Two 3D Fractal-Based Approaches for Topographical Characterization: Richardson Patchwork versus Sdr
Abstract
1. Introduction
2. Materials and Methods
2.1. Materials
- two types of micro balls of glass silico–soda–calcium (G 100 (particle size of 70–150 µm) and G 250 (150–250 µm)) from ARENA;
- one abrasion material, named C 300 50/80 (particle size of 100–630 µm) from Semanaz, which was composed of hard, sharp, abrasive crystals manufactured from molten glass mass whose material composition was silicate, alumina and iron oxide.
2.2. Topographical Measurement and Data Post-Processing
2.3. Fractal Multiscale Characterization Methods
2.3.1. Method n°1: Patchwork
2.3.2. Method n°2: Sdr Parameter
Developed Area Principle
Sdr Calculation
2.3.3. Differences between Both Methods
2.4. Statistical Analysis
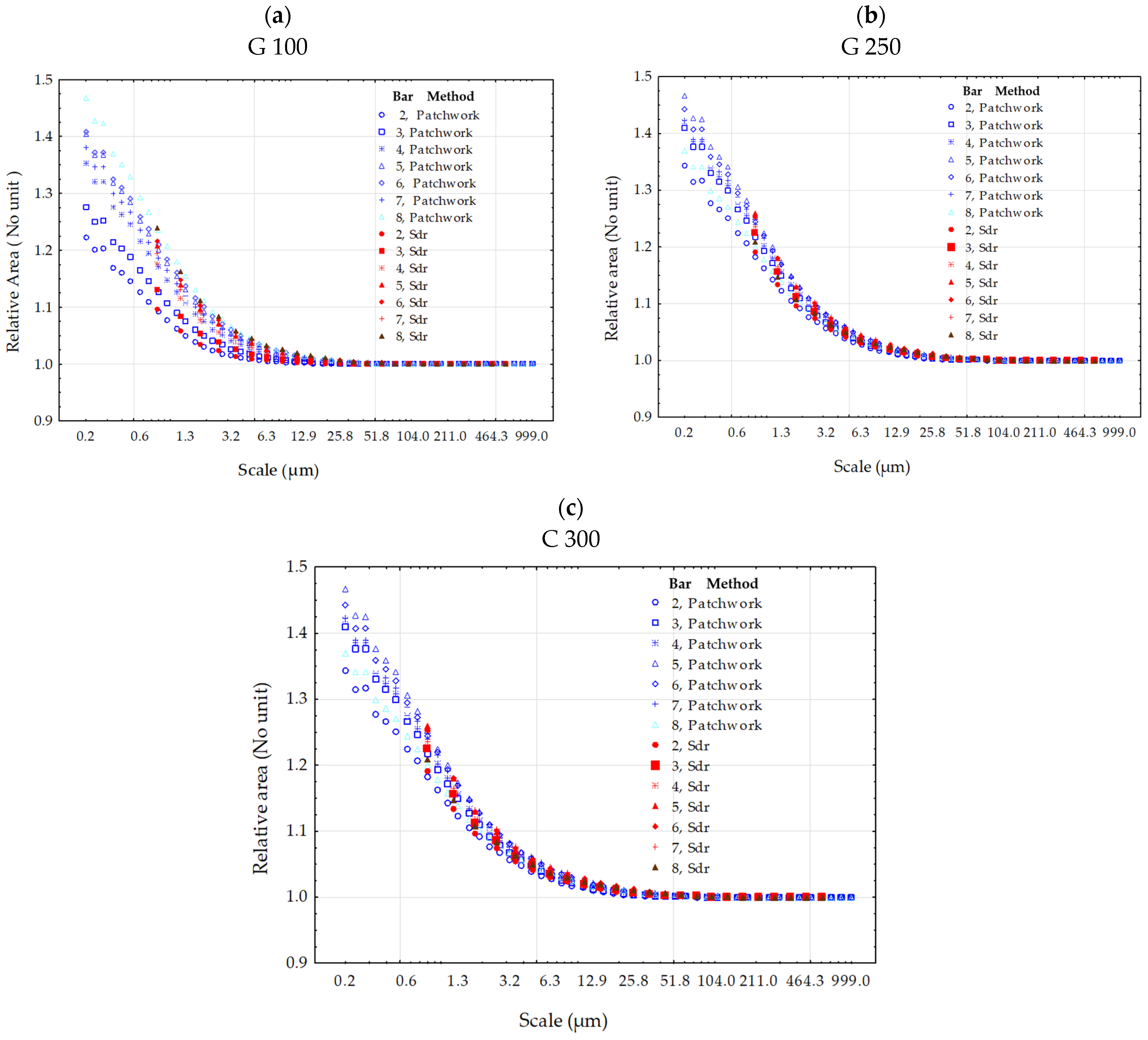
3. Results
4. Discussion
5. Conclusions
Author Contributions
Funding
Institutional Review Board Statement
Informed Consent Statement
Data Availability Statement
Conflicts of Interest
Appendix A. Visualization of Filtered Surfaces



References
- Brown, C.A.; Hansen, H.N.; Jiang, X.J.; Blateyron, F.; Berglund, J.; Senin, N.; Bartkowiak, T.; Dixon, B.; Le Goïc, G.; Quinsat, Y.; et al. Multiscale s and Characterizations of Surface Topographies. CIRP Ann. 2018, 67, 839–862. [Google Scholar] [CrossRef]
- Majumdar, A.; Tien, C.L. Fractal Characterization and Simulation of Rough Surfaces. Wear 1990, 136, 313–327. [Google Scholar] [CrossRef]
- Bartkowiak, T.; Berglund, J.; Brown, C.A. Multiscale Characterizations of Surface Anisotropies. Materials 2020, 13, 3028. [Google Scholar] [CrossRef] [PubMed]
- Brown, C.A. Surface Metrology Principles for Snow and Ice Friction Studies. Front. Mech. Eng. 2021, 7, 753906. [Google Scholar] [CrossRef]
- Guibert, R.; Hanafi, S.; Deltombe, R.; Bigerelle, M.; Brown, C.A. Comparison of Three Multiscale Methods for Topographic Analyses. Surf. Topogr. Metrol. Prop. 2020, 8, 024002. [Google Scholar] [CrossRef]
