Abstract
We developed and analyzed a novel non-sparking material based on CuAlBe for applications in potentially explosive environments. Using a master alloy of CuBe, an established material for anti-sparking tools used in oil fields, mines, or areas with potentially explosive gas accumulations, and pure Al, we used an Ar atmosphere induction furnace to obtain an alloy with ~10 wt% Al and ~2 wt% Be percentages and good chemical and structural homogeneity. The new material was tested in an explosive gaseous mixture (10% H2 or 6.5% CH4) under extremely strong wear for 16,000 cycles, and no hot sparks capable of igniting the environment were produced. The material was used in the form of hot-rolled plates obtained from melted ingots. The experimental results reflect the use of a suitable material for non-sparking tools. This material has good deformability during hot rolling, abnormal grain growth during deformation under heat treatment and special thermo-mechanical processing, and no high chemical composition variation. Additionally, there are slightly different corrosion resistance and mechanical properties between the melt and hot-rolled state of CuAlBe material. Through hot rolling, the material’s corrosion resistance increased, reducing the chances of generating sparks capable of causing explosions.
1. Introduction
The need to reduce the frequency of explosions and instantaneous fires in the workplace can be explained by both humanitarian and economic considerations [1]. The humanitarian considerations are obvious: explosions and fires can cause extremely serious injuries and deaths. The economic considerations emerge from studies devoted to the real costs of accidents, which show that an improvement in risk management (for health and safety) can considerably increase company profits. Protection against explosions is of particular importance for safety because explosions endanger the lives and health of workers due to the uncontrolled effects of flames and pressure, the presence of harmful reaction products, and the consumption of oxygen from the ambient air breathed by the workers [1,2]. An explosion occurs when a fuel mixed with air (containing a sufficient amount of oxygen) reaches the explosive limits in the presence of an ignition source [3]. In the event of an explosion, workers are exposed to risks resulting from uncontrolled ignition and pressure phenomena, such as thermal radiation, flames, shock waves, and debris projection, as well as the presence of harmful reaction products and the depletion of oxygen, indispensable for breathing, in the air.
The most well-known and widely used anti-sparking alloy for obtaining active tools is CuBe. It is used to manufacture screwdrivers, hammers, shovels, pliers, etc. [3,4]. More complex gears are embedded and encapsulated in hermetically sealed shells to separate them from the potentially explosive material enclosed within, and this approach substantially increases the cost of more-complex devices. To obtain metal parts for these gears, the authors propose using CuAlBe alloy, which satisfies both the processing requirements and mechanical characteristics [5,6].
Bronzes have good sliding properties; therefore, they are widely used in gears. They are extremely stable and give a machine optimal working properties, but they also present disadvantages: their weight and high price. Aluminum bronzes are used as materials for the following: gears, bearings, and bushings. Aluminum bronzes possess innate resistance to drops. They are used when resistance to rust, erosion, and waterproofing is required. Aluminum is the main reinforcing element and is normally present at between 8% and 13%wt. At the higher end of the range, hardness figures of 30–44 HRC are possible. However, at these very high hardnesses, ductility is reduced to 1% [4]. The friction tests for the approval of anti-spark protection materials intended for use in explosive atmospheres are conducted under laboratory conditions and assume that sparks are generated by accidental or technological friction in explosive gas mixtures [5].
In this work, two alloys with new compositions from the CuAlBe system were tested in different states (cast, heat-treated, or hot-rolled) in an effort to obtain anti-sparking elements such as gears composed of new materials.
2. Experimental Materials
In contrast to the CuBe alloy used to manufacture tools for environments with potentially explosive atmospheres, the addition of Al improves formability, deformability, and corrosion resistance properties. By controlling the component phases and microstructure, spark-causing situations can be avoided, thus limiting the possibility of an explosion. The microstructures and surfaces of the materials subjected to wear tests were investigated using light optical microscopy (LOM, Zeiss Imager Axio a1M, Erfurt, Germany) and scanning electron microscopy (SEM, VegaTescan LMH II, Brno-Kohoutovice, Czech Republic). Chemical composition and phases were evaluated using a Bruker X-ray energy-dispersive detector, X-Flash 6-10, Billerica, MA, USA, and XRD equipment, X’Pert Panalytical, Enigma Business Park, Grovewood Road, Malvern, UK. Corrosion resistance (open-circuit potential, linear and cyclic potentiometry) and surface aspects were analyzed in a saltwater electrolyte solution. Mechanical properties such as microhardness and the friction coefficient were determined using UMT. Severe wear tests showed the excellent behavior of these alloys in an explosive atmosphere in terms of generating sparks capable of causing explosions.
The experimental alloys were obtained from high-purity Cu (99.995%), CuBe master alloy (Be 4%wt), and high-purity aluminum (99.99%).
