The Influence of Local Constraints on Solvent Motion in Polymer Materials
Abstract
1. Introduction
2. Materials and Methods
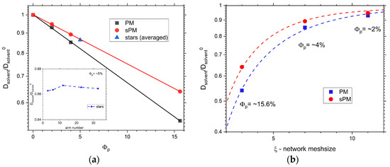
3. Results and Discussion
4. Conclusions
Author Contributions
Funding
Institutional Review Board Statement
Informed Consent Statement
Data Availability Statement
Acknowledgments
Conflicts of Interest
References
- Masaro, L.; Zhu, X.X. Physical models of diffusion for polymer solutions, gels and solids. Prog. Polym. Sci. 1999, 24, 731–775. [Google Scholar] [CrossRef]
- Kohli, I.; Mukhopadhyay, A. Diffusion of nanoparticles in semidilute polymer solutions: Effect of different length scales. Macromolecules 2012, 45, 6143–6149. [Google Scholar] [CrossRef]
- Grabowski, C.A.; Mukhopadhyay, A. Size effect of nanoparticle diffusion in a polymer melt. Macromolecules 2014, 47, 7238–7242. [Google Scholar] [CrossRef]
- Vagias, A.; Schulze, J.; Doroshenko, M.; Koynov, K.; Butt, H.-J.; Gauthier, M.; Fytas, G.; Vlassopoulos, D. Molecular tracer diffusion in nondilute polymer solutions: Universal master curve and glass transition effects. Macromolecules 2015, 48, 8907–8912. [Google Scholar] [CrossRef]
- Sozański, K.; Wiśniewska, A.; Kalwarczyk, T.; Hołyst, R. Activation energy for mobility of dyes and proteins in polymer solutions: From diffusion of single particles to macroscale flow. Phys. Rev. Lett. 2013, 111, 22830. [Google Scholar] [CrossRef]
- Vagias, A.; Raccis, R.; Koynov, K.; Jonas, U.; Butt, H.-J.; Fytas, G.; Košovan, P.; Lenz, O.; Holm, C. Complex tracer diffusion dynamics in polymer solutions. Phys. Rev. Lett. 2013, 111, 088301. [Google Scholar] [CrossRef]
- Cherdhirankorn, T.; Harmandaris, V.; Juhari, A.; Voudouris, P.; Fytas, G.; Kremer, K.; Koynov, K. Fluorescence correlation spectroscopy study of molecular probe diffusion in polymer melts. Macromolecules 2009, 42, 4858–4866. [Google Scholar] [CrossRef]
- Vagias, A.; Košovan, P.; Koynov, K.; Holm, C.; Butt, H.-J.; Fytas, G. Dynamics in stimuli-responsive poly(N-isopropylacrylamide) hydrogel layers as revealed by fluorescence correlation spectroscopy. Macromolecules 2014, 47, 5303–5512. [Google Scholar] [CrossRef]
- Raccis, R.; Roskamp, R.; Hopp, I.; Menges, B.; Koynov, K.; Jonas, U.; Knoll, W.; Butt, H.-J.; Fytas, G. Probing mobility and structural inhomogeneities in grafted hydrogel films by fluorescence correlation spectroscopy. Soft Matter 2011, 7, 7042–7053. [Google Scholar] [CrossRef]
- Cherdhirankorn, T.; Floudas, G.; Butt, H.-J.; Koynov, K. Effects of chain topology on the tracer diffusion in star polyisoprenes. Macromolecules 2009, 42, 9183–9789. [Google Scholar] [CrossRef]
- Piechocki, K.; Koynov, K.; Piechocka, J.; Chamerski, K.; Filipecki, J.; Maczugowska, P.; Kozanecki, M. Small molecule diffusion in poly-(olygo ethylene glycol methacrylate) based hydrogels studied by fluorescence correlation spectroscopy. Polymer 2022, 244, 124628. [Google Scholar] [CrossRef]
- Petit, J.-M.; Zhu, X.X.; Macdonald, P.M. Solute probe diffusion in aqueous solutions of Poly(vinyl alcohol) as studied by pulsed-gradient spin-echo NMR spectroscopy. Macromolecules 1996, 29, 70–76. [Google Scholar] [CrossRef]
