Structural Refinement and Optoelectrical Properties of Nd2Ru2O7 and Gd2Ru2O7 Pyrochlore Oxides for Photovoltaic Applications
Abstract
1. Introduction
2. Experimental Techniques
2.1. Materials Growth
2.2. Thermogravimetric and DSC Analysis
3. Results and Discussions
3.1. SEM Analysis of Nd2Ru2O7 and Gd2Ru2O7 Ceramics
3.2. X-ray Diffraction Study
3.2.1. Pyrochlore Oxide Nd2Ru2O7
3.2.2. Pyrochlore Oxide Gd2Ru2O7
3.3. Raman Study of Nd2Ru2O7 and Gd2Ru2O7 Powder
4. Electrical Properties of the Pyrochlore Oxides Nd2Ru2O7 and Gd2Ru2O7
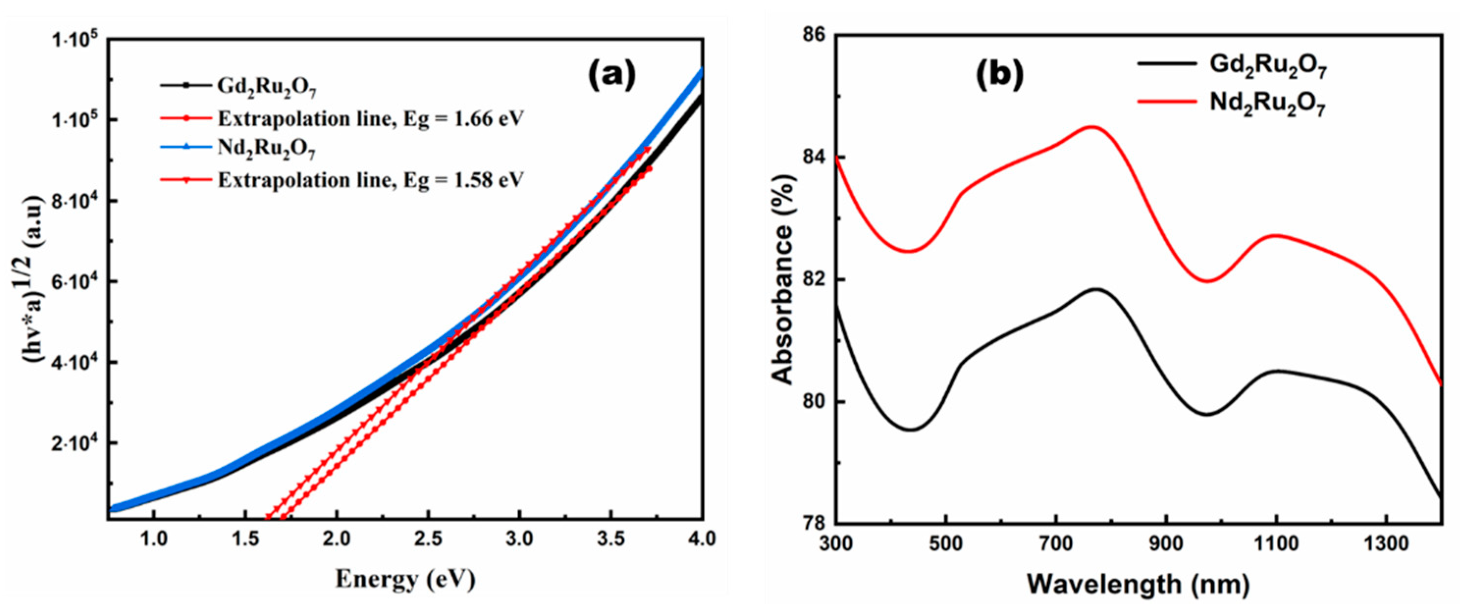
5. Optical Properties of GRO and NRO
6. Conclusions
Author Contributions
Funding
Institutional Review Board Statement
Informed Consent Statement
Data Availability Statement
Acknowledgments
Conflicts of Interest
References
- Devadiga, D.; Selvakumar, M.; Shetty, P.; Santosh, M.S. Recent Progress in Dye Sensitized Solar Cell Materials and Photo-Supercapacitors: A Review. J. Power Sources 2021, 493, 229698. [Google Scholar] [CrossRef]
- Shakeel Ahmad, M.; Pandey, A.K.; Abd Rahim, N. Advancements in the Development of TiO2 Photoanodes and Its Fabrication Methods for Dye Sensitized Solar Cell (DSSC) Applications: A Review. Renew. Sustain. Energy Rev. 2017, 77, 89–108. [Google Scholar] [CrossRef]
- Nazeeruddin, M.K.; Péchy, P.; Renouard, T.; Zakeeruddin, S.M.; Humphry-Baker, R.; Comte, P.; Liska, P.; Cevey, L.; Costa, E.; Shklover, V.; et al. Engineering of Efficient Panchromatic Sensitizers for Nanocrystalline TiO2-Based Solar Cells. J. Am. Chem. Soc. 2001, 123, 1613–1624. [Google Scholar] [CrossRef] [PubMed]
- Alizadeh, A.; Roudgar-Amoli, M.; Bonyad-Shekalgourabi, S.-M.; Shariatinia, Z.; Mahmoudi, M.; Saadat, F. Dye Sensitized Solar Cells Go beyond Using Perovskite and Spinel Inorganic Materials: A Review. Renew. Sustain. Energy Rev. 2022, 157, 112047. [Google Scholar] [CrossRef]
- Ito, M.; Yasui, Y.; Kanada, M.; Harashina, H.; Yoshii, S.; Murata, K.; Sato, M.; Okumura, H.; Kakurai, K. Neutron Diffraction Study of Pyrochlore Compound R2Ru2O7 (R = Y, Nd) above and below the Spin Freezing Temperature. J. Phys. Soc. Jpn. 2000, 69, 888–894. [Google Scholar] [CrossRef]
- El Abboubi, M.; San, S.E. Integration of Spinel Ferrite Magnetic Nanoparticles into Organic Solar Cells: A Review. Mater. Sci. Eng. B 2023, 294, 116512. [Google Scholar] [CrossRef]
- Praveen, E.; Peter, I.J.; Kumar, A.M.; Ramachandran, K.; Jayakumar, K. Performance of Phototronically Activated Chitosan Electrolyte in Rare-Earth Doped Bi2Ti2O7 Nanostructure Based DSSC. Mater. Lett. 2020, 276, 128202. [Google Scholar] [CrossRef]