Based on a literature review and the known alloys CuBe (1–2%Be) for anti-sparking applications and CuAl (approx. 10% Al) for various structural elements, we aimed to obtain a CuAlBe alloy to replace 1–2% of the Al proportion with Be.
The charge was melted in an induction furnace in a ceramic crucible and melted again at 1100 °C in a laboratory electric furnace 5 times to ensure the chemical and structural homogeneity of the alloy and eliminate casting defects; detailed images are given in Figure 1, mapping the elements over a 1 mm2 area. The average chemical compositions of the alloys after 3 determinations on a 1 mm2 surface are shown in Table 1.
Figure 1.
EDS spectrum of the CuAlBe sample and mapping of the main elements (Cu, Al, and Be).
Table 1.
Chemical compositions of experimental CuAlBe alloys.
The experimental alloys were heat-treated by heating them to 850 °C and cooling them in water, and they were also hot-rolled by heating them to 900 °C and rolling them according to the scheme in Figure 2, thus yielding ingots with a diameter of 10 mm and a length of 100 mm and plates with a thickness of 1.5–2 mm and a length of 180 mm.
Figure 2.
Schematic diagram of CuAlBe hot-rolling process and microstructure (optical microscopy) before and after deformation.
Usually, bronzes are easy to roll using both cold and hot processes, depending on their chemical composition. For CuAl alloys, it is recommended that the hot-rolling process be performed in a heating range between 800 °C and 950 °C [6,7].
Beryllium bronzes are technical alloys containing 2–3% Be and exhibit the following phases: an α-solid solution based on the substitution of Be in Cu, with a CFC network, and γ solid solution based on CuBe compound, which is hard and brittle. Because of the variation in the Be solution in Cu with temperature, these bronzes can be tempered from 800 °C to the α-structure, at which point they exhibit a particular plasticity. They can be precipitation-hardened after aging at 300–350 °C. These are easily deformable, elastic, corrosion-resistant, weldable, and anti-spark bronzes. They are used for mine hammers and chisels, springs, diaphragms, watchmaking parts, etc.
Beryllium is an alloying element that positively and spectacularly changes the physico-mechanical properties, resistance to cavitation corrosion, refractoriness, and operational reliability of Al bronzes. It also adds antimagnetic and anti-sparking properties to bronzes containing Al [8].
Microstructural analysis was performed using a Zeiss optical microscope (Zeiss, Jena, Germany) with a MotiCam optical camera at room temperature (≈25 °C). For microstructural analysis, the samples were sanded with SiC paper to a grain size of 2400 mesh and mechanically polished using an aqueous alumina slurry (1–0.3 μm). A chemical attack was performed using an aqueous solution of iron chloride (FeCl3) for 10 s [9].
A polycrystalline austenite-like structure of the alloy at room temperature and narrow stress-induced martensite zones after rolling were observed for the sample with more Be. Regarding the structural aspects, an abnormal grain growth after rolling, which has also been reported in other papers [10]; an orientation of the structure along the rolling direction; and the appearance of stress-induced martensite β′1 were observed (Figure 2).
3. General Testing Procedure
This procedure describes how to perform the approval test for spark protection materials intended for use in explosive atmospheres; it is part of the group of tests used for material and equipment performance verification.
This procedure is applicable in laboratories for the acceptance testing of spark protection materials intended for use in potentially explosive atmospheres.
The normative references used in this procedure were extracted from the following standards: the Romanian standard STAS 10449-86 (Electrical Equipment for Potentially Explosive Atmospheres “Impact and friction tests”) and the standard SR EN ISO/IEC 17025:2018, “General requirements for the competence of testing and calibration laboratories” [11,12].
An explosive mixture consisting of air containing 6.5% CH4 is used to test materials for equipment in Groups I and II A. An explosive mixture composed of air and 10% H2 is used for material testing. A friction test, impact test, or both may be performed to verify whether hot sparks capable of producing a fire are likely to occur when a particular material is used in an explosive environment under certain conditions. For gear wheels, the determining factor for spark occurrence is the friction process.
For the friction test, the following materials are required: a special stand equipped with a rotating disk driven by an electric motor; a test chamber with dimensions of 1000 × 1000 × 1000 mm; samples made from material pairs with the dimensions shown in Figure 3a and a movable support for fixing the plate that is capable of translation parallel to the axis of the rotating disk; a test sample with a rounded friction surface, fixed to the rotating disk; and an automated device for creating an explosive mixture, containing the dosing installation and oxygen analyzer. The oxygen analyzer has a measuring range of 0 to 100% O2. An oxygen cylinder and an ignition source (voltage generator + spark plug) must also be used to ignite the mixture only if the friction process has not produced hot sparks so that the mixture is not released into the atmosphere. Metal test samples (specimens) made from the material pairs to be tested with the corresponding dimensions (in mm) are shown in Figure 3a.
Figure 3.
The metallic samples for testing (specimens) made from the pairs of materials subjected to the test. The dimensions are presented in mm for (a) friction tests and (b) impact tests.