- Cicerone, M.T.; Blackburn, F.R.; Ediger, M.D. Anomalous diffusion of probe molecules in polystyrene: Evidence for spatially heterogeneous segmental dynamics. Macromolecules 1995, 28, 8224–8232. [Google Scholar] [CrossRef]
- Tihminlioglu, F.; Danner, R.P. Solvent diffusion in amorphous polymers: Polystyrene-solvent systems. J. Polym. Sci. Part B Polym. Phys. 2000, 38, 1965–1974. [Google Scholar] [CrossRef]
- George, S.C.; Thomas, S. Transport phenomena through polymeric systems. Prog. Polym. Sci. 2001, 26, 985–1017. [Google Scholar] [CrossRef]
- Condamin, S.; Tejedor, V.; Voituriez, R.; Bénichou, O.; Klafter, J. Probing microscopic origins of confined subdiffusion by first-passage observables. Proc. Natl. Acad. Sci. USA 2008, 105, 5675–5680. [Google Scholar] [CrossRef] [PubMed]
- Banks, D.S.; Fradin, C. Anomalous diffusion of proteins due to molecular crowding. Biophys. J. 2005, 89, 2960–2971. [Google Scholar] [CrossRef]
- Guglas, G.; Kalla, C.; Weiss, M. The degree of macromolecular crowding in the cytoplasm and nucleoplasm of mammalian cells is conserved. FEBS Lett. 2008, 581, 5094–5098. [Google Scholar]
- Dix, J.A.; Verkman, A.S. Crowding effects on diffusion in solutions and cells. Annu. Rev. Biophys. 2008, 37, 247–263. [Google Scholar] [CrossRef]
- Fanelli, D.; McKane, A.J. Diffusion in a crowded environment. Phys. Rev. E 2010, 82, 021113. [Google Scholar] [CrossRef]
- Wang, K.; Composto, R.J.; Winey, K.I. ToF-SIMS depth profiling to measure nanoparticle and polymer diffusion in polymer melts. Macromolecules 2023, 56, 2277–2285. [Google Scholar] [CrossRef]
- Ben-Avraham, D.; Havlin, S. Diffusion and Reactions in Fractals and Disordered Systems; Cambridge University Press: Cambridge, UK, 2000. [Google Scholar]
- Sokolov, I.M. Models of anomalous diffusion in crowded environments. Soft Matter 2012, 8, 9043–9052. [Google Scholar] [CrossRef]
- Höfling, F.; Franosch, T. Anomalous transport in the crowded world of biological cells. Rep. Prog. Phys. 2013, 76, 046602. [Google Scholar] [CrossRef] [PubMed]
- Metzler, R.; Klafter, J. The random walk’s guide to anomalous diffusion: A fractional dynamics approach. Phys. Rep. 2000, 339, 1–77. [Google Scholar] [CrossRef]
- Ogston, A.G.; Preston, B.N.; Wells, J.D. On the transport of compact particles through solutions of chain-polymers. Proc. R. Soc. London A 1973, 333, 297–316. [Google Scholar]
- Johansson, L.; Elvingson, C.; Löfroth, J.E. Diffusion and interaction in gels and solutions. 3. Theoretical results on the obstruction effect. Macromolecules 1991, 24, 6024–6029. [Google Scholar] [CrossRef]
- Mackie, J.S.; Mears, P. The diffusion of electrolytes in a cation-exchange resin membrane I. Theoretical. Proc. R. Soc. London A 1955, 232, 498–509. [Google Scholar]
- Waggoner, A.R.; Blum, F.D.; MacElroy, J.M.D. Dependence of the solvent diffusion coefficient on concentration in polymer solutions. Macromolecules 1993, 26, 6841–6848. [Google Scholar] [CrossRef]
- Axpe, E.; Chan, D.; Offeddu, G.S.; Chang, Y.; Merida, D.; Lopez Hernandez, H.; Appel, E.A. A multiscale model for solute diffusion in hydrogels. Macromolecules 2019, 52, 6889–6897. [Google Scholar] [CrossRef]
- Phillies, G.D.J.; Ullmann, G.S.; Ullmann, K.; Lin, T.H. Phenomenological scaling laws for ‘‘semidilute’’ macromolecule solutions from light scattering by optical probe particles. J. Chem. Phys. 1985, 82, 5242–5246. [Google Scholar] [CrossRef]