- Aguilar, T.; Navas, J.; De Los Santos, D.M.; Sánchez-Coronilla, A.; Fernández-Lorenzo, C.; Alcántara, R.; Gallardo, J.J.; Blanco, G.; Martín-Calleja, J. TiO2 and Pyrochlore Tm2Ti2O7 Based Semiconductor as a Photoelectrode for Dye-Sensitized Solar Cells. J. Phys. Appl. Phys. 2015, 48, 145102. [Google Scholar] [CrossRef]
- Pawar, R.A.; Nikumbh, A.K.; Bhange, D.S.; Karale, N.J.; Nighot, D.V.; Khanvilkar, M.B. Chemical Synthesis and Characterization of Nano-Sized Rare-Earth Ruthenium Pyrochlore Compounds Ln2Ru2O7 (Ln = Rare Earth). Bull. Mater. Sci. 2017, 40, 1335–1345. [Google Scholar] [CrossRef]
- Kim, J.Y.; Lee, J.-W.; Jung, H.S.; Shin, H.; Park, N.-G. High-Efficiency Perovskite Solar Cells. Chem. Rev. 2020, 120, 7867–7918. [Google Scholar] [CrossRef] [PubMed]
- Patel, B.K.; Kolambage, M.T.K.; McMillen, C.D.; Kolis, J.W. Hydrothermal Synthesis of Lanthanide Ruthenate Single Crystals. J. Cryst. Growth 2023, 602, 126979. [Google Scholar] [CrossRef]
- Lee, J.H.; Wulferding, D.; Kim, J.; Song, D.; Park, S.R.; Kim, C. Linear Scaling Relationship of Néel Temperature and Dominant Magnons in Pyrochlore Ruthenates. Phys. Rev. B 2023, 108, 054443. [Google Scholar] [CrossRef]
- Malek, A.F.; Rosli, S.N.A.; Roslan, N.A.; Shafiqah, M.-N.N.; Lian, W.M.W.; Razali, N.A.M.; Osazuwa, O.U.; Abidin, S.Z. Syngas Production from Glycerol Dry Reforming Using Nd2RuO5 Perovskite Catalysts. AIP Conf. Proc. 2022, 2610, 030013. [Google Scholar]
- Sinclair, A.; Rodgers, J.A.; Topping, C.V.; Míšek, M.; Stewart, R.D.; Kockelmann, W.; Bos, J.-W.G.; Attfield, J.P. Synthesis and Properties of Lanthanide Ruthenium(III) Oxide Perovskites. Angew. Chem. Int. Ed. 2014, 53, 8343–8347. [Google Scholar] [CrossRef] [PubMed]
- Esfahani, M.H.; Zinatloo-Ajabshir, S.; Naji, H.; Marjerrison, C.A.; Greedan, J.E.; Behzad, M. Structural Characterization, Phase Analysis and Electrochemical Hydrogen Storage Studies on New Pyrochlore SmRETi2O7 (RE = Dy, Ho, and Yb) Microstructures. Ceram. Int. 2023, 49, 253–263. [Google Scholar] [CrossRef]
- Chehreh Chelgani, S.; Hart, B.; Marois, J.; Ourriban, M. Study of Pyrochlore Matrix Composition Effects on Froth Flotation by SEM–EDX. Miner. Eng. 2012, 30, 62–66. [Google Scholar] [CrossRef]
- Garbout, A.; Férid, M. Pyrochlore Structure and Spectroscopic Studies of Titanate Ceramics. A Comparative Investigation on SmDyTi2O7 and YDyTi2O7 Solid Solutions. Spectrochim. Acta Part A Mol. Biomol. Spectrosc. 2018, 198, 188–197. [Google Scholar] [CrossRef] [PubMed]
