Corrosion Behavior of Coated Low Carbon Steel in a Simulated PEMFC Environment
Abstract
:1. Introduction
2. Materials and Methods
2.1. Materials and Deposition Process
2.2. Characterization of Protective Coatings
3. Results and Discussions
3.1. Microstructure and EDX Analysis of Cladded Coatings
3.2. Microhardness of the Coatings
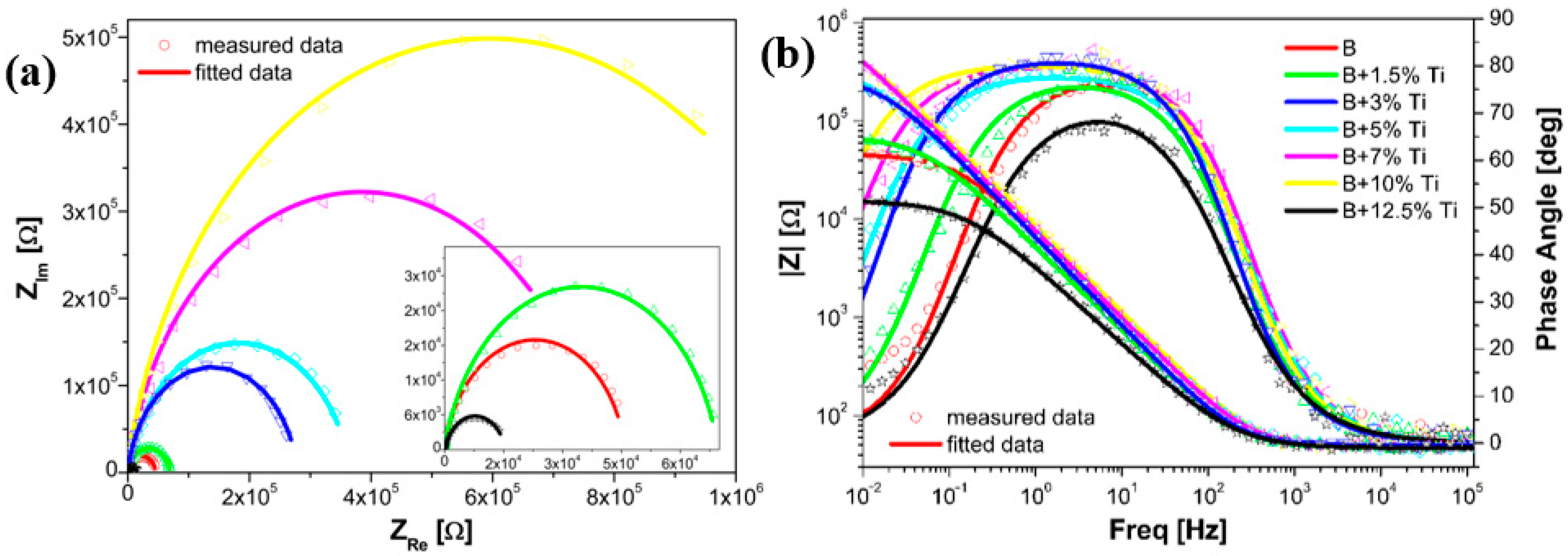
3.3. Electrochemical Evaluation before the Durability Test
3.4. Potentiostatic Polarization
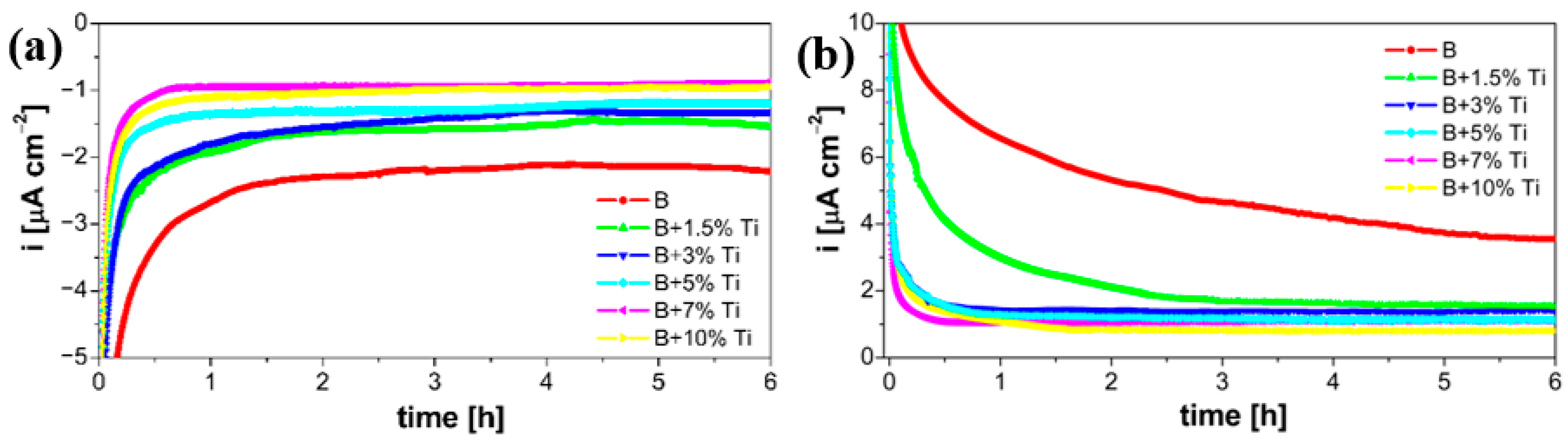
3.5. Electrochemical Evaluation after Durability Test
4. Conclusions
- The microstructural investigation revealed a dendritic structure for all of the laser cladded coatings. Furthermore, as the Ti content increased within the coating, the size of the dendrites increased. The formation of precipitates and secondary phases was detected by EDX analysis and it was observed that the number of hard phases and the TiC particle size increased with the increase in Ti content within the coatings. The number of hard phases had a direct influence on the hardness measurement; thus, the coating containing 12.5% Ti presented the highest values.
- From the EIS measurements and potentiodynamic polarization, before measuring the current transients, it was noticed that a high content of Ti within the NiCr-base coating could provide a better corrosion resistance, up to the addition of 10% wt Ti. The corrosion current density of all coatings up to the addition of 10% wt Ti was less than DOE’s 2020 target of 1 µA·cm−2.
- It was noticed that the coating with the addition of 12.5% Ti addition presented a lower corrosion resistance due to the micro-cracks formed due to residual stress, which might be attributed to the higher amount of Ti present in the coating.
- Potentiostatic polarization measurements revealed that the coating with 10 wt% Ti addition had the lowest and most stable current density in the PEMFC anodic and cathodic environments, respectively.
- After measuring the current transients of the laser-cladded samples, the EIS measurements and potentiodynamic polarization were repeated. The results revealed that even if the corrosion resistance decreased after the durability test, the corrosion current density for all of the coatings in both environments was less than DOE’s 2020 target of 1 µA·cm−2. In conclusion, from the above results, we can say that the coating with the addition of 10 wt% Ti had great potential as a BP material for PEMFC applications.
Author Contributions