- Phillies, G.D.J. Quantitative prediction of α in the scaling law for self-diffusion. Macromolecules 1988, 21, 3101–3106. [Google Scholar] [CrossRef]
- Cukier, R.I. Diffusion of Brownian spheres in semidilute polymer solutions. Macromolecules 1984, 17, 252–256. [Google Scholar] [CrossRef]
- Dong, Y.; Feng, X.; Zhao, N.; Hou, Z. Diffusion of nanoparticles in semidilute polymer solutions: A mode-coupling theory study. J. Chem. Phys. 2015, 143, 024903. [Google Scholar] [CrossRef] [PubMed]
- Vrentas, J.S.; Duda, J.L.; Ling, H.C. Self-diffusion in polymer-solvent-solvent systems. J. Polym. Sci. Polym. Phys. Ed. 1985, 22, 459–469. [Google Scholar] [CrossRef]
- Vrentas, J.S.; Duda, J.L.; Ling, H.C. Free-volume theories for self-diffusion in polymer–solvent systems. II. Predictive capabilities. J. Polym. Sci. Polym. Phys. Ed. 1985, 23, 289–304. [Google Scholar] [CrossRef]
- Fujita, H. Diffusion in polymer-diluent systems. Adv. Polym. Sci. 1961, 3, 1–47. [Google Scholar]
- Yasuda, H.; Lamaze, C.E.; Ikenberry, L.D. Permeability of solutes through hydrated polymer membranes. Part I. Diffusion of sodium chloride. Makromol. Chem. 1968, 118, 19–35. [Google Scholar] [CrossRef]
- Mansuri, A.; Völkel, M.; Feuerbach, T.; Winck, J.; Vermeer, A.W.P.; Hoheisel, W.; Thommes, M. Modified free volume theory for self-diffusion of small molecules in amorphous polymers. Macromolecules 2023, 56, 3224–3237. [Google Scholar] [CrossRef]
- Amsden, B.G. Hydrogel mesh size and its impact on predictions of mathematical models of the solute diffusion coefficient. Macromolecules 2022, 55, 8399–8408. [Google Scholar] [CrossRef]
- Żerko, S.; Polanowski, P.; Sikorski, A. Percolation in two-dimensional cyclic chains systems. Soft Matter 2012, 8, 973–979. [Google Scholar] [CrossRef]
- Polanowski, P.; Sikorski, A. Simulation of diffusion in a crowded environment. Soft Matter 2014, 10, 3597–3607. [Google Scholar] [CrossRef] [PubMed]
- Kozanecki, M.; Hałagan, K.; Saramak, J.; Matyjaszewski, K. Diffusive properties of solvent molecules in the neighborhood of a polymer chain as seen by Monte-Carlo simulations. Soft Matter 2016, 12, 5519–5528. [Google Scholar] [CrossRef] [PubMed]
- Polanowski, P.; Sikorski, A. Diffusion of small particles in polymer films. J. Chem. Phys. 2017, 147, 014902. [Google Scholar] [CrossRef] [PubMed]
- Polanowski, P.; Sikorski, A. Motion in a crowded environment: The influence of obstacles’ size and model of transport. J. Mol. Model. 2019, 25, 84. [Google Scholar] [CrossRef] [PubMed]
- Polanowski, P.; Sikorski, A. Simulation of molecular transport in systems containing mobile obstacles. J. Phys. Chem. B 2016, 120, 7529–7537. [Google Scholar] [CrossRef]
- Lin, T.-W.; Mei, B.; Schweizer, K.S.; Sing, C.E. Simulation study of the effects of polymer network dynamics and mesh confinement on the diffusion and structural relaxation of penetrants. J. Chem. Phys. 2023, 159, 014904. [Google Scholar] [CrossRef]
- Chen, S.B. Dissipative Particle Dynamics simulation of nanoparticle diffusion in a crosslinked polymer network. J. Phys. Chem. B 2022, 126, 7184–7191. [Google Scholar] [CrossRef]
- Kurzidim, J.; Coslovich, D.; Kahl, G. Single-particle and collective slow dynamics of colloids in porous confinement. Phys. Rev. Lett. 2009, 103, 138303. [Google Scholar] [CrossRef]
