A Peel Test Method to Characterize the Decay Law of Prepreg Tape Tack at Different Temperatures
Abstract
1. Introduction
2. Experimental Section
2.1. Experimental Device
2.2. Experimental Materials
2.3. Experiment Procedure
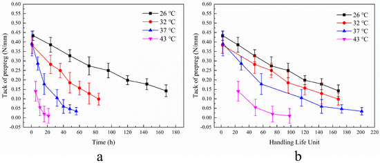
3. Results Analysis and Discussion
3.1. Analysis of Aging Results
3.2. Tack Decay Model
3.3. The Unit of Handling Life
3.4. Model Adaptability
4. Conclusions
Author Contributions
Funding
Institutional Review Board Statement
Informed Consent Statement
Data Availability Statement
Conflicts of Interest
References
- Putnam, J.W.; Seferis, J.C.; Pelton, T.; Wilhelm, M. Perceptions of Prepreg Tack for Manufacturability in Relation to Experimental Measures. Sci. Eng. Compos. Mater. 1995, 4, 143–154. [Google Scholar] [CrossRef]
- Miller, S.G.; Sutter, J.K.; Scheiman, D.A.; Maryanski, M.; Schlea, M. Study of Out-Time on the Processing and Properties of IM7/977-3 Composites. In Proceedings of the SAMPE, Seattle, WA, USA, 17 May 2010. [Google Scholar]
- Budelmann, D.; Schmidt, C.; Meiners, D. Prepreg Tack: A Review of Mechanisms, Measurement, and Manufacturing Implication. Polym. Compos. 2020, 41, 3440–3458. [Google Scholar] [CrossRef]
- Pierik, R. Experimental Setup and Method for the Characterization of Ply-Ply Adhesion for Fiber-Reinforced Thermoplastics in Melt. In Proceedings of the 26th International ESAFORM Conference on Material Forming, ESAFORM 2023, Kraków, Poland, 19–21 April 2023; pp. 267–276. [Google Scholar]
- Jois, K.C.; Mölling, T.; Schuster, J.; Grigat, N.; Gries, T. Towpreg Manufacturing and Characterization for Filament Winding Application. Polym. Compos. 2024. [Google Scholar] [CrossRef]
- Dubois, O.; Le Cam, J.B.; Béakou, A. Experimental Analysis of Prepreg Tack. Exp. Mech. 2010, 50, 599–606. [Google Scholar] [CrossRef]
- Mohammed, I.K.; Charalambides, M.N.; Kinloch, A. Modelling the Interfacial Peeling of Pressure-Sensitive Adhesives. J. Nonnewton. Fluid Mech. 2015, 222, 141–150. [Google Scholar] [CrossRef]
- Ahn, K.J.; Seferis, J.C.; Pelton, T.; Wilhelm, M. Analysis and Characterization of Prepreg Tack. Polym. Compos. 1992, 13, 197–206. [Google Scholar] [CrossRef]
- Nguyen, C.D.; Krombholz, C. Influence of Process Parameters and Material Aging on the Adhesion of Prepreg in AFP Processes. In Proceedings of the ECCM 2016—Proceeding of the 17th European Conference on Composite Materials, Munich, Germany, 26–30 June 2016; pp. 26–30. [Google Scholar]
- Böckl, B.; Jetten, C.; Heller, K.; Ebel, C.; Drechsler, K. Online Monitoring System for the Tack of Prepreg Slit Tapes Used in Automated Fiber Placement. In Proceedings of the ECCM18—18th European Conference on Composite Materials, Athens, Greece, 25–28 June 2018. [Google Scholar]
- Crossley, R.J.; Schubel, P.J.; Warrior, N.A. Experimental Determination and Control of Prepreg Tack for Automated Manufacture. Plast. Rubber Compos. 2011, 40, 363–368. [Google Scholar] [CrossRef]