- Modern Crystallography—Creation and Development of Crystal Structure Databases Using the Inorganic Crystal Structure Database (ICSD) as an Example. Available online: https://icsd.products.fiz-karlsruhe.de/sites/default/files/ICSD/documents/brochures/A-Focus-on-Crystallography.pdf (accessed on 24 April 2024).
- Zagorac, D.; Müller, H.; Ruehl, S.; Zagorac, J.; Rehme, S. Recent Developments in the Inorganic Crystal Structure Database: Theoretical Crystal Structure Data and Related Features. J. Appl. Crystallogr. 2019, 52, 918–925. [Google Scholar] [CrossRef] [PubMed]
- Rodríguez-Carvajal, J. Recent Advances in Magnetic Structure Determination by Neutron Powder Diffraction. Phys. B Condens. Matter 1993, 192, 55–69. [Google Scholar] [CrossRef]
- Rodriguez-Carvajal, J. Magnetic Structure Determination from Powder Diffraction Using the Program FullProf. In Applied Crystallography; World Scientific: Wisla, Poland, 2001; pp. 30–36. [Google Scholar]
- Rühl, S. The Inorganic Crystal Structure Database (ICSD): A Tool for Materials Sciences. In Materials Informatics; Isayev, O., Tropsha, A., Curtarolo, S., Eds.; Wiley: Hoboken, NJ, USA, 2019; pp. 41–54. ISBN 978-3-527-34121-4. [Google Scholar]
- Kobayashi, H.; Kanno, R.; Kawamoto, Y.; Kamiyama, T.; Izumi, F.; Sleight, A.W. Synthesis, Crystal Structure, and Electrical Properties of the Pyrochlores Pb2−xLnxRu2O7−y(Ln = Nd, Gd). J. Solid State Chem. 1995, 114, 15–23. [Google Scholar] [CrossRef]
- Liu, H.; Wang, Z.; Li, M.; Zhao, X.; Duan, X.; Wang, S.; Tan, G.; Kuang, Y.; Sun, X. Rare-earth-regulated Ru-O interaction within the pyrochlore ruthenate for electrocatalytic oxygen evolution in acidic media. Sci. China Mater. 2021, 64, 1653–1661. [Google Scholar] [CrossRef]
- Abbott, D.F.; Pittkowski, R.K.; Macounová, K.; Nebel, R.; Marelli, E.; Fabbri, E.; Castelli, I.E.; Krtil, P.; Schmidt, T.J. Design and Synthesis of Ir/Ru Pyrochlore Catalysts for the Oxygen Evolution Reaction Based on Their Bulk Thermodynamic Properties. ACS Appl. Mater. Interfaces 2019, 11, 37748–37760. [Google Scholar] [CrossRef] [PubMed]
- Ku, S.T.; Kumar, D.; Lees, M.R.; Lee, W.-T.; Aldus, R.; Studer, A.; Imperia, P.; Asai, S.; Masuda, T.; Chen, S.W.; et al. Low Temperature Magnetic Properties of Nd2Ru2O7. J. Phys. Condens. Matter 2018, 30, 155601. [Google Scholar] [CrossRef] [PubMed]
- Momma, K.; Izumi, F. VESTA: A Three-Dimensional Visualization System for Electronic and Structural Analysis. J. Appl. Crystallogr. 2008, 41, 653–658. [Google Scholar] [CrossRef]
- Heydon, A.; Levin, R.; Mann, T.; Yu, Y. The Vesta Approach to Software Configuration Management; Systems Research Center: Palo Alto, CA, USA, 2001. [Google Scholar]
