Structural Changes in High-Entropy Alloys CoCrFeNi and CoCrFeMnNi, Irradiated by He Ions at a Temperature of 700 °C
Abstract
1. Introduction
2. Materials and Methods
3. Results and Discussion
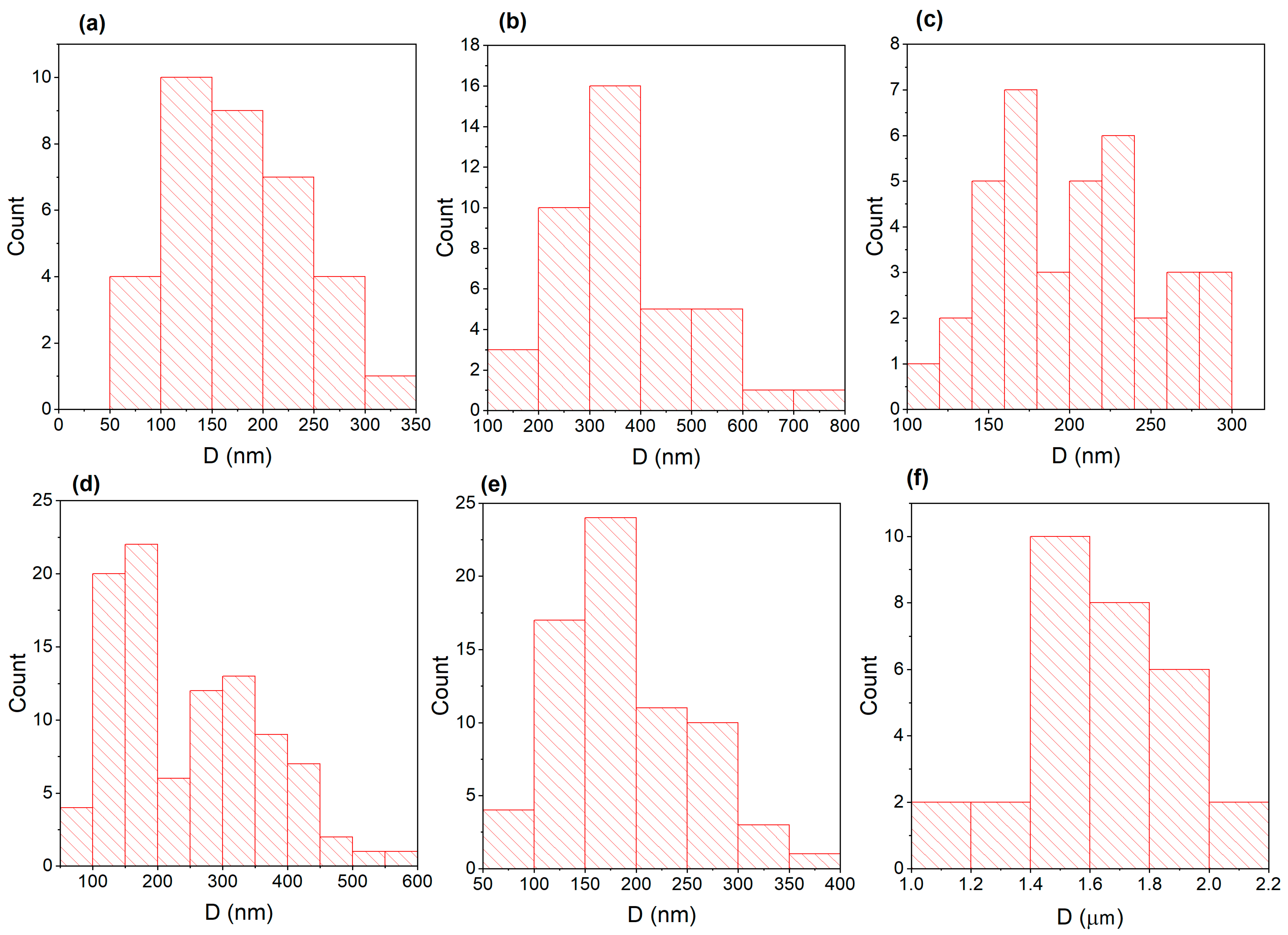
3.1. Structure and Elemental Composition of As-Prepared CoCrFeNi and CoCrFeMnNi HEAs
3.2. Structure and Elemental Composition of CoCrFeNi and CoCrFeMnNi HEAs Irradiated by Helium Ions at 700 °C
4. Conclusions
Author Contributions
Funding
Data Availability Statement
Conflicts of Interest
References
- English, C.A.; Hyde, J.M.; Odette, G.R.; Lucas, G.E.; Tan, L. Research Tools: Microstructure, Mechanical Properties, and Computational Thermodynamics. In Structural Alloys for Nuclear Energy Applications; Elsevier: Amsterdam, The Netherlands, 2019; pp. 103–161. ISBN 978-0-12-397046-6. [Google Scholar]
- Voevodin, V.N. Nuclear Energy Structural Materials—The Challenge of the 21st Century (Kонcтpyкционныe Maтepиaлы Ядepной Энepгeтики—Bызов 21 Beкa). Probl. At. Sci. Eng. 2007, 10–22. [Google Scholar]
- Gao, M.C.; Yeh, J.W.; Liaw, P.K.; Zhang, Y. (Eds.) High-Entropy Alloys; Springer International Publishing: Cham, Switzerland, 2016; pp. 1–516. ISBN 978-3-319-27011-1. [Google Scholar]
- Zinkle, S.J.; Tanigawa, H.; Wirth, B.D. Radiation and Thermomechanical Degradation Effects in Reactor Structural Alloys. In Structural Alloys for Nuclear Energy Applications; Elsevier: Amsterdam, The Netherlands, 2019; pp. 163–210. ISBN 978-0-12-397046-6. [Google Scholar]
- Zhang, Z.; Armstrong, D.E.J.; Grant, P.S. The Effects of Irradiation on CrMnFeCoNi High-Entropy Alloy and Its Derivatives. Prog. Mater. Sci. 2022, 123, 100807. [Google Scholar] [CrossRef]
- Was, G.S. Fundamentals of Radiation Materials Science: Metals and Alloys; Springer: Berlin, Germany; New York, NY, USA, 2007; ISBN 978-3-540-49471-3. [Google Scholar]
- Fukuya, K. Current Understanding of Radiation-Induced Degradation in Light Water Reactor Structural Materials. J. Nucl. Sci. Technol. 2013, 50, 213–254. [Google Scholar] [CrossRef]
- Chen, D.; Zhao, S.; Sun, J.; Tai, P.; Sheng, Y.; Zhao, Y.; Yeli, G.; Lin, W.; Liu, S.; Kai, W.; et al. Diffusion Controlled Helium Bubble Formation Resistance of FeCoNiCr High-Entropy Alloy in the Half-Melting Temperature Regime. J. Nucl. Mater. 2019, 526, 151747. [Google Scholar] [CrossRef]