- Endruweit, A.; Choong, G.Y.H.; Ghose, S.; Johnson, B.A.; Younkin, D.R.; Warrior, N.A.; De Focatiis, D.S.A. Characterisation of Tack for Uni-Directional Prepreg Tape Employing a Continuous Application-and-Peel Test Method. Compos. Part A Appl. Sci. Manuf. 2018, 114, 295–306. [Google Scholar] [CrossRef]
- Endruweit, A.; Ghose, S.; Johnson, B.A.; Kelly, S.; De Focatiis, D.S.A.; Warrior, N.A. Tack testing to aid optimisation of process parameters for automated material placement in an industrial environment. In Proceedings of the 21st International Conference on Composite Materials, Xi’an, China, 20–25 August 2017; pp. 20–25. [Google Scholar]
- Brooks, J.R.; Platt, P.R. 5513537 Method and Apparatus to Determine Composite Prepreg Tack. Compos. Part A Appl. Sci. Manuf. 1996, 27, 1114. [Google Scholar]
- Cole, K.C.; Noël, D.; Hechler, J.-J.; Cielo, P.; Krapez, J.-C.; Chouliotis, A.; Overbury, K.C. Room-temperature Aging of Narmco 5208 Carbon-epoxy Prepreg. Part II: Physical, Mechanical, and Nondestructive Characterization. Polym. Compos. 1991, 12, 203–212. [Google Scholar] [CrossRef]
- Blass, D.; Kreling, S.; Dilger, K. The Impact of Prepreg Aging on Its Processability and the Postcure Mechanical Properties of Epoxy-Based Carbon-Fiber Reinforced Plastics. Proc. Inst. Mech. Eng. Part L J. Mater. Des. Appl. 2017, 231, 62–72. [Google Scholar] [CrossRef]
- Scola, D.A.; Vontell, J.; Felsen, M. Effects of Ambient Aging of 5245C/Graphite Prepreg on Composition and Mechanical Properties of Fabricated Composites. Polym. Compos. 1987, 8, 244–252. [Google Scholar] [CrossRef]
- Hübner, F.; Meuchelböck, J.; Wolff-Fabris, F.; Mühlbach, M.; Altstädt, V.; Ruckdäschel, H. Fast Curing Unidirectional Carbon Epoxy Prepregs Based on a Semi-Latent Hardener: The Influence of Ambient Aging on the Prepregs Tg0, Processing Behavior and Thus Derived Interlaminar Performance of the Composite. Compos. Sci. Technol. 2021, 216, 109047. [Google Scholar] [CrossRef]
- Jones, R.W.; Ng, Y.; McClelland, J.F. Monitoring Ambient-Temperature Aging of a Carbon-Fiber/Epoxy Composite Prepreg with Photoacoustic Spectroscopy. Compos. Part A Appl. Sci. Manuf. 2008, 39, 965–971. [Google Scholar] [CrossRef]
- Ahn, K.J.; Seferis, J.C.; Pelton, T.; Wilhelm, M. Deformation Parameters Influencing Prepreg Tack. SAMPE Q. Soc. Aerosp. Mater. Process Eng. States 1992, 23, 2. [Google Scholar]
- Shin, Y.; Qiao, Y.; Ni, Y.; Ramos, J.L.; Nickerson, E.K.; Merkel, D.R.; Simmons, K.L. Interfacial Bond Characterization of Epoxy Adhesives to Aluminum Alloy and Carbon Fiber-Reinforced Polyamide by Vibrational Spectroscopy. Surf. Interfaces 2023, 42, 103346. [Google Scholar] [CrossRef]
- Semoto, T.; Tsuji, Y.; Yoshizawa, K. Molecular Understanding of the Adhesive Force between a Metal Oxide Surface and an Epoxy Resin. J. Phys. Chem. C 2011, 115, 11701–11708. [Google Scholar] [CrossRef]
- Voyutskii, S.S.; Vakula, V.L. The Role of Diffusion Phenomena in Polymer-to-polymer Adhesion. J. Appl. Polym. Sci. 1963, 7, 475–491. [Google Scholar] [CrossRef]
- Budelmann, D.; Schmidt, C.; Meiners, D. Adhesion-Cohesion Balance of Prepreg Tack in Thermoset Automated Fiber Placement. Part 1: Adhesion and Surface Wetting. Compos. Part C Open Access 2021, 6, 100204. [Google Scholar] [CrossRef]
