | *βa (mV/Decade) | **βc (mV/Decade) | Icorr (10−8 A/cm2) | Ecorr (mV vs. SCE) | Eb (mV vs. SCE) | Eb − Ecorr (mV) |
|---|---|---|---|---|---|---|
| 20 | 130 | −99.2 | 7 | 101 | 583 | 482 |
| 30 | 174 | −92.4 | 11 | 89 | 520 | 431 |
| 40 | 219 | −83.4 | 12 | 69 | 489 | 420 |
| 45 | 245 | −82.4 | 15 | 59 | 335 | 276 |
| 50 | 250 | −81.7 | 16 | 58 | 325 | 267 |
| Smelting Ratio (%) | Rs (Ω cm2) | Rct (kΩ cm2) | Qdl (10−5 sn Ω−1 cm−2) | ndl | χ2 10−4 |
|---|---|---|---|---|---|
| 20 | 8 | 558 | 3.00 | 0.931 | 1.04 |
| 30 | 5 | 412 | 3.91 | 0.911 | 1.93 |
| 40 | 5 | 261 | 4.35 | 0.934 | 1.27 |
| 45 | 9 | 258 | 4.92 | 0.938 | 0.86 |
| 50 | 9 | 165 | 5.86 | 0.931 | 4.27 |
| Fusion Ratio (%) | βa (mV/Decade) | βc (mV/Decade) | Icorr (10−8 A/cm2) | Ecorr (mV vs. SCE) | Eb (mV vs. SCE) | Eb − Ecorr (mV) |
|---|---|---|---|---|---|---|
| 18 | 258 | −60.5 | 4 | 63 | 814 | 751 |
| 25 | 262 | −67.6 | 6 | 51 | 660 | 609 |
| 38 | 314 | −72.5 | 10 | 30 | 521 | 491 |
| 46 | 354 | −78.6 | 13 | 28 | 517 | 489 |
| Fusion Ratio (%) | Rs (Ω cm2) | Rct (kΩ cm2) | Qdl (10−5 sn Ω−1 cm−2) | ndl | χ2 10−4 |
|---|---|---|---|---|---|
| 18 | 4 | 859 | 3.51 | 0.9213 | 0.17 |
| 25 | 4 | 590 | 3.72 | 0.9071 | 0.8 |
| 38 | 5 | 405 | 3.84 | 0.9228 | 1.35 |
| 46 | 4 | 315 | 4.14 | 0.9032 | 1.34 |
Disclaimer/Publisher’s Note: The statements, opinions and data contained in all publications are solely those of the individual author(s) and contributor(s) and not of MDPI and/or the editor(s). MDPI and/or the editor(s) disclaim responsibility for any injury to people or property resulting from any ideas, methods, instructions or products referred to in the content. |
© 2024 by the authors. Licensee MDPI, Basel, Switzerland. This article is an open access article distributed under the terms and conditions of the Creative Commons Attribution (CC BY) license (https://creativecommons.org/licenses/by/4.0/).
Share and Cite
Ge, G.; Hu, J.; Hu, Z.; Li, H.; Huo, Y.; Tang, S.; Liu, Y.; Ding, J.; Hou, S.; Gao, Y. The Influence of Alloy Composition on Microstructure and Performance of Mixed-Smelting Alloy and Weld Metal. Materials 2024, 17, 4708. https://doi.org/10.3390/ma17194708
Ge G, Hu J, Hu Z, Li H, Huo Y, Tang S, Liu Y, Ding J, Hou S, Gao Y. The Influence of Alloy Composition on Microstructure and Performance of Mixed-Smelting Alloy and Weld Metal. Materials. 2024; 17(19):4708. https://doi.org/10.3390/ma17194708
Chicago/Turabian StyleGe, Guangnan, Jin Hu, Zongqiu Hu, Haijun Li, Yan Huo, Shawei Tang, Yi Liu, Junfeng Ding, Shipu Hou, and Yunbao Gao. 2024. "The Influence of Alloy Composition on Microstructure and Performance of Mixed-Smelting Alloy and Weld Metal" Materials 17, no. 19: 4708. https://doi.org/10.3390/ma17194708
APA StyleGe, G., Hu, J., Hu, Z., Li, H., Huo, Y., Tang, S., Liu, Y., Ding, J., Hou, S., & Gao, Y. (2024). The Influence of Alloy Composition on Microstructure and Performance of Mixed-Smelting Alloy and Weld Metal. Materials, 17(19), 4708. https://doi.org/10.3390/ma17194708