- Jossou, E.; Assefa, T.A.; Suzana, A.F.; Wu, L.; Campbell, C.; Harder, R.; Cha, W.; Kisslinger, K.; Sun, C.; Gan, J.; et al. Three-Dimensional strain imaging of irradiated chromium using multi-reflection Bragg coherent diffraction. Npj Mater. Degrad. 2022, 6, 99. [Google Scholar] [CrossRef]
- Martynenko, Y.V. Blistering Theory (Teоpия блиcтepингa); IAE Kurchatov: Moscow, Russia, 1979; p. 40. [Google Scholar]
- Zhang, Y.; Wang, X.; Osetsky, Y.N.; Tong, Y.; Harrison, R.; Donnelly, S.E.; Chen, D.; Wang, Y.; Bei, H.; Sales, B.C.; et al. Effects of 3d Electron Configurations on Helium Bubble Formation and Void Swelling in Concentrated Solid-Solution Alloys. Acta Mater. 2019, 181, 519–529. [Google Scholar] [CrossRef]
- Chen, D.; Tong, Y.; Li, H.; Wang, J.; Zhao, Y.L.; Hu, A.; Kai, J.J. Helium Accumulation and Bubble Formation in FeCoNiCr Alloy Under High Fluence He+ Implantation. J. Nucl. Mater. 2018, 501, 208–216. [Google Scholar] [CrossRef]
- Yang, L.; Ge, H.; Zhang, J.; Xiong, T.; Jin, Q.; Zhou, Y.; Shao, X.; Zhang, B.; Zhu, Z.; Zheng, S.; et al. High He-Ion Irradiation Resistance of CrMnFeCoNi High-Entropy Alloy Revealed by Comparison Study with Ni and 304SS. J. Mater. Sci. Technol. 2019, 35, 300–305. [Google Scholar] [CrossRef]
- Huang, S.S.; Guan, H.Q.; Zhong, Z.H.; Miyamoto, M.; Xu, Q. Effect of He on the Irradiation Resistance of Equiatomic CoCrFeMnNi High-Entropy Alloy. J. Nucl. Mater. 2022, 561, 153525. [Google Scholar] [CrossRef]
- Sellami, N.; Debelle, A.; Ullah, M.W.; Christen, H.M.; Keum, J.K.; Bei, H.; Xue, H.; Weber, W.J.; Zhang, Y. Effect of Electronic Energy Dissipation on Strain Relaxation in Irradiated Concentrated Solid Solution Alloys. Curr. Opin. Solid State Mater. Sci. 2019, 23, 107–115. [Google Scholar] [CrossRef]
- Dennett, C.A.; Dacus, B.R.; Barr, C.M.; Clark, T.; Bei, H.; Zhang, Y.; Short, M.P.; Hattar, K. The Dynamic Evolution of Swelling in Nickel Concentrated Solid Solution Alloys through in Situ Property Monitoring. Appl. Mater. Today 2021, 25, 101187. [Google Scholar] [CrossRef]
- Sharma, G.; Mukherjee, P.; Chatterjee, A.; Gayathri, N.; Sarkar, A.; Chakravartty, J.K. Study of the Effect of α Irradiation on the Microstructure and Mechanical Properties of Nanocrystalline Ni. Acta Mater. 2013, 61, 3257–3266. [Google Scholar] [CrossRef]