- The Materials Project. Materials Data on Gd3RuO7 by Materials Project; Lawrence Berkeley National Lab.: Berkeley, CA, USA, 2020. [Google Scholar]
- Okamura, T.; Okazaki, R.; Taniguchi, H.; Yasui, Y.; Terasaki, I. Magnetoelectric Coupling in the Pyrochlore Ruthenate Gd2Ru2O7. J. Phys. Soc. Jpn. 2017, 86, 084708. [Google Scholar] [CrossRef]
- Marques, M.D.R.; Portela, F.S.; Oliveira, A.A.M.; Barrozo, P.; Moreno, N.O.; Brito, P.C.A.; Albino Aguiar, J. Structural and Magnetic Properties of Pyrochlores Gd2−xMxRu2O7 (M = Ho, Y). Phys. B Condens. Matter 2012, 407, 3106–3108. [Google Scholar] [CrossRef]
- Bontchev, R.P.; Jacobson, A.J.; Gospodinov, M.M.; Skumryev, V.; Popov, V.N.; Lorenz, B.; Meng, R.L.; Litvinchuk, A.P.; Iliev, M.N. Crystal Structure, Electric and Magnetic Properties, and Raman Spectroscopy of Gd3RuO7. Phys. Rev. B 2000, 62, 12235–12240. [Google Scholar] [CrossRef]
- Umesh, B.; Eraiah, B.; Nagabhushana, H.; Nagabhushana, B.M.; Nagaraja, G.; Shivakumara, C.; Chakradhar, R.P.S. Synthesis and Characterization of Spherical and Rod like Nanocrystalline Nd2O3 Phosphors. J. Alloys Compd. 2011, 509, 1146–1151. [Google Scholar] [CrossRef]
- Le Luyer, C.; García-Murillo, A.; Bernstein, E.; Mugnier, J. Waveguide Raman Spectroscopy of Sol–Gel Gd2O3 Thin Films. J. Raman Spectrosc. 2003, 34, 234–239. [Google Scholar] [CrossRef]
- Korotcov, A.V.; Huang, Y.; Tiong, K.; Tsai, D. Raman Scattering Characterization of Well-aligned RuO2 and IrO2 Nanocrystals. J. Raman Spectrosc. 2007, 38, 737–749. [Google Scholar] [CrossRef]
- Meng, L. Raman Spectroscopy Analysis of Magnetron Sputtered RuO2 Thin Films. Thin Solid Film. 2003, 442, 93–97. [Google Scholar] [CrossRef]
- Waser, R.; Aono, M. Nanoionics-Based Resistive Switching Memories. Nat. Mater. 2007, 6, 833–840. [Google Scholar] [CrossRef] [PubMed]
- Sawa, A. Resistive Switching in Transition Metal Oxides. Mater. Today 2008, 11, 28–36. [Google Scholar] [CrossRef]
- Kim, M.; Park, J.; Kang, M.; Kim, J.Y.; Lee, S.W. Toward Efficient Electrocatalytic Oxygen Evolution: Emerging Opportunities with Metallic Pyrochlore Oxides for Electrocatalysts and Conductive Supports. ACS Cent. Sci. 2020, 6, 880–891. [Google Scholar] [CrossRef] [PubMed]
- Tachibana, M.; Kohama, Y.; Shimoyama, T.; Harada, A.; Taniyama, T.; Itoh, M.; Kawaji, H.; Atake, T. Electronic Properties of the Metallic Pyrochlore Ruthenates Pb2Ru2O6.5 and Bi2Ru2O7. Phys. Rev. B 2006, 73, 193107. [Google Scholar] [CrossRef]