Funding
Institutional Review Board Statement
Informed Consent Statement
Data Availability Statement
Conflicts of Interest
References
- Shilling, F. Greenhouse Gases; Facts on File: New York, NY, USA, 1995; Volume 375, ISBN 9780816072644. [Google Scholar]
- Dalal, R.C.; Allen, D.E. Turner Review No. 18. Greenhouse Gas Fluxes from Natural Ecosystems. Aust. J. Bot. 2008, 56, 369–407. [Google Scholar] [CrossRef]
- Ghommem, M.; Hajj, M.R.; Puri, I.K. Influence of Natural and Anthropogenic Carbon Dioxide Sequestration on Global Warming. Ecol. Modell. 2012, 235–236, 1–7. [Google Scholar] [CrossRef]
- Crosthwaite, J. Just Transition to a Sustainable Future without ‘Fossil’ Gas. In Ecological Economics: Solutions for the Future; Washington, H., Ed.; 2020; p. 240. ISBN 9798662828902. [Google Scholar]
- Cao, X.; Dai, X.; Liu, J. Building Energy-Consumption Status Worldwide and the State-of-the-Art Technologies for Zero-Energy Buildings during the Past Decade. Energy Build. 2016, 128, 198–213. [Google Scholar] [CrossRef]
- Parry, M.; Canziani, O.; Palutikof, J.; van der Linden, C.H.P. Climate Change 2007: Impacts, Adaptation and Vulnerability; Cambridge University Press: Cambridge, UK, 2007; ISBN 978 0521 88010-7. [Google Scholar]
- Sharma, P.; Pandey, O.P. Proton Exchange Membrane Fuel Cells: Fundamentals, Advanced Technologies, and Practical Applications. PEM Fuel Cells Fundam. Adv. Technol. Pract. Appl. 2021, 1–24. [Google Scholar] [CrossRef]
- Ma, S.; Lin, M.; Lin, T.E.; Lan, T.; Liao, X.; Maréchal, F.; Van herle, J.; Yang, Y.; Dong, C.; Wang, L. Fuel Cell-Battery Hybrid Systems for Mobility and off-Grid Applications: A Review. Renew. Sustain. Energy Rev. 2021, 135, 110119. [Google Scholar] [CrossRef]
- Sapkota, P.; Boyer, C.; Dutta, R.; Cazorla, C.; Aguey-Zinsou, K.F. Planar Polymer Electrolyte Membrane Fuel Cells: Powering Portable Devices from Hydrogen. Sustain. Energy Fuels 2020, 4, 439–468. [Google Scholar] [CrossRef]
- Jemeï, S. Hybridization, Diagnostic and Prognostic of Proton Exchange Membrane Fuel Cells; Wiley: Hoboken, NJ, USA, 2018; ISBN 978-1-78630-167-3. [Google Scholar]
- Manso, A.P.; Marzo, F.F.; Garicano, X.; Alegre, C.; Lozano, A.; Barreras, F. Corrosion Behavior of Tantalum Coatings on AISI 316L Stainless Steel Substrate for Bipolar Plates of PEM Fuel Cells. Int. J. Hydrogen Energy 2020, 45, 20679–20691. [Google Scholar] [CrossRef]
- Khosravi, H.S.; Abbas, Q.; Reichmann, K. Electrochemical Aspects of Interconnect Materials in PEMFCs. Int. J. Hydrogen Energy 2021, 46, 35420–35447. [Google Scholar] [CrossRef]