- Bilal, M.; Shahzad, K.; Lv, P.; Ejaz, A.; Wang, F.; Ahmad, Z.; Shah, A.; Rehman, M.M.; Ahmad, K.; Mian, A.Y.; et al. Effect of Helium Ion Irradiation on the Microstructure, Mechanical Properties and Surface Morphology of Inconel 625 Alloy. Mater. Chem. Phys. 2024, 319, 129286. [Google Scholar] [CrossRef]
- Lv, S.; Shen, Y.; Zhu, R.; Zhou, Q.; Shi, L.; Sun, L.; Li, Z. The Irradiation Effects on the Nanoindentation Hardness and Helium Bubbles Evolution Mechanism of Ni-Based Alloy. Radiat. Phys. Chem. 2023, 206, 110763. [Google Scholar] [CrossRef]
- Xia, S.; Wang, Z.; Yang, T.; Zhang, Y. Irradiation Behavior in High Entropy Alloys. J. Iron Steel Res. Int. 2015, 22, 879–884. [Google Scholar] [CrossRef]
- Nagase, T.; Rack, P.D.; Noh, J.H.; Egami, T. In-Situ TEM Observation of Structural Changes in Nano-Crystalline CoCrCuFeNi Multicomponent High-Entropy Alloy (HEA) under Fast Electron Irradiation by High Voltage Electron Microscopy (HVEM). Intermetallics 2015, 59, 32–42. [Google Scholar] [CrossRef]
- Tuomisto, F.; Makkonen, I.; Heikinheimo, J.; Granberg, F.; Djurabekova, F.; Nordlund, K.; Velisa, G.; Bei, H.; Xue, H.; Weber, W.J.; et al. Segregation of Ni at Early Stages of Radiation Damage in NiCoFeCr Solid Solution Alloys. Acta Mater. 2020, 196, 44–51. [Google Scholar] [CrossRef]
- Otto, F.; Dlouhý, A.; Pradeep, K.G.; Kuběnová, M.; Raabe, D.; Eggeler, G.; George, E.P. Decomposition of the Single-Phase High-Entropy Alloy CrMnFeCoNi After Prolonged Anneals at Intermediate Temperatures. Acta Mater. 2016, 112, 40–52. [Google Scholar] [CrossRef]
- Pickering, E.J.; Muñoz-Moreno, R.; Stone, H.J.; Jones, N.G. Precipitation in the Equiatomic High-Entropy Alloy CrMnFeCoNi. Scr. Mater. 2016, 113, 106–109. [Google Scholar] [CrossRef]
- Amanzhulov, B.; Ivanov, I.; Uglov, V.; Zlotski, S.; Ryskulov, A.; Kurakhmedov, A.; Koloberdin, M.; Zdorovets, M. Composition and Structure of NiCoFeCr and NiCoFeCrMn High-Entropy Alloys Irradiated by Helium Ions. Materials 2023, 16, 3695. [Google Scholar] [CrossRef]
- Schneider, C.A.; Rasband, W.S.; Eliceiri, K.W. NIH Image to ImageJ: 25 Years of Image Analysis. Nat. Methods 2012, 9, 671–675. [Google Scholar] [CrossRef]
- Baczmanski, A.; Lark, R.J.; Skrzypek, S.J. Application of Non-Linear Sin2ψ Method for Stress Determination Using X-ray Diffraction. Mater. Sci. Forum 2002, 404–407, 29–34. [Google Scholar] [CrossRef]