The impact tester uses a stand composed mainly of a table providing sufficient energy for the test; a digital system for determining drop height and calculating impact energy; the test sample; a rusted steel plate; an explosion chamber (the outer wall is open and covered with a plastic sheet to allow the release of the explosion pressure); a device allowing the longitudinal and transverse movement of the rusted plate; and explosive-mixture-generating equipment consisting of a dosing installation and the oxygen analyzer. The oxygen analyzer has a measuring range of 0 to 100% O2.
In addition, an oxygen cylinder and an ignition source (voltage generator + spark plug) are needed to ignite the mixture only if the impact process has not produced hot sparks, thus failing to release the mixture into the atmosphere.
The results of the impact test, where the test material sample has the shape presented in Figure 3b (showing whether the test material passed or failed the test), are described according to the occurrence or non-occurrence of ignition in the first 10 tests in the explosive mixture or the number of ignitions in the next 32 tests in the oxygen-enriched or double-impact energy explosive mixture. The impact test was performed under laboratory conditions and consisted of the simulation, on special stands, of the spark formation process generated by accidental or technological impacts. The simulation was conducted on a special test stand, on which an impact was generated between the vertically inclined rusted plate and the sample to be tested. The impact energy was determined by using a digital system for determining the falling height and calculating the impact energy. To calculate the impact energy, the digital system uses the following formula: E = m × g × h [J]; here, m is the falling mass [kg], g is gravitational acceleration [m/s2], and h is the falling height [m]. The weight shape is chosen according to the application of the material used in the construction of the equipment [13,14].
Samples of the rolled material, in the form of plates, were used to determine several surface characteristics using a Cetr-Umt2 tribometer [8,15].
Experiments were performed on parallel-sided samples with dimensions of 50 × 20 × 2 mm. Scratch tests were performed on the polished surfaces of the samples (grains and grain boundaries). The experiment was performed by applying an increasing force from 1 to 25 N over a 10 mm distance at a 1 mm/s speed on the etched area of the samples.
Corrosion resistance was evaluated using linear and cyclic potentiometry tests using a VoltaLab 21 electrochemical system (PGP201-Economic Potentiostat) equipped with a three-electrode cell and VoltaMaster 4 data-acquisition-and-processing software. Samples subjected to an electric current in a saline electrolyte medium were mechanically polished and washed with distilled water before the experiment. A saline solution (NaCl 3.5%) at room temperature was used as the electrolyte solution [16].
Linear polarization curves were plotted, showing the electrode potential rate variation, dV/dt = 0.5 mV/s, and cyclic polarization curves with a 10 mV/s rate. The surface conditions were investigated using optical microscopy, scanning electron microscopy and energy dispersive spectroscopy. The experiments were conducted in compliance with occupational health-and-safety laws and regulations to eliminate all risks and hazards that may affect human resources during the experimental procedures [17].
4. Experimental Results and Discussions
At high temperatures, these alloys exhibit a stable β-phase with a disordered structure that can be preserved at low temperatures through rapid cooling. The disordered β-phase arranges into a DO3 structure during cooling at a lower solidification rate; it decomposes into γ2 and α phases with a lower or higher aluminum content. The martensitic transformation of the β-phase into 18R can be induced spontaneously via cooling or mechanically via tension.
4.1. XRD Analysis
For the cast state, the main phase is martensitic (Figure 4) and composed of the orthorhombic phase (18R-β1′) with small fractions of the monoclinic system (2H-γ1′) at 2ϴ angles of 33 and 47 [7].
Figure 4.
XRD patterns of CuAlBe alloy in different states: cast, heat-treated, and hot-rolled.
Following the heat treatment (Figure 4), in addition to a large, straight martensite peak at a 2ϴ angle of about 44 typical for the β1′ phase (Cu3Al) due to precipitation, degradation of the martensitic transformation is visible for the hot-rolled sample, primarily due to heating at 900 °C before plastic deformation by the precipitation of γ2 (Cu9Al4) compounds and the α-phase (lower Al content) by the appearance of 2ϴ peaks at 27 and 31.
After being rolled, the alloy (Figure 4) was found to be in a single-crystal state with a low degree of polycrystallinity, not much of an amorphous phase, and few defects. The only large peak that appeared is the one with the (120) plane indicating a martensitic β1′ phase. Next to this peak, to its right, appears another α peak (200) around a 2ϴ angle of 50 and another also of martensitic β1′ (042) around a 2ϴ angle of 80 γ [18,19].
4.2. Electro-Chemical Corrosion Resistance
Cu-based alloys generally exhibit high corrosion resistance and are used in many applications in highly corrosive environments. The addition of aluminum improves their corrosion resistance, especially in saline environments, in chlorides, as it contributes to increasing the protective character of the composite layers [20,21].
Studies in the literature show that the corrosion process occurs via dealumination through the preferential removal of the aluminum-rich or aluminum phase from the alloy [22,23].