- Asri, N.F.; Husaini, T.; Sulong, A.B.; Majlan, E.H.; Daud, W.R.W. Coating of Stainless Steel and Titanium Bipolar Plates for Anticorrosion in PEMFC: A Review. Int. J. Hydrogen Energy 2017, 42, 9135–9148. [Google Scholar] [CrossRef]
- Wang, L.; Sun, J.; Kang, B.; Li, S.; Ji, S.; Wen, Z.; Wang, X. Electrochemical Behaviour and Surface Conductivity of Niobium Carbide-Modified Austenitic Stainless Steel Bipolar Plate. J. Power Sources 2014, 246, 775–782. [Google Scholar] [CrossRef]
- Joseph, S.; McClure, J.C.; Sebastian, P.J.; Moreira, J.; Valenzuela, E. Polyaniline and Polypyrrole Coatings on Aluminum for PEM Fuel Cell Bipolar Plates. J. Power Sources 2008, 177, 161–166. [Google Scholar] [CrossRef]
- Bai, C.Y.; Wen, T.M.; Hou, K.H.; Ger, M. Der The Bipolar Plate of AISI 1045 Steel with Chromized Coatings Prepared by Low-Temperature Pack Cementation for Proton Exchange Membrane Fuel Cell. J. Power Sources 2010, 195, 779–786. [Google Scholar] [CrossRef]
- Bai, C.Y.; Wen, T.M.; Hou, K.H.; Pu, N.W.; Ger, M. Der The Characteristics and Performance of AISI 1045 Steel Bipolar Plates with Chromized Coatings for Proton Exchange Membrane Fuel Cells. Int. J. Hydrogen Energy 2011, 36, 3975–3983. [Google Scholar] [CrossRef]
- Chiang, T.Y.; Ay-Su; Tsai, L.C.; Lee, H.B.; Lin, C.Y.; Sheu, H.H.; Chang, C.C. Effect of Metal Bipolar Plate Channel Fabrication on Electroplating—Using Nickel Electroplating of AISI 1045 Channel Substrate as an Example. Int. J. Electrochem. Sci. 2015, 10, 1926–1939. [Google Scholar]
- Wang, S.H.; Peng, J.; Lui, W.B. Surface Modification and Development of Titanium Bipolar Plates for PEM Fuel Cells. J. Power Sources 2006, 160, 485–489. [Google Scholar] [CrossRef]
- Lin, C.H.; Tsai, S.Y. An Investigation of Coated Aluminium Bipolar Plates for PEMFC. Appl. Energy 2012, 100, 87–92. [Google Scholar] [CrossRef]
- Nikam, V.V.; Reddy, R.G. Corrosion Studies of a Copper-Beryllium Alloy in a Simulated Polymer Electrolyte Membrane Fuel Cell Environment. J. Power Sources 2005, 152, 146–155. [Google Scholar] [CrossRef]
- Wang, H.; Turner, J.A. Reviewing Metallic PEMFC Bipolar Plates. Fuel Cells 2010, 10, 510–519. [Google Scholar] [CrossRef]
- Silva, R.F.; Franchi, D.; Leone, A.; Pilloni, L.; Masci, A.; Pozio, A. Surface Conductivity and Stability of Metallic Bipolar Plate Materials for Polymer Electrolyte Fuel Cells. Electrochim. Acta 2006, 51, 3592–3598. [Google Scholar] [CrossRef]