- Brown, C.A. Areal Fractal Methods. In Characterisation of Areal Surface Texture; Leach, R., Ed.; Springer: Berlin/Heidelberg, Germany, 2013; pp. 129–153. ISBN 978-3-642-36458-7. [Google Scholar]
- De Chiffre, L.; Lonardo, P.; Trumpold, H.; Lucca, D.A.; Goch, G.; Brown, C.A.; Raja, J.; Hansen, H.N. Quantitative Characterisation of Surface Texture. CIRP Ann. 2000, 49, 635–652. [Google Scholar] [CrossRef]
- Mandelbrot, B.B.; Mandelbrot, B.B. The Fractal Geometry of Nature; WH freeman: New York, NY, USA, 1982; Volume 1. [Google Scholar]
- Thomas, T.R. Rough Surfaces, 2nd ed.; World Scientific: London, UK, 1998; ISBN 978-1-78326-236-6. [Google Scholar]
- Russ, J.C.; Russ, J.C. Modeling Fractal Profiles and Surfaces. Fractal Surf. 1994, 149–190. [Google Scholar]
- Kaye, B.H. A Random Walk through Fractal Dimensions; John Wiley & Sons: Hoboken, NJ, USA, 2008; ISBN 3-527-61598-9. [Google Scholar]
- Whitehouse, D.J. Handbook of Surface and Nanometrology, 2nd ed.; CRC Press: Boca Raton, FL, USA, 2010; ISBN 978-0-429-14069-3. [Google Scholar]
- Zahouani, H.; Vargiolu, R.; Loubet, J.-L. Fractal Models of Surface Topography and Contact Mechanics. Math. Comput. Model. 1998, 28, 517–534. [Google Scholar] [CrossRef]
- Majumdar, A.; Bhushan, B. Fractal Model of Elastic-Plastic Contact between Rough Surfaces. J. Tribol. 1991, 113, 1–11. [Google Scholar] [CrossRef]
- Berry, M.V.; Lewis, Z.V.; Nye, J.F. On the Weierstrass-Mandelbrot Fractal Function. Proc. R. Soc. London. A. Math. Phys. Sci. 1980, 370, 459–484. [Google Scholar]
- Mandelbrot, B. How Long Is the Coast of Britain? Statistical Self-Similarity and Fractional Dimension. Science 1967, 156, 636–638. [Google Scholar] [CrossRef] [PubMed]
- Jiang, X.; Scott, P.J.; Whitehouse, D.J.; Blunt, L. Paradigm Shifts in Surface Metrology. Part II. The Current Shift. Proc. R. Soc. A Math. Phys. Eng. Sci. 2007, 463, 2071–2099. [Google Scholar] [CrossRef]
- ISO 25178-2:2021. Available online: https://www.iso.org/fr/standard/74591.html (accessed on 16 April 2023).