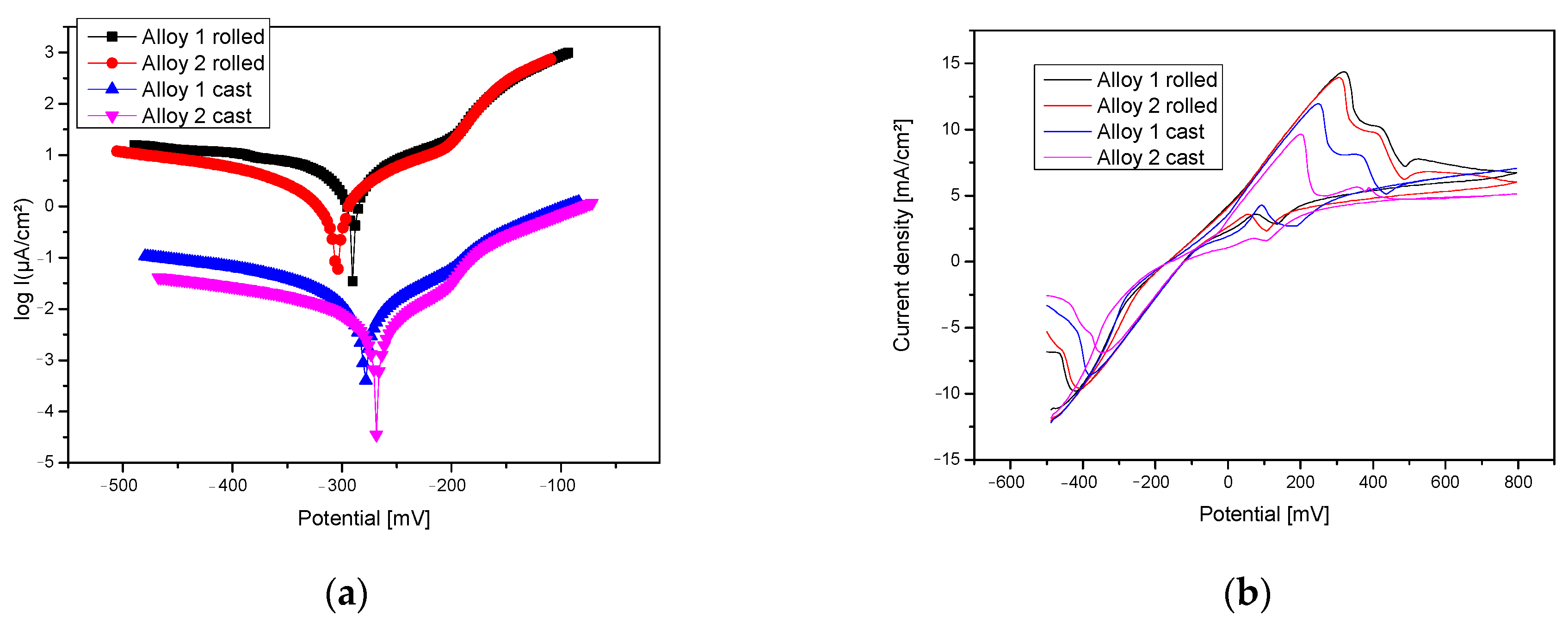
The different behaviors of CuAlBe alloys in chloride solutions are primarily caused by their microstructure and component phases. In the γ2-phase samples, dissolution of precipitates occurs, thus protecting the matrix from the solid solution and reducing its desalination process. On the other hand, precipitates have a higher Cu content, hence their being marked as α, and show higher corrosion stability [23]. Linear potentiometry (Tafel curves in Figure 5a) shows similar behaviors of the four samples, grouped two by two according to their condition: cast, hot-rolled, and heat-treated. The repassivation potential is in the range 180–200 mV/SCE for the cast samples and 160–180 mV/SCE for the rolled samples.
Figure 5.
Linear and cyclic potentiometry results. (a) Tafel plot and (b) current density vs. potential.
The optical observations on the surface were confirmed via SEM images and showed the formation of a compound layer as a result of the interaction between the alloy and the electrolyte (Figure 6a–d).

Figure 6.
SEM images of the CuAlBe surfaces after electro-chemical corrosion tests (a,b) in cast state and (c,d) hot-rolled state.
The main anodic reaction is the formation of copper and aluminum oxides as well as the hydroxides of these elements, and the reduction of oxygen is the main cathodic reaction. Alumina can be generated on the surface through Al complexation by existing chlorides and a subsequent hydrolysis step. Table 2 shows the process parameters recorded during the electrochemical corrosion resistance test after the open-circuit potential analysis conducted for 60 min. The cyclic potentiometry results, recorded and interpreted as a function of the potential current density (Figure 5b), show the pitting corrosion behavior of the alloy’s surface. The curves also indicate the passivation intervals of the surface through the formation of copper oxides, which generally form a protective layer on the surface.