- Pozio, A.; Zaza, F.; Masci, A.; Silva, R.F. Bipolar Plate Materials for PEMFCs: A Conductivity and Stability Study. J. Power Sources 2008, 179, 631–639. [Google Scholar] [CrossRef]
- Bai, C.Y.; Der Ger, M.; Wu, M.S. Corrosion Behaviors and Contact Resistances of the Low-Carbon Steel Bipolar Plate with a Chromized Coating Containing Carbides and Nitrides. Int. J. Hydrogen Energy 2009, 34, 6778–6789. [Google Scholar] [CrossRef]
- Avram, D.N.; Davidescu, C.M.; Dan, M.L.; Mirza-Rosca, J.C.; Hulka, I.; Pascu, A.; Stanciu, E.M. Electrochemical Evaluation of Protective Coatings with Ti Additions on Mild Steel Substrate with Potential Application for PEM Fuel Cells. Materials 2022, 15, 5364. [Google Scholar] [CrossRef] [PubMed]
- Avram, D.N.; Davidescu, C.M.; Dan, M.L.; Mirza-Rosca, J.C.; Hulka, I.; Stanciu, E.M.; Pascu, A. Corrosion Resistance of NiCr(Ti) Coatings for Metallic Bipolar Plates. Mater. Today Proc. 2023, 72, 538–543. [Google Scholar] [CrossRef]
- Scendo, M.; Staszewska-Samson, K.; Danielewski, H. Corrosion Behavior of Inconel 625 Coating Produced by Laser Cladding. Coatings 2021, 11, 759. [Google Scholar] [CrossRef]
- Lædre, S.; Kongstein, O.E.; Oedegaard, A.; Seland, F.; Karoliussen, H. The Effect of PH and Halides on the Corrosion Process of Stainless Steel Bipolar Plates for Proton Exchange Membrane Fuel Cells. Int. J. Hydrogen Energy 2012, 37, 18537–18546. [Google Scholar] [CrossRef]
- Feng, K.; Wu, G.; Li, Z.; Cai, X.; Chu, P.K. Corrosion Behavior of SS316L in Simulated and Accelerated PEMFC Environments. Int. J. Hydrogen Energy 2011, 36, 13032–13042. [Google Scholar] [CrossRef]
- Hinds, G.; Brightman, E. Towards More Representative Test Methods for Corrosion Resistance of PEMFC Metallic Bipolar Plates. Int. J. Hydrogen Energy 2015, 40, 2785–2791. [Google Scholar] [CrossRef]
- Material Product Data Sheet Nickel-Based Superalloy Powders for Laser Cladding and Laser-Additive Manufacturing. Available online: https://www.oerlikon.com/am/en/about-us/media/oerlikon-metco-offers-materials-newly-optimized-for-additive-manufacturing-applications/ (accessed on 24 September 2021).
- Facts, Q.; Temperature, S.; Spray, C.; Isostatic, H. Material Product Data Sheet Pure Titanium and Titanium Alloy Powders. Available online: https://www.oerlikon.com/ecoma/files/DSM-0222.0_Ti-Ti_Alloys.pdf (accessed on 18 October 2022).
- Materials Database. Available online: https://matmatch.com/materials/minfc37596-sae-j403-grade-1010 (accessed on 18 October 2022).