- Mote, V.; Purushotham, Y.; Dole, B. Williamson-Hall Analysis in Estimation of Lattice Strain in Nanometer-Sized ZnO particles. J. Theor. Appl. Phys. 2012, 6, 6. [Google Scholar] [CrossRef]
- Gallet, J.; Perez, M.; Guillou, R.; Ernould, C.; Le Bourlot, C.; Langlois, C.; Beausir, B.; Bouzy, E.; Chaise, T.; Cazottes, S. Experimental measurement of dislocation density in metallic materials: A quantitative comparison between measurements techniques (XRD, R-ECCI, HR-EBSD, TEM). Mater. Charact. 2023, 199, 112842. [Google Scholar] [CrossRef]
- Ziegler, J.F.; Ziegler, M.D.; Biersack, J.P. SRIM—The Stopping and Range of Ions in Matter (2010). Nucl. Instrum. Methods Phys. Res. Sect. B Beam Interact. Mater. At. 2010, 268, 1818–1823. [Google Scholar] [CrossRef]
- Vaidya, M.; Guruvidyathri, K.; Murty, B.S. Phase formation and thermal stability of CoCrFeNi and CoCrFeMnNi equiatomic high entropy alloys. J. Alloys Compd. 2019, 774, 856–864. [Google Scholar] [CrossRef]
- Fan, Z.; Zhong, W.; Jin, K.; Bei, H.; Osetsky, Y.N.; Zhang, Y. Diffusion-Mediated Chemical Concentration Variation and Void Evolution in Ion-Irradiated NiCoFeCr High-Entropy Alloy. J. Mater. Res. 2021, 36, 298–310. [Google Scholar] [CrossRef]
- Lu, C.; Yang, T.; Jin, K.; Gao, N.; Xiu, P.; Zhang, Y.; Gao, F.; Bei, H.; Weber, W.J.; Sun, K.; et al. Radiation-Induced Segregation on Defect Clusters in Single-Phase Concentrated Solid-Solution Alloys. Acta Mater. 2017, 127, 98–107. [Google Scholar] [CrossRef]
- Jia, N.; Li, Y.; Huang, H.; Chen, S.; Li, D.; Dou, Y.; He, X.; Yang, W.; Xue, Y.; Jin, K. Helium Bubble Formation in Refractory Single-Phase Concentrated Solid Solution Alloys under MeV He Ion Irradiation. J. Nucl. Mater. 2021, 550, 152937. [Google Scholar] [CrossRef]
- Barr, C.M.; Nathaniel, J.E.; Unocic, K.A.; Liu, J.; Zhang, Y.; Wang, Y.; Taheri, M.L. Exploring Radiation Induced Segregation Mechanisms at Grain Boundaries in Equiatomic CoCrFeNiMn High Entropy Alloy under Heavy Ion Irradiation. Scr. Mater. 2018, 156, 80–84. [Google Scholar] [CrossRef]
- Waseem, O.A.; Ryu, H.J. Helium Ions Irradiation Analysis of W0.5(TaTiVCr)0.5 for Application as a Future Fusion Plasma-Facing Material. Mater. Chem. Phys. 2021, 260, 124198. [Google Scholar] [CrossRef]







| Sample | Concentration of Elements, at.% | ||||