Table 2.
Electro-chemical corrosion test parameters.
Although no variation in the corrosion resistance of the CuAlBe alloys as a function of the percentage of Be was reported, a large difference in behavior was observed between CuAlBe samples with different phases in the composition. Hence, the presence of other phases in addition to β will decrease the corrosion resistance of these alloys through the formation of local micro-stacks between the phases.
For Cu-Al alloys, in addition to the dissolution and oxidation of Cu, the same corrosion process occurs for Al. Thus, in addition to the Cl compound, Al salts, such as AlCl and Al(OH)2Cl, were incorporated on the surface.
It has been reported in the literature that among the first corrosion products of Cu-based alloys in chloride environments is CuCl, leading further to the formation of Cu2O, copper oxide, which proceeds to oxidize to CuO at higher oxidation potentials [24].
In addition, the presence of a CuCl2 compound was identified on the surfaces of the Cu alloys subjected to cyclic potentiometry tests. The surfaces of the alloys showed dealumination that transformed the granular structure into a porous Cu-rich matrix. The detection of Al oxides on the surface corresponds to corrosion compounds formed in areas where the β-phase was dissolved. All cases (Figure 6a,d) show advanced surface corrosion due to the concentrated electrolyte solution used, more specifically a localized one-phase type. The presence of compounds based on oxides, carbides, or chlorides can also be observed on the surface (Table 3 and Figure 7).
Table 3.
Chemical composition of cast and rolled Alloys 1 and 2.
Figure 7.
Elemental distribution on CuAlBe surfaces (Cu, Al, Cl, Na, and O) after corrosion tests for (a) Alloy 1 (cast), (b) Alloy 2 (cast), (c) Alloy 1 (hot-rolled), and (d) Alloy 2 (hot-rolled).
The surface structure of Alloy 1 (Figure 6a) presented (β + γ2) phases after the anodic polarization test in 3.5% NaCl [16], showing pronounced Al depletion of the surface (zone 1) and containing some corrosion products (zone 2: Al2O3, CuO, Cu2O, and even NaCl deposits). On the matrix (zone 1), pits produced by severe dealumination can be observed, which contain a porous product with a copper content of up to 87% wt. In other areas of the sample, the Al2O3 film could not be observed on the precipitates, but a copper-rich pore product was detected.
The presence of corrosion compounds based on Al, O, Cl, Na, or C on the surfaces of the alloys was confirmed by EDS analysis. The compounds that could form on the surface are Al2O3, CuO, Cu2O, and even NaCl deposits. Be was also detected, indicating the formation of Be-based corrosion compounds. The open-circuit potential values show that both alloys are prone to spontaneous corrosion when in contact with an electrolyte solution and especially when in direct ion exchange. Surface spectrometric analysis showed a more resistant coating of compounds for the cast alloys compared with the rolled ones, with a lower percentage of Cu identified on the surface.
On account of the difficulties in detecting Be, which are usually encountered with most spectroscopic techniques, it was observed that because of the state of the formed compounds, Be could not be quantified, even though in the distribution analysis, the Be is present on the surface, but in small quantities and areas. The elemental distributions of elements on the CuAlBe surfaces after the corrosion tests are shown in Figure 7 for Cu, Al, Cl, Na, and O, only because Be was not identified on the cast and corroded samples, and the presence of C in Table 3 may be a confusion or misinterpretation of the EDS detector.
Salts, NaCl, or oxides, especially CuO-based ones, were observed on the corroded surfaces (Figure 7). Most oxides detached from the surface and passed into the electrolyte solution.
4.3. Scratch Tests Results
In terms of mechanical behavior, Cu, CuBe, and most C-based alloys are elasto-plastic materials. At low strain, the specimens exhibited a linear elastic zone, and for loads higher than their yield strength, they underwent irreversible plastic deformation with wide strain limits. The scratch resistance experiments for the two specimens show similar results (Figure 8 and Table 4) independent of the percentage of Be used. The recorded variations were Fx (material strength with respect to scratch force), CoF (friction coefficient), and AE (acoustic emission, representing the occurrence of acoustic (elastic) ripple propagation in solid materials) over a 10 mm distance.
Figure 8.
Variations of the alloy surface reaction force in the cast state in (a) of the coefficient of friction (CoF) in (b) and of the acoustic emission (AE) in (c).
Table 4.
Mechanical properties of the alloys in the cast state (average).
Variations in chemical composition (percentage of Be; Table 1) and material processing via hot rolling do not reveal large differences in the behavior of the surface mechanical properties [3,25].
CoF exhibits small surface fluctuations that may result from grain boundaries, stress-induced martensite zones, or various metal compounds with a lower friction coefficient than the copper-based solid solution [26]. Stress-induced martensite (M) zones or residual martensite are softer in terms of hardness and stiffness than the rest of the material in the austenitic state. The friction coefficient is slightly higher for Alloy 1 (Figure 8b) due to the lower percentage of Be in the alloy and reduced microhardness caused by the very small number of intermetallic compounds containing Be.