- Illana, A.; de Miguel, M.T.; García-Martín, G.; Gonçalves, F.P.; Sousa, M.G.; Pérez, F.J. Experimental Study on Steam Oxidation Resistance at 600 °C of Inconel 625 Coatings Deposited by HVOF and Laser Cladding. Surf. Coat. Technol. 2022, 451, 129081. [Google Scholar] [CrossRef]
- Hulka, I.; Utu, D.; Serban, V.A.; Negrea, P.; Lukáč, F.; Chráska, T. Effect of Ti Addition on Microstructure and Corrosion Properties of Laser Cladded WC-Co/NiCrBSi(Ti) Coatings. Appl. Surf. Sci. 2020, 504, 144349. [Google Scholar] [CrossRef]
- Lei, Y.; Sun, R.; Tang, Y.; Niu, W. Numerical Simulation of Temperature Distribution and TiC Growth Kinetics for High Power Laser Clad TiC/NiCrBSiC Composite Coatings. Opt. Laser Technol. 2012, 44, 1141–1147. [Google Scholar] [CrossRef]
- Avram, D.N.; Davidescu, C.M.; Dan, M.L.; Stanciu, E.M.; Pascu, A.; Mirza-Rosca, J.C.; Iosif, H. Influence of titanium additions on the electrochemical behaviour of Nicr/Ti laser cladded coatings. Ann. “Dunarea Jos” Univ. Galati, Fascicle XII Weld. Equip. Technol. 2022, 33, 107–111. [Google Scholar] [CrossRef]
- Uebing, S.; Brands, D.; Scheunemann, L.; Schröder, J. Residual Stresses in Hot Bulk Formed Parts: Two-Scale Approach for Austenite-to-Martensite Phase Transformation. Arch. Appl. Mech. 2021, 91, 545–562. [Google Scholar] [CrossRef]











| Samples | icorr [μA·cm−2] | Ecorr [mV/Ag/AgCl] | −bc [mV·dec−1] | ba [mV·dec−1] | Rp [kΩ·cm2] |
|---|---|---|---|---|---|
| Substrate | 2.814 | −689 | 243 | 58 | 7 |
| B | 0.353 | −158 | 292 | 176 | 135 |
| B + 1.5% Ti | 0.235 | −165 | 257 | 144 | 171 |
| B + 3% Ti | 0.116 | −179 | 212 | 178 | 362 |
| B + 5% Ti | 0.075 | −199 | 198 | 168 | 526 |
| B + 7% Ti | 0.050 | −221 | 184 | 152 | 723 |
| B + 10% Ti | 0.042 | −241 | 203 | 121 | 784 |
| B + 12.5% Ti | 1.191 | −342 | 176 | 150 | 30 |
| Samples | Rs [Ω·cm−2] | Y0 [S·cm−2·sn] | n | Rct [Ω·cm−2] | Chi |
|---|---|---|---|---|---|
| B | 47.56 | 2.93 × 10−5 | 0.87 | 4.64 × 104 | 5.83 × 10−3 |
| B + 1.5% Ti | 46.87 | 3.02 × 10−5 | 0.88 | 6.92 × 104 | 4.77 × 10−3 |
| B + 3% Ti | 49.50 | 3.33 × 10−5 | 0.90 | 9.98 × 104 | 4.95 × 10−3 |
| B + 5% Ti | 47.12 | 3.64 × 10−5 | 0.91 | 2.65 × 105 | 6.40 × 10−3 |
| B + 7% Ti | 47.77 | 3.87 × 10−5 | 0.92 | 7.07 × 105 | 4.84 × 10−3 |
| B + 10% Ti | 47.08 | 4.91 × 10−5 | 0.92 | 7.95 × 105 | 7.12 × 10−3 |
| B + 12.5% Ti | 47.41 | 1.66 × 10−4 | 0.84 | 3.85 × 104 | 4.14 × 10−3 |
| Samples | icorr [μA·cm−2] | Ecorr [mV/Ag/AgCl] | -bc [mV·dec−1] | ba [mV·dec−1] | Rp [kΩ·cm2] |
|---|---|---|---|---|---|
| Cathodic environment | |||||
| B | 0.477 | −315 | 182 | 134 | 70 |
| B + 1.5% Ti | 0.363 | −308 | 176 | 122 | 86 |
| B + 3% Ti | 0.232 | −298 | 183 | 130 | 142 |
| B + 5% Ti | 0.193 | −276 | 188 | 119 | 164 |
| B + 7% Ti | 0.161 | −245 | 186 | 123 | 200 |
| B + 10% Ti | 0.149 | −236 | 172 | 120 | 206 |
| Anodic environment | |||||
| B | 0.868 | −320 | 178 | 122 | 36 |