- Cho, H.W.; Kwon, G.; Sung, B.J.; Yethiraj, A. Effect of polydispersity on diffusion in random obstacle matrices. Phys. Rev. Lett. 2012, 2012. 109, 155901. [Google Scholar] [CrossRef]
- Skinner, T.O.E.; Schnyder, S.K.; Aart, D.G.A.L.; Horbach, J.; Dullens, R.P.A. Localization dynamics of fluids in random confinement. Phys. Rev. Lett. 2013, 111, 128301. [Google Scholar] [CrossRef]
- Lin, E.; You, X.; Kriegel, R.M.; Moffitt, R.D.; Batra, R.C. Interdiffusion of small molecules into a glassy polymer film via coarse-grained molecular dynamics simulations. Polymer 2017, 115, 273–284. [Google Scholar] [CrossRef]
- Samanta, N.; Chakrabarti, R. Tracer diffusion in a sea of polymers with binding zones: Mobile vs. frozen traps. Soft Matter 2016, 12, 8554–8563. [Google Scholar] [CrossRef] [PubMed]
- Sung, B.J.; Yethiraj, A. The effect of matrix structure on the diffusion of fluids in porous media. J. Chem. Phys. 2008, 128, 054702. [Google Scholar] [CrossRef]
- Elder, R.M.; Saylor, D.M. Relations between dynamic localization and solute diffusion in polymers. J. Phys. Chem. B 2021, 125, 9372–9383. [Google Scholar] [CrossRef] [PubMed]
- Saylor, D.M.; Jawahery, S.; Silverstein, J.S.; Forrey, C. Relationship between solute localization and diffusion in a dynamically constrained polymer system. J. Chem. Phys. 2016, 145, 031106. [Google Scholar] [CrossRef]
- Zhang, K.; Kumar, S.K. Molecular simulations of solute transport in polymer melts. ACS Macro Lett. 2017, 6, 864–868. [Google Scholar] [CrossRef]
- Zhang, R.; Schweizer, K. Statistical mechanical theory of penetrant diffusion in polymer melts and glasses. Macromolecules 2016, 49, 5727–5739. [Google Scholar] [CrossRef]
- Müller-Plathe, F. Diffusion of penetrants in amorphous polymers: A Molecular Dynamics study. J. Chem. Phys. 1991, 94, 3192–3199. [Google Scholar] [CrossRef]
- Tsai, Y.-C.; Chiu, C.C. Solute diffusivity and local free volume in cross-linked polymer network: Implication of optimizing the conductivity of polymer electrolyte. Polymers 2022, 14, 2061. [Google Scholar] [CrossRef]
- Quesada-Pérez, M.; Martín-Molina, A. Solute diffusion in gels: Thirty years of simulations. Adv. Colloid Interface Sci. 2021, 287, 102320. [Google Scholar] [CrossRef]
- Quesada-Pérez, M.; Maroto-Centeno, J.-A.; Ramos-Tejada, M.; Martín-Molina, A. Coarse-grained simulations of solute diffusion in crosslinked flexible hydrogels. Macromolecules 2022, 55, 1495–1504. [Google Scholar] [CrossRef]
- Cai, L.-H.; Panyukov, S.; Rubinstein, M. Mobility of nonsticky nanoparticles in polymer liquids. Macromolecules 2011, 44, 7853–7863. [Google Scholar] [CrossRef] [PubMed]
- Cai, L.-H.; Panyukov, S.; Rubinstein, M. Hopping diffusion of nanoparticles in polymer matrices. Macromolecules 2015, 48, 847–862. [Google Scholar] [CrossRef] [PubMed]
- Dürr, O.; Volz, T.; Dieterich, W.; Nitzan, A. Dynamic percolation theory for particle diffusion in a polymer network. J. Chem. Phys. 2002, 117, 441–447. [Google Scholar] [CrossRef]
- Pakula, T. Cooperative relaxations in condensed macromolecular systems. 1. A model for computer simulation. Macromolecules 1987, 20, 679–682. [Google Scholar] [CrossRef]