Based on the acoustic emission variations (Figure 8c), no consequences of crack propagation or plastic deformation of the material due to aging, temperature gradients, or external stresses were observed [3]. According to the values determined from the scratch test (Table 4), a higher friction coefficient of sample 2 for the alloy with a higher mass percentage of Be was observed. This shows that the presence of Be in a higher percentage favors the formation of stress-induced martensite, a softer phase than β austenite, which leads to an increase in the friction coefficient of the alloy. The acoustic emission values were very similar, and the shape of the variation curves confirms the polycrystallinity of the alloys and the existence of different phases and/or components with different stiffnesses [27].
4.4. Results of Wear Tests for Hot Spark Generation
CuAlBe alloys can exhibit pseudoelastic behavior at room temperature [28,29]. The hysteresis curve is associated with the dissipation of mechanical energy into heat. Because of these characteristics, these alloys can be used as external stress absorbers. The anti-spark character of these alloys could result from their high capacity to absorb mechanical stresses and therefore inability to generate hot sparks. Table 5 presents the main conclusions of the wear resistance tests conducted in a potentially explosive atmosphere.
Table 5.
Mechanical properties of the alloys in the rolled state (average).
The sparks resulting from the friction process are considered harmless (i.e., the tested pair of materials passed the test) if the following conditions were met:
- -
- There was no ignition during the first 16,000 friction cycles in the explosive mixture;
- -
- No more than eight ignitions occurred during the next 16,000 friction cycles in the explosive mixture enriched with oxygen up to 25%.
In conclusion, given the test results presented above and the testing conditions, the evaluated materials can be considered non-sparking.
Figure 9 shows the state images of the experimental alloy in the form of plates after being subjected to frictional wear for 16,000 passes.
Figure 9.
State of the surfaces of the experimental alloy plates after the wear test.
The contact intensity was observed by passing the CuAlBe material over steel wear pads, as shown in the middle image in Figure 9. In addition to the passage of the lower-hardness Al–bronze material on the steel used for friction, several cracks on the material plates can be observed in the right-side image in Figure 9 [30,31]. These results were derived from Alloy set 1 with the predominant austenite phase. Therefore, the Alloy 2 plates behaved similarly in terms of the production of explosion-initiating sparks and were similar. The samples subjected to severe wear were in a rolled and heat-treated state, and regardless of the component phases, no quantity was capable of producing explosion-initiating sparks [32].
Figure 10 shows the surface conditions of the experimental alloys after wear. Detachment of the material from the surface and the formation of corrosion oxides on the employed surface can be observed.
Figure 10.
SEM images of the surface after the wear test: (a) 500×, (b) 1000×, (c) 1500×—3D, and (d) elemental distributions on the worn area.
Sparks resulting from the friction process were considered non-hazardous (i.e., the pair of materials tested passed or failed the test) if no ignition occurred during the first 16,000 friction cycles in the explosive mixture or no more than eight ignitions occurred during the next 16,000 friction cycles in the explosive mixture enriched up to 25% with oxygen. It can be noticed that the alloy was exfoliated from the surface in several layers for different stresses depending on the number of passes performed (Figure 10c). Oxidation of the surface frequently occurred, without having a decisive influence on the spark production capacity of the material (Figure 10d).
5. Conclusions
Following the experimental tests, the following was observed:
- -
- In addition to serving as dedicated materials for non-sparking metallic parts, CuAlBe alloys can be used as non-sparking materials for various industrial applications involving potentially explosive atmospheres;
- -
- Using alloys in a rolled state without heat treatment does not affect the type of sparks produced;
- -
- Following the hot rolling of the alloys, their corrosion resistance increases at least eight times, reducing the chances of producing sparks capable of causing explosions;
- -
- The small percentage variation of Be in the tested alloy does not significantly affect its corrosion resistance or mechanical properties;
- -
- The severe wear experiments performed over 16,000 cycles and including material transfer did not produce sparks causing explosions, regardless of the component phases of the alloy.
Author Contributions
Conceptualization, A.M.C. and N.C.; Methodology, A.M.J., B.I. and D.-D.P.; Software, M.B., B.I. and N.C.; Formal analysis, M.B. and N.C.; Investigation, R.G.C., R.C., C.M.P., M.B., B.I., A.M.C., N.C. and D.-D.P.; Resources, R.G.C.; Data curation, C.M.P., A.M.C., N.C., G.D.V. and C.B.; Writing—original draft, R.G.C.; Writing—review & editing, G.B., A.M.C., N.C. and C.B.; Visualization, G.B.; Supervision, N.C. and C.B.; Project administration, N.C. and C.B. All authors have read and agreed to the published version of the manuscript.