| B + 1.5% Ti | 0.623 | −312 | 191 | 120 | 51 |
| B + 3% Ti | 0.468 | −305 | 179 | 118 | 65 |
| B + 5% Ti | 0.213 | −268 | 162 | 115 | 137 |
| B + 7% Ti | 0.185 | −236 | 174 | 123 | 169 |
| B + 10% Ti | 0.177 | −227 | 176 | 117 | 173 |
| Samples | Rs [Ω·cm−2] | Y0 [S·cm−2·sn] | n | Rct [Ω·cm−2] | Chi |
|---|---|---|---|---|---|
| Cathodic environment | |||||
| B | 55.61 | 6.17 × 10−4 | 0.85 | 2.18 × 104 | 1.02 × 10−3 |
| B + 1.5% Ti | 53.42 | 6.55 × 10−4 | 0.85 | 2.71 × 104 | 2.73 × 10−3 |
| B + 3% Ti | 48.13 | 7.39 × 10−4 | 0.87 | 3.29 × 104 | 1.91 × 10−3 |
| B + 5% Ti | 47.92 | 7.75 × 10−4 | 0.88 | 1.35 × 105 | 2.09 × 10−3 |
| B + 7% Ti | 47.65 | 8.36 × 10−4 | 0.89 | 1.87 × 105 | 1.78 × 10−3 |
| B + 10% Ti | 47.35 | 9.47 × 10−4 | 0.90 | 2.55 × 105 | 1.53 × 10−3 |
| Anodic environment | |||||
| B | 46.93 | 2.68 × 10−4 | 0.77 | 1.16 × 104 | 2.42 × 10−3 |
| B + 1.5% Ti | 49.87 | 2.87 × 10−4 | 0.82 | 1.41 × 104 | 2.46 × 10−3 |
| B + 3% Ti | 48.51 | 2.96 × 10−4 | 0.87 | 1.86 × 104 | 4.32 × 10−3 |
| B + 5% Ti | 47.43 | 3.11 × 10−4 | 0.89 | 1.98 × 104 | 3.05 × 10−3 |
| B + 7% Ti | 47.58 | 3.14 × 10−4 | 0.90 | 2.04 × 104 | 2.91 × 10−3 |
| B + 10% Ti | 46.62 | 3.53 × 10−4 | 0.91 | 2.33 × 104 | 3.73 × 10−3 |
Disclaimer/Publisher’s Note: The statements, opinions and data contained in all publications are solely those of the individual author(s) and contributor(s) and not of MDPI and/or the editor(s). MDPI and/or the editor(s) disclaim responsibility for any injury to people or property resulting from any ideas, methods, instructions or products referred to in the content. |
© 2023 by the authors. Licensee MDPI, Basel, Switzerland. This article is an open access article distributed under the terms and conditions of the Creative Commons Attribution (CC BY) license (https://creativecommons.org/licenses/by/4.0/).
Share and Cite
Avram, D.N.; Davidescu, C.M.; Hulka, I.; Dan, M.L.; Stanciu, E.M.; Pascu, A.; Mirza-Rosca, J.C. Corrosion Behavior of Coated Low Carbon Steel in a Simulated PEMFC Environment. Materials 2023, 16, 3056. https://doi.org/10.3390/ma16083056
Avram DN, Davidescu CM, Hulka I, Dan ML, Stanciu EM, Pascu A, Mirza-Rosca JC. Corrosion Behavior of Coated Low Carbon Steel in a Simulated PEMFC Environment. Materials. 2023; 16(8):3056. https://doi.org/10.3390/ma16083056
Chicago/Turabian StyleAvram, Diana Nicoleta, Corneliu Mircea Davidescu, Iosif Hulka, Mircea Laurentiu Dan, Elena Manuela Stanciu, Alexandru Pascu, and Julia Claudia Mirza-Rosca. 2023. "Corrosion Behavior of Coated Low Carbon Steel in a Simulated PEMFC Environment" Materials 16, no. 8: 3056. https://doi.org/10.3390/ma16083056
APA StyleAvram, D. N., Davidescu, C. M., Hulka, I., Dan, M. L., Stanciu, E. M., Pascu, A., & Mirza-Rosca, J. C. (2023). Corrosion Behavior of Coated Low Carbon Steel in a Simulated PEMFC Environment. Materials, 16(8), 3056. https://doi.org/10.3390/ma16083056