- Haouzi, A.; Muller, J.; Joubert, J.C. Caracterisations electrique et cristallographique des phases de type pyrochlore Nd2−yCuyRu2O7−y. Mater. Res. Bull. 1986, 21, 1489–1493. [Google Scholar] [CrossRef]
- Castro, A.A.; Rosas-Huerta, J.L.; Escamilla, R. Effect of Mo Substitution on the Structure and Electrical Properties of Gd2Ru2O7 Pyrochlore. Phys. B Condens. Matter 2021, 619, 413227. [Google Scholar] [CrossRef]
- Matsumoto, A.; Cai, Z.-X.; Fujita, T. Synthesis of Pyrochlore Oxides Containing Ir and Ru for Efficient Oxygen Evolution Reaction. Materials 2022, 15, 6107. [Google Scholar] [CrossRef] [PubMed]
- Tauc, J.; Grigorovici, R.; Vancu, A. Optical Properties and Electronic Structure of Amorphous Germanium. Phys. Status Solidi B 1966, 15, 627–637. [Google Scholar] [CrossRef]










| Atoms | x | y | z | Occ | Mult. |
|---|---|---|---|---|---|
| Nd1 | 0.5 | 0.5 | 0.5 | 0.08 | 16 |
| Ru1 | 0.0 | 0.0 | 0.0 | 0.08 | 16 |
| O1 | 0.332 | 0.125 | 0.125 | 0.25 | 48 |
| O2 | 0.375 | 0.375 | 0.375 | 0.041 | 8 |
| Lattice parameters | a = 10.2336 Å α = β = γ = 90° | ||||
| Reliability factors | RP = 13.6 | RWP = 11.6 | RF = 2.64 | χ2 = 1.17 | |
| Unit cell Volume V (Å3) | V = 1105.2682 Å3 | ||||
| Nb Refined parameters | 11 | ||||
| Ru-O1 | 1.969 (1) Å | ||||
| Ru-O2 | 4.286 (4) Å | ||||
| Atoms | x | y | z | Occ | Mult. |
|---|---|---|---|---|---|
| Nd1 | 0.0 | 0.0 | 0.0 | 0.25 | 4 |
| Nd2 | 0.224(1) | 0.302(4) | 0.2500 | 0.50 | 8 |
| Ru1 | 0.0 | 0.05 | 0.0 | 0.25 | 4 |
| O1 | 0.128(2) | 0.316(9) | 0.9590 | 1.00 | 16 |
| O2 | 0.133(5) | 0.271(0) | 0.2500 | 0.50 | 8 |
| O3 | 0.000 | 0.414(9) | 0.2500 | 0.25 | 4 |
| Lattice parameters | a = 10.8989 Å b = 7.3894 Å c = 7.4899 Å | ||||
| Reliability factors | RP = 13.6 | RWP = 11.6 | RF = 2.64 | χ2 = 1.18 | |
| Unit cell Volume V (Å3) | V = 603.204(8) Å3 | ||||
| Nb Refined parameters | 11 | ||||
| Ru1-O1 | 1.969(0) Å | ||||
| Ru1-O3 | 1.975(2) Å | ||||
| Atoms | x | y | z | Occ | Mult |
|---|---|---|---|---|---|
| Gd1 | 0.5 | 0.5 | 0.5 | 0.083 | 16 |
| Ru1 | 0.0 | 0.0 | 0.0 | 0.083 | 16 |
| O1 | 0.332 | 0.125 | 0.125 | 0.250 | 48 |
| O2 | 0.375 | 0.375 | 0.375 | 0.041 | 8 |
| Lattice parameters | a = b = c = 10.233638 Å, α = β = γ = 90° | ||||
| Reliability factors | RP = 12.4 | RWP =7.25 | RF = 2.64 | χ2 = 7.55 | |
| Unit cell Volume V (Å3) | V = 1071.742(3) Å3 | ||||
| Nb Refined parameters | 12 | ||||
| Ru-O1 | 1.994(2) Å | ||||
| Atoms | x | y | z | Occ | Mult |
|---|---|---|---|---|---|
| Gd1 | 0.0 | 0.0 | 0.0 | 0.25 | 4 |
| Gd2 | 0.2241 | 0.3024 | 0.2500 | 0.5 | 8 |
| Ru1 | 0.0 | 0.05 | 0.0 | 0.25 | 4 |
| O1 | 0.1282 | 0.316(9) | 0.95900 | 1 | 16 |