|---|---|---|---|---|---|
| Co | Cr | Fe | Mn | Ni | |
| CoCrFeNi (initial) | 24.7 ± 0.1 | 25.7 ± 0.1 | 25.3 ± 0.1 | - | 24.3 ± 0.2 |
| CoCrFeNi (Не2+) | 24.8 ± 0.2 | 25.9 ± 0.1 | 24.9 ± 0.1 | - | 24.4 ± 0.2 |
| CoCrFeMnNi (initial) | 19.5 ± 0.2 | 20.3 ± 0.1 | 19.8 ± 0.2 | 20.6 ± 0.2 | 19.8 ± 0.2 |
| CoCrFeMnNi (Не2+) | 20.8 ± 0.2 | 21.3 ± 0.1 | 21.1 ± 0.1 | 16.6 ± 0.1 | 20.2 ± 0.2 |
Disclaimer/Publisher’s Note: The statements, opinions and data contained in all publications are solely those of the individual author(s) and contributor(s) and not of MDPI and/or the editor(s). MDPI and/or the editor(s) disclaim responsibility for any injury to people or property resulting from any ideas, methods, instructions or products referred to in the content. |
© 2024 by the authors. Licensee MDPI, Basel, Switzerland. This article is an open access article distributed under the terms and conditions of the Creative Commons Attribution (CC BY) license (https://creativecommons.org/licenses/by/4.0/).
Share and Cite
Ivanov, I.; Amanzhulov, B.; Uglov, V.; Zlotski, S.; Kurakhmedov, A.; Koloberdin, M.; Sapar, A.; Ungarbayev, Y.; Zdorovets, M. Structural Changes in High-Entropy Alloys CoCrFeNi and CoCrFeMnNi, Irradiated by He Ions at a Temperature of 700 °C. Materials 2024, 17, 4383. https://doi.org/10.3390/ma17174383
Ivanov I, Amanzhulov B, Uglov V, Zlotski S, Kurakhmedov A, Koloberdin M, Sapar A, Ungarbayev Y, Zdorovets M. Structural Changes in High-Entropy Alloys CoCrFeNi and CoCrFeMnNi, Irradiated by He Ions at a Temperature of 700 °C. Materials. 2024; 17(17):4383. https://doi.org/10.3390/ma17174383
Chicago/Turabian StyleIvanov, Igor, Bauyrzhan Amanzhulov, Vladimir Uglov, Sergey Zlotski, Alisher Kurakhmedov, Mikhail Koloberdin, Asset Sapar, Yerulan Ungarbayev, and Maxim Zdorovets. 2024. "Structural Changes in High-Entropy Alloys CoCrFeNi and CoCrFeMnNi, Irradiated by He Ions at a Temperature of 700 °C" Materials 17, no. 17: 4383. https://doi.org/10.3390/ma17174383
APA StyleIvanov, I., Amanzhulov, B., Uglov, V., Zlotski, S., Kurakhmedov, A., Koloberdin, M., Sapar, A., Ungarbayev, Y., & Zdorovets, M. (2024). Structural Changes in High-Entropy Alloys CoCrFeNi and CoCrFeMnNi, Irradiated by He Ions at a Temperature of 700 °C. Materials, 17(17), 4383. https://doi.org/10.3390/ma17174383