Funding
This research received no external funding.
Institutional Review Board Statement
Not applicable.
Informed Consent Statement
Not applicable.
Data Availability Statement
Data are contained within the article.
Conflicts of Interest
The authors declare no conflict of interest.
References
- Kalyanam, S.; Sankaran, P.N. Accidental Histories in Composite Propellant Processing and Safety Measures; Report No. ISRO-SHAR-TR-08–059-91; Shar Centre: Sriharikota, India, 1991. [Google Scholar]
- Bond, J. Sources of Ignition: Flammability Characteristics of Chemicals and Chemical Products; Butterworth–Heinemann: Oxford, UK, 1991. [Google Scholar]
- Chelariu, G.R.; Cimpoesu, N.; Paraschiv, P.; Prisecariu, B.A.; Rusu, I.; Stirbu, I.; Sandu, G.I.; Benchea, M.; Bejinariu, C. Structural and Mechanical Properties of Hot Rolled CuAlBe Non-Spark Alloy. Arch. Metall. Mater. 2024, 69, 263–268. [Google Scholar] [CrossRef]
- Huang, L.D.; Yan, C.; Zhou, Y.; Yan, W. Multi-directional forging and aging treatment effects on friction and wear characterization of aluminium-bronze alloy. Mater. Charact. 2020, 167, 110511. [Google Scholar]
- Andrusca, L.; Goanta, V.; Barsanescu, P.D.; Savin, A. Experimental characterization of materials subjected to combined loading conditions. Mater. Sci. Eng. 2016, 147, 012092. [Google Scholar] [CrossRef]
- Chelariu, R.G.; Cimpoeșu, N.; Cazac, A.M.; Bernevig, M.A.; Bejinariu, C. Optical evaluation of the surfaces of the CuAlBe samples after the test of resistance to harsh wear stresses in an explosive atmosphere. MATEC Web Conf. 2024, 389, 00067. [Google Scholar] [CrossRef]
- Singh, R.K.; Murigendrappa, S.; Kattimani, S. Investigation on Properties of Shape Memory Alloy Wire of Cu-Al-Be Doped with Zirconium. J. Mater. Eng. Perform. 2020, 29, 11. [Google Scholar] [CrossRef]
- Canbay, A.C.; Oktay, K.; Ünlü, N.; Özkul, I. Study on Basic Characteristics of CuAlBe Shape Memory Alloy. Braz. J. Phys. 2020, 51, 13–18. [Google Scholar] [CrossRef]
- Cimpoesu, R.H.; Pompilian, G.O.; Baciu, C.; Cimpoesu, N.; Nejneru, C.; Agop, M.; Gurlui, S.; Focsa, C. Pulsed laser deposition of poly (L-Lactide) acid on nitinol substrate. Optoelectron. Adv. Mat. 2010, 4, 2148–2153. [Google Scholar]
- Da Mota Candidoa, G.V.; Ferreira de Oliveira, D.; Brito, I.C.A.; Evaristo Caluête, R.; da Silva Andrade, B.H.; Guedes de Lima Cavalcante, D. Effect of Hot Rolling on the Thermomechanical Properties of a Superelastic Cu-Al-Be-Cr Alloy. Mat. Res. 2020, 23, e20190542. [Google Scholar] [CrossRef]
- STAS 10449-86; Electrical Equipment for Potentially Explosive Atmospheres Impact and Friction Testing. The Romanian Standardization Institute: Bucharest, Romania, 1986.
- SR EN ISO/IEC 17025; General Requirements for the Competence of Testing and Calibration Laboratories. The Romanian Standardization Institute: Bucharest, Romania, 2018.