| O2 | 0.13350 | 0.2710 | 0.2500 | 0.5 | 8 |
| O3 | 0.000 | 0.4149 | 0.2500 | 0.25 | 4 |
| Lattice parameters | a = 10.6323 Å, b = 7.3423 Å, c = 7.3763 Å, α = β = γ = 90° | ||||
| Reliability factors | RP = 12.4 | RWP = 7.25 | RF = 2.64 | χ2 = 7.55 | |
| Unit cell Volume V (Å3) | V = 1071.7423 Å3 | ||||
| Nb Refined parameters | 12 | ||||
| Ru-O1 | 1.994(2) Å | ||||
| Ru-O2 | 4.242(6) Å | ||||
| Identified Phases | Unit Cell Parameters (Cubic Phase)/Å | Unit Cell Parameters (Orth. Phase)/Å | Vol. Fraction | Rp/Rwp Values |
|---|---|---|---|---|
| Gd2Ru2O7 (cub.) Gd3RuO7 (orth.) | a = 10.233(5) | a = 10.631(9) b = 7.342(7) c = 7.375(7) | Cub.: (85.49 ± 0.22) % Orth.: (14.51 ± 0.14) % | 11.0/6.1 |
| Nd2Ru2O7 (cub.) Nd3RuO7 (orth.) | a = 10.339(2) | a = 10.898(5) b = 7.389(6) c =7.489(8) | Cub.: (93.78 ± 0.38) % Orth.: (6.22 ± 0.14) % | 13.6/11.6 |
Disclaimer/Publisher’s Note: The statements, opinions and data contained in all publications are solely those of the individual author(s) and contributor(s) and not of MDPI and/or the editor(s). MDPI and/or the editor(s) disclaim responsibility for any injury to people or property resulting from any ideas, methods, instructions or products referred to in the content. |
© 2024 by the authors. Licensee MDPI, Basel, Switzerland. This article is an open access article distributed under the terms and conditions of the Creative Commons Attribution (CC BY) license (https://creativecommons.org/licenses/by/4.0/).
Share and Cite
Kraidy, A.F.; Yapi, A.S.; El Marssi, M.; Penton Madrigal, A.; Gagou, Y. Structural Refinement and Optoelectrical Properties of Nd2Ru2O7 and Gd2Ru2O7 Pyrochlore Oxides for Photovoltaic Applications. Materials 2024, 17, 2571. https://doi.org/10.3390/ma17112571
Kraidy AF, Yapi AS, El Marssi M, Penton Madrigal A, Gagou Y. Structural Refinement and Optoelectrical Properties of Nd2Ru2O7 and Gd2Ru2O7 Pyrochlore Oxides for Photovoltaic Applications. Materials. 2024; 17(11):2571. https://doi.org/10.3390/ma17112571
Chicago/Turabian StyleKraidy, Assohoun Fulgence, Abé Simon Yapi, Mimoun El Marssi, Arbelio Penton Madrigal, and Yaovi Gagou. 2024. "Structural Refinement and Optoelectrical Properties of Nd2Ru2O7 and Gd2Ru2O7 Pyrochlore Oxides for Photovoltaic Applications" Materials 17, no. 11: 2571. https://doi.org/10.3390/ma17112571
APA StyleKraidy, A. F., Yapi, A. S., El Marssi, M., Penton Madrigal, A., & Gagou, Y. (2024). Structural Refinement and Optoelectrical Properties of Nd2Ru2O7 and Gd2Ru2O7 Pyrochlore Oxides for Photovoltaic Applications. Materials, 17(11), 2571. https://doi.org/10.3390/ma17112571