- ISO 16610-61:2015. Available online: https://www.iso.org/standard/60813.html (accessed on 7 April 2024).
- Brown, C.A.; Charles, P.D.; Johnsen, W.A.; Chesters, S. Fractal Analysis of Topographic Data by the Patchwork Method. Wear 1993, 161, 61–67. [Google Scholar] [CrossRef]
- Kelechava, B. ASME B46.1-2019: Surface Texture (Roughness, Waviness, Lay). The ANSI Blog. 2020. Available online: https://blog.ansi.org/2020/08/asme-b46-1-2019-surface-texture-roughness/ (accessed on 5 March 2024).
- Moreno Constenla, M.C.; Brown, C.A.; Bouchon Aguirre, P.A. Effect of Food Surface Roughness on Oil Uptake by Deep-Fat Fried Products. J. Food Eng. 2010, 101, 179–186. [Google Scholar] [CrossRef]
- Lange, D.A.; Jennings, H.M.; Shah, S.P. Analysis of Surface Roughness Using Confocal Microscopy. J. Mater. Sci. 1993, 28, 3879–3884. [Google Scholar] [CrossRef]
- Lonardo, P.M.; Trumpold, H.; De Chiffre, L. Progress in 3D Surface Microtopography Characterization. CIRP Ann. 1996, 45, 589–598. [Google Scholar] [CrossRef]
- Blunt, L.; Jiang, X. Advanced Techniques for Assessment Surface Topography: Development of a Basis for 3D Surface Texture Standards “Surfstand”; Elsevier: Amsterdam, The Netherlands, 2003. [Google Scholar]
- Werb, M.; Falcón García, C.; Bach, N.C.; Grumbein, S.; Sieber, S.A.; Opitz, M.; Lieleg, O. Surface Topology Affects Wetting Behavior of Bacillus Subtilis Biofilms. NPJ Biofilms Microbiomes 2017, 3, 1–10. [Google Scholar] [CrossRef] [PubMed]
- Tsigarida, A.; Tsampali, E.; Konstantinidis, A.A.; Stefanidou, M. On the Use of Confocal Microscopy for Calculating the Surface Microroughness and the Respective Hydrophobic Properties of Marble Specimens. J. Build. Eng. 2021, 33, 101876. [Google Scholar] [CrossRef]
- Efron, B.; Tibshirani, R. Bootstrap Methods for Standard Errors, Confidence Intervals, and Other Measures of Statistical Accuracy. Stat. Sci. 1986, 54–75. [Google Scholar] [CrossRef]
- Najjar, D.; Bigerelle, M.; Iost, A. The Computer-Based Bootstrap Method as a Tool to Select a Relevant Surface Roughness Parameter. Wear 2003, 254, 450–460. [Google Scholar] [CrossRef]
- ISO 25178-3:2021. Available online: https://www.iso.org/fr/standard/42895.html (accessed on 10 May 2023).