- Pakula, T.; Geyler, S. Cooperative relaxations in condensed macromolecular systems. 2. Computer simulation of self-diffusion of linear chains. Macromolecules 1987, 20, 2909–2914. [Google Scholar] [CrossRef]
- Geyler, S.; Pakula, T.; Reiter, J. Monte Carlo simulation of dense polymer systems on a lattice. J. Chem. Phys. 1990, 92, 2676–2680. [Google Scholar] [CrossRef]
- Polanowski, P.; Pakula, T. Studies of polymer conformation and dynamics in two dimensions using simulations based on the Dynamic Lattice Liquid (DLL) model. J. Chem. Phys. 2022, 117, 4022–4029. [Google Scholar] [CrossRef]
- Polanowski, P.; Jeszka, J.K.; Matyjaszewski, K. Modeling of branching and gelation in living copolymerization of monomer and divinyl cross-linker using dynamic lattice liquid model (DLL) and Flory–Stockmayer model. Polymer 2010, 51, 6084–6092. [Google Scholar] [CrossRef]
- Polanowski, P.; Jeszka, J.K.; Li, W.; Matyjaszewski, K. Effect of dilution on branching and gelation in living copolymerization of monomer and divinyl cross-linker: Modeling using dynamic lattice liquid model (DLL) and Flory–Stockmayer (FS) model. Polymer 2011, 52, 5092–5101. [Google Scholar] [CrossRef]
- Polanowski, P.; Gao, H.; Matyjaszewski, K. Gelation in living copolymerization of monomer and divinyl cross-linker: Comparison of ATRP experiments with Monte Carlo simulations. Macromolecules 2009, 42, 5925–5932. [Google Scholar]
- Pietrasik, J.; Budzałek, K.K.; Zhang, Y.; Hałagan, K.; Kozanecki, M. Macromolecular templates for synthesis of inorganic Nanoparticles. In Reversible Deactivation Radical Polymerization: From Mechanisms to Materials and Applications; Matyjaszewski, K., Gao, H., Sumerlin, B.S., Tsarevsky, N.V., Eds.; ACS Symposium Series; American Chemical Society: Washington, DC, USA, 2018; Volume 1285, Chapter 10; pp. 169–200. [Google Scholar]









Disclaimer/Publisher’s Note: The statements, opinions and data contained in all publications are solely those of the individual author(s) and contributor(s) and not of MDPI and/or the editor(s). MDPI and/or the editor(s) disclaim responsibility for any injury to people or property resulting from any ideas, methods, instructions or products referred to in the content. |
© 2024 by the authors. Licensee MDPI, Basel, Switzerland. This article is an open access article distributed under the terms and conditions of the Creative Commons Attribution (CC BY) license (https://creativecommons.org/licenses/by/4.0/).
Share and Cite
Hałagan, K.; Duniec, P.; Kozanecki, M.; Sikorski, A. The Influence of Local Constraints on Solvent Motion in Polymer Materials. Materials 2024, 17, 4711. https://doi.org/10.3390/ma17194711
Hałagan K, Duniec P, Kozanecki M, Sikorski A. The Influence of Local Constraints on Solvent Motion in Polymer Materials. Materials. 2024; 17(19):4711. https://doi.org/10.3390/ma17194711
Chicago/Turabian StyleHałagan, Krzysztof, Przemysław Duniec, Marcin Kozanecki, and Andrzej Sikorski. 2024. "The Influence of Local Constraints on Solvent Motion in Polymer Materials" Materials 17, no. 19: 4711. https://doi.org/10.3390/ma17194711
APA StyleHałagan, K., Duniec, P., Kozanecki, M., & Sikorski, A. (2024). The Influence of Local Constraints on Solvent Motion in Polymer Materials. Materials, 17(19), 4711. https://doi.org/10.3390/ma17194711