- Bejinariu, C.; Darabont, D.C.; Baciu, E.R.; Ionita, I.; Sava, M.A.B.; Baciu, C. Considerations on the Method for Self Assessment of Safety at Work. Environ. Eng. Manag. J. 2017, 16, 1395–1400. [Google Scholar]
- Pedrosa, M.; Silva, D.; Brito, I.; Alves, R.; Caluête, R.; Gomes, R.; Oliveira, D. Effects of hot rolling on the microstructure, thermal and mechanical properties of CuAlBeNbNi shape memory alloy. Thermochim. Acta 2022, 711, 179188. [Google Scholar] [CrossRef]
- Montecinos, S.; Cuniberti, A. Effects of grain size on plastic deformation in a β CuAlBe shape memory alloy. Mater. Sci. Eng. A 2014, 600, 176–180. [Google Scholar] [CrossRef]
- Montecinos, S.; Simison, S. Corrosion behavior of Cu-Al-Be shape memory alloys with different compositions and microstructures. Corros. Sci. 2013, 74, 387–395. [Google Scholar] [CrossRef]
- Darabont, D.-C.; Moraru, R.I.; Antonov, A.E.; Bejinariu, C. Managing new and emerging risks in the context of ISO 45001 standard. Qual.-Access Success 2017, 18, 11–14. [Google Scholar]
- Aksu Canbay, C.; Aydoğdu, A. Thermal analysis of Cu-14.82 wt% Al-0.4 wt% Be shape memory alloy. J. Therm. Anal. Calorim. 2013, 113, 731–737. [Google Scholar] [CrossRef]
- Canbay, C.A.; Karaduman, O.; Özkul, İ. Investigation of varied quenching media effects on the thermodynamical and structural features of a thermally aged CuAlFeMn HTSMA. Phys. B Cond. Matt. 2019, 557, 117–125. [Google Scholar] [CrossRef]
- Desroches, R.; Smith, B. Shape memory alloys in seismic resistant design and retrofit: A critical review of their potential and limitations. J. Earthq. Eng. 2003, 7, 1–15. [Google Scholar] [CrossRef]
- Jani, J.M.; Leary, M.; Subic, A.; Gibson, M.A. A review of shape memory alloy research, applications and opportunities. Mater. Des. 2014, 56, 1078–1113. [Google Scholar] [CrossRef]
- Montecinos, S.; Simison, S.N. Study of the corrosion products formed on a multi-phase CuAlBe alloy in a sodium chloride solution by micro-Raman and in situ AFM measurements. Appl. Surf. Sci. 2011, 257, 7732–7738. [Google Scholar] [CrossRef]
- Montecinos, S.; Klímek, P.; Sláma, M.; Suarez, S.; Simison, S. Corrosion behavior of a β CuAlBe shape memory alloy containing stress induced martensite. Appl. Surf. Sci. 2018, 466, 165–170. [Google Scholar] [CrossRef]
- Kear, G.; Barker, B.D.; Walsh, F.C. Electrochemical corrosion of unalloyed copper in chloride media—A critical review. Corros. Sci. 2004, 46, 109–135. [Google Scholar] [CrossRef]
- Hrituc, A.; Ermolai, V.; Mihalache, A.M.; Andrusca, L.; Dodun, O.; Nagît, G.; Boca, M.A.; Slatineanu, L. Compressive Behavior of Some Balls Manufactured by 3D Printing from Ceramic-Polymer Composite Materials. Micromachines 2024, 15, 150. [Google Scholar] [CrossRef]
- Cimpoesu, N.; Axinte, M.; Hanu, R.C.; Nejneru, C.; Achitei, D.C.; Stanciu, S. Behavior simulation of a copper-based shape memory alloy under an external solicitation. JOAM 2010, 12, 1772–1776. [Google Scholar]
- Wasmer, P.M.; Mussot-Hoinard, G.; Berveiller, S.; Patoor, E.; Eberhardt, A. Kinetics of precipitation and mechanical behavior of CuAlBe single crystal drawn-wires. ESOMAT 2009, 2009, 06023. [Google Scholar]
- Montecinos, S.; Cuniberti, A.; Sepúlveda, A. Grain size and pseudoelastic behaviour of a Cu-Al-Be alloy. Mater. Charact. 2008, 59, 117–123. [Google Scholar] [CrossRef]
- Hautcoeur, A.; Eberhardt, A.; Patoor, E.; Berveiller, M. Thermomechanical behaviour of monocrystalline Cu-Al-Be shape memory alloys and determination of the me-tastable phase diagram. J. Phys. IV 1995, 5, 459–464. [Google Scholar]
- Hugo de Albuquerque, V.; Antonio de Melo, T.; Gomes, R.; Jackson de Lima, S.; Tavares, T.M. Grain size and temperature influence on the toughness of a CuAlBe shape memory alloy. Mater. Sci. Eng. A 2010, 528, 459–466. [Google Scholar] [CrossRef]
- De Oliveira, D.F.; De Lima, J.S.G.; Brito, I.C.A.; Gomes, R.M.; Melo, T.A. Mechanical strength evaluation of a CuAlBe shape memory alloy under different thermal conditions. MSF 2010, 643, 105–111. [Google Scholar] [CrossRef]
- Al-Haidary, J.T.; Mustafa, A.M.; Hamza, A.A. Effect of Heat Treatment of Cu-Al-Be Shape Memory Alloy on Microstructure, Shape Memory Effect and Hardness. J. Mat. Sci. Eng. 2017, 6, 6. [Google Scholar] [CrossRef]
Disclaimer/Publisher’s Note: The statements, opinions and data contained in all publications are solely those of the individual author(s) and contributor(s) and not of MDPI and/or the editor(s). MDPI and/or the editor(s) disclaim responsibility for any injury to people or property resulting from any ideas, methods, instructions or products referred to in the content. |
© 2024 by the authors. Licensee MDPI, Basel, Switzerland. This article is an open access article distributed under the terms and conditions of the Creative Commons Attribution (CC BY) license (https://creativecommons.org/licenses/by/4.0/).