- Wool, R.P.; O’Connor, K.M. A Theory of Crack Healing in Polymers. J. Appl. Phys. 1981, 52, 5953–5963. [Google Scholar] [CrossRef]
- De Gennes, P.G. Reptation of a Polymer Chain in the Presence of Fixed Obstacles. J. Chem. Phys. 1971, 55, 572–579. [Google Scholar] [CrossRef]
- Edwards, S.F. The Statistical Mechanics of Polymerized Material. Proc. Phys. Soc. 1967, 92, 9–16. [Google Scholar] [CrossRef]
- Janković, B. Kinetic and Reactivity Distribution Behaviors during Curing Process of Carbon/Epoxy Composite with Thermoplastic Interface Coatings (T800/3900-2 Prepreg) under the Nonisothermal Conditions. Polym. Compos. 2018, 39, 201–220. [Google Scholar] [CrossRef]
- Ma, X.Q.; Gu, Y.Z.; Li, M.; Li, Y.X.; Zhang, D.M.; Jia, L.J.; Zhang, Z.G. Properties of Carbon Fiber Composite Laminates Fabricated by Coresin Film Infusion Process for Different Prepreg Materials. Polym. Compos. 2013, 34, 2008–2018. [Google Scholar] [CrossRef]








| Temperature | Handling Life Decay Rate Ratio |
|---|---|
| <26 °C | 1 |
| 26~32 °C | 2 |
| 32~37 °C | 3 |
| 37~43 °C | 4.5 |
| Aging temperature/°C | 43 | 37 | 32 | 26 |
| Aging time/Hour | 5.3 | 8 | 12 | 24 |
| 21.3 | 32 | 48 | 96 | |
| 37.3 | 56 | 84 | 168 | |
| 53.3 | 80 | 120 | 240 | |
| 69.3 | 104 | 156 | 312 |
| Temperature | T-Type Prepreg of R2 |
|---|---|
| 26 °C | 0.996 |
| 32 °C | 0.995 |
| 37 °C | 0.905 |
| 43 °C | 0.989 |
| Temperature | H-Type Prepreg of R2 | C-Type Prepreg of R2 |
|---|---|---|
| 26 °C | 0.981 | 0.547 |
| 32 °C | 0.983 | 0.705 |
| 37 °C | 0.900 | 0.707 |
| 43 °C | 0.862 | 0.793 |
Disclaimer/Publisher’s Note: The statements, opinions and data contained in all publications are solely those of the individual author(s) and contributor(s) and not of MDPI and/or the editor(s). MDPI and/or the editor(s) disclaim responsibility for any injury to people or property resulting from any ideas, methods, instructions or products referred to in the content. |
© 2024 by the authors. Licensee MDPI, Basel, Switzerland. This article is an open access article distributed under the terms and conditions of the Creative Commons Attribution (CC BY) license (https://creativecommons.org/licenses/by/4.0/).
Share and Cite
Shi, J.; Wang, W.; Wang, Y.; Qi, J.; Xiao, J. A Peel Test Method to Characterize the Decay Law of Prepreg Tape Tack at Different Temperatures. Materials 2024, 17, 2449. https://doi.org/10.3390/ma17102449
Shi J, Wang W, Wang Y, Qi J, Xiao J. A Peel Test Method to Characterize the Decay Law of Prepreg Tape Tack at Different Temperatures. Materials. 2024; 17(10):2449. https://doi.org/10.3390/ma17102449
Chicago/Turabian StyleShi, Jiaqi, Wang Wang, Yuequan Wang, Junwei Qi, and Jun Xiao. 2024. "A Peel Test Method to Characterize the Decay Law of Prepreg Tape Tack at Different Temperatures" Materials 17, no. 10: 2449. https://doi.org/10.3390/ma17102449
APA StyleShi, J., Wang, W., Wang, Y., Qi, J., & Xiao, J. (2024). A Peel Test Method to Characterize the Decay Law of Prepreg Tape Tack at Different Temperatures. Materials, 17(10), 2449. https://doi.org/10.3390/ma17102449