- Lemesle, J.; Moreau, C.; Deltombe, R.; Martin, J.; Blateyron, F.; Bigerelle, M.; Brown, C.A. Height Fluctuations and Surface Gradients in Topographic Measurements. Materials 2023, 16, 5408. [Google Scholar] [CrossRef] [PubMed]
- Lemesle, J.; Moreau, C.; Deltombe, R.; Blateyron, F.; Martin, J.; Bigerelle, M.; Brown, C.A. Top-down Determination of Fluctuations in Topographic Measurements. Materials 2023, 16, 473. [Google Scholar] [CrossRef] [PubMed]













| (a) G 100 | ||||
| Pressure (bar) | Relative area | |||
| Method: Patchwork | Method: Sdr | |||
| Mean | Standard deviation | Mean | Standard deviation | |
| 2 | 1.000023 | 1.17 × 10−6 | 1.000008 | 6.67 × 10−7 |
| 3 | 1.000071 | 2.51 × 10−6 | 1.000061 | 1.40 × 10−6 |
| 4 | 1.000112 | 2.83 × 10−6 | 1.000104 | 5.52 × 10−6 |
| 5 | 1.000178 | 4.49 × 10−6 | 1.000174 | 2.30 × 10−6 |
| 6 | 1.000224 | 4.61 × 10−6 | 1.000242 | 3.10 × 10−6 |
| 7 | 1.000250 | 7.44 × 10−6 | 1.000352 | 1.49 × 10−6 |
| 8 | 1.000286 | 6.15 × 10−6 | 1.000346 | 6.64 × 10−6 |
| (b) G 250 | ||||
| Pressure (bar) | Relative area | |||
| Method: Patchwork | Method: Sdr | |||
| Mean | Standard deviation | Mean | Standard deviation | |
| 2 | 1.00018 | 6.97 × 10−6 | 1.00017 | 5.79 × 10−6 |
| 3 | 1.00024 | 8.43 × 10−6 | 1.00024 | 3.64 × 10−6 |
| 4 | 1.00036 | 1.16× 10−5 | 1.00045 | 8.36 × 10−6 |
| 5 | 1.00045 | 1.42 × 10−5 | 1.00059 | 1.45 × 10−5 |
| 6 | 1.00053 | 1.21 × 10−5 | 1.00074 | 1.16 × 10−5 |
| 7 | 1.00060 | 1.97 × 10−5 | 1.00087 | 1.20 × 10−5 |
| 8 | 1.00058 | 1.52 × 10−5 | 1.00086 | 1.52 × 10−5 |
| (c) C 300 | ||||
| Pressure (bar) | Relative area | |||
| Method: Patchwork | Method: Sdr | |||
| Mean | Standard deviation | Mean | Standard deviation | |
| 2 | 1.0038 | 7.22 × 10−5 | 1.0053 | 9.72 × 10−5 |
| 3 | 1.0054 | 1.16 × 10−4 | 1.0081 | 1.41 × 10−4 |
| 4 | 1.0057 | 1.69 × 10−4 | 1.0091 | 1.68 × 10−4 |
| 5 | 1.0078 | 2.11 × 10−4 | 1.0127 | 3.19 × 10−4 |
| 6 | 1.0082 | 2.40 × 10−4 | 1.0135 | 3.17 × 10−4 |
| 7 | 1.0093 | 2.35 × 10−4 | 1.0151 | 3.65 × 10−4 |
| 8 | 1.0100 | 2.94 × 10−4 | 1.0156 | 3.64 × 10−4 |
Disclaimer/Publisher’s Note: The statements, opinions and data contained in all publications are solely those of the individual author(s) and contributor(s) and not of MDPI and/or the editor(s). MDPI and/or the editor(s) disclaim responsibility for any injury to people or property resulting from any ideas, methods, instructions or products referred to in the content. |
© 2024 by the authors. Licensee MDPI, Basel, Switzerland. This article is an open access article distributed under the terms and conditions of the Creative Commons Attribution (CC BY) license (https://creativecommons.org/licenses/by/4.0/).
Share and Cite
Berkmans, F.; Lemesle, J.; Guibert, R.; Wieczorowski, M.; Brown, C.; Bigerelle, M. Two 3D Fractal-Based Approaches for Topographical Characterization: Richardson Patchwork versus Sdr. Materials 2024, 17, 2386. https://doi.org/10.3390/ma17102386
Berkmans F, Lemesle J, Guibert R, Wieczorowski M, Brown C, Bigerelle M. Two 3D Fractal-Based Approaches for Topographical Characterization: Richardson Patchwork versus Sdr. Materials. 2024; 17(10):2386. https://doi.org/10.3390/ma17102386
Chicago/Turabian StyleBerkmans, François, Julie Lemesle, Robin Guibert, Michał Wieczorowski, Christopher Brown, and Maxence Bigerelle. 2024. "Two 3D Fractal-Based Approaches for Topographical Characterization: Richardson Patchwork versus Sdr" Materials 17, no. 10: 2386. https://doi.org/10.3390/ma17102386
APA StyleBerkmans, F., Lemesle, J., Guibert, R., Wieczorowski, M., Brown, C., & Bigerelle, M. (2024). Two 3D Fractal-Based Approaches for Topographical Characterization: Richardson Patchwork versus Sdr. Materials, 17(10), 2386. https://doi.org/10.3390/ma17102386

