Molecular Dynamics Simulation and the Regeneration and Diffusion Effects of Waste Engine Oil in Aged Asphalt Binder
Abstract
1. Introduction
2. Objective and Scope
3. Molecular Models and Simulation Details
3.1. Construction of Simulation Models
3.1.1. Asphalt Binder Models
3.1.2. WEO Models
3.1.3. WEO-Rejuvenated Models
3.1.4. Mutual Diffusion Models
3.2. Simulation Details
4. Results and Discussion
4.1. Rejuvenation Effect on WEO
4.1.1. Molecular Density
4.1.2. Glass Transition Temperature
4.1.3. Cohesive Energy Density, Solubility Parameter, and Viscosity
4.1.4. Surface Free Energy
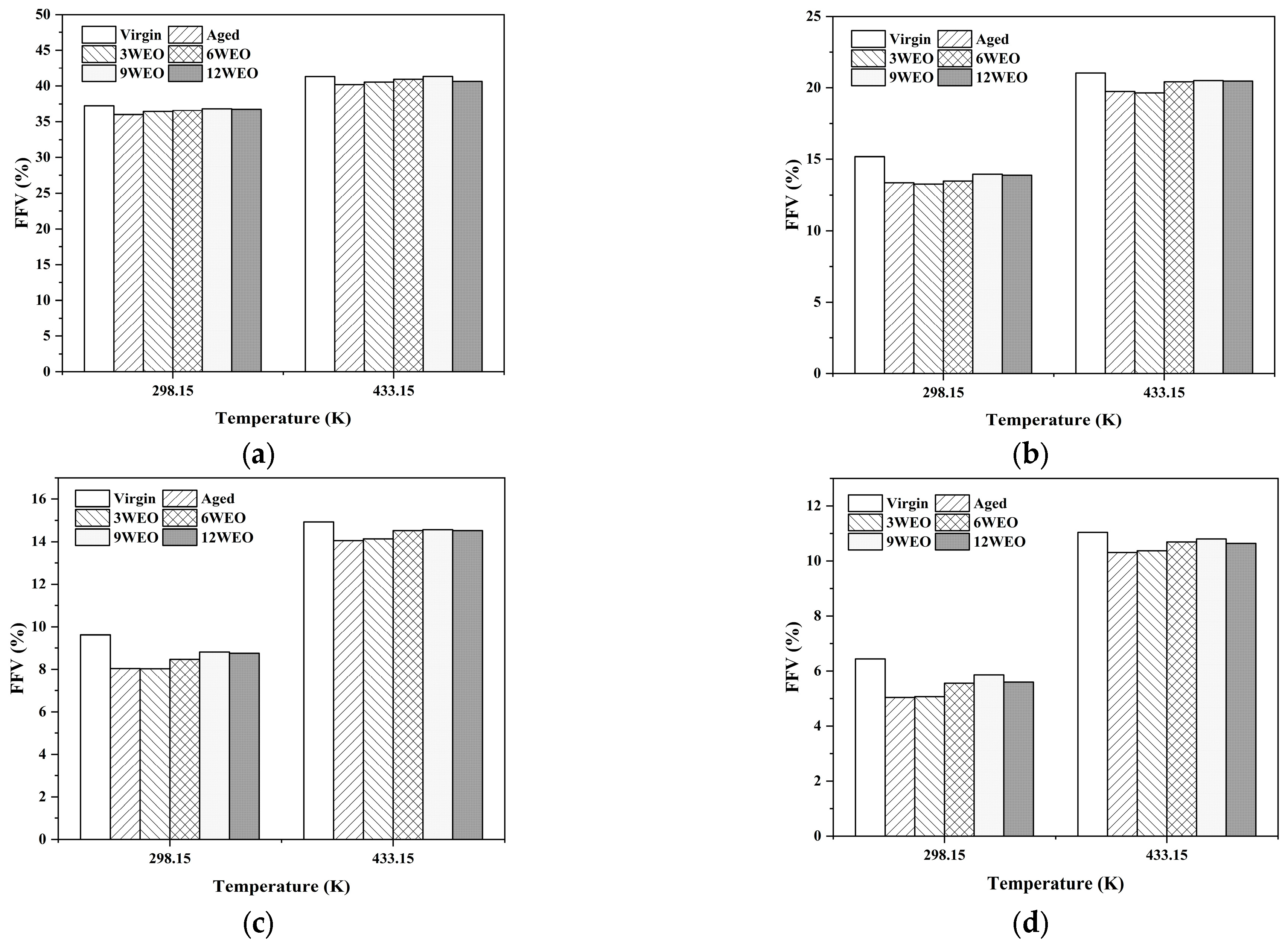
4.1.5. Fractional Free Volume
4.1.6. Diffusion Coefficient
4.1.7. Correlation Coefficient Matrix
4.2. Diffusion Effect and WEO
4.2.1. Relative Concentration Analysis
4.2.2. Binding Energy
5. Conclusions
- (1)
- The incorporation of WEO into the aged asphalt binder effectively decreased its density. This rejuvenation also led to a noticeable reduction in the glass transition temperature (Tg), enhancing the asphalt binder’s performance under lower temperature conditions.
- (2)
- WEO could reduce the cohesive energy density (CED), solubility parameter (δ), and viscosity (η) of the aged asphalt binder. Moreover, WEO significantly restored the surface free energy (γa) and cohesive work (Waa) of aged asphalt binder, effectively restoring its cracking resistance to match that of virgin asphalt binder.
- (3)
- The addition of WEO enriched the light components in the aged asphalt binder, improving its diffusion coefficient (D) by increasing the fractional free volume (FFV). However, WEO could not fully return its diffusion properties to the virgin binder levels, and too much WEO diminished its effectiveness in improving the aged binder’s D value.
- (4)
- The mutual diffusion models highlighted the positive impact of WEO on promoting the integration of aged and virgin asphalt molecules. An increase in the binding energy was observed with the addition of WEO, indicating enhanced compatibility between different asphalt molecules.
- (5)
- Although the level of diffusion and bonding strength in the mutual diffusion models increased with the addition of WEO, excessive WEO content weakened the regenerative performance of aged asphalt binder. Therefore, the WEO content in practical applications should not exceed 9%.
Author Contributions
Funding
Institutional Review Board Statement
Informed Consent Statement
Data Availability Statement
Conflicts of Interest
References
- Hemmat Esfe, M.; Arani, A.A.A.; Esfandeh, S.; Afrand, M. Proposing new hybrid nano-engine oil for lubrication of internal combustion engines: Preventing cold start engine damages and saving energy. Energy 2019, 170, 228–238. [Google Scholar] [CrossRef]
- Ali, M.K.A.; Hou, X.J. Improving the tribological behavior of internal combustion engines via the addition of nanoparticles to engine oils. Nanotechnol. Rev. 2015, 4, 347–358. [Google Scholar] [CrossRef]
- Dörr, N.; Agocs, A.; Besser, C.; Ristic, A.; Frauscher, M. Engine Oils in the Field: A Comprehensive Chemical Assessment of Engine Oil Degradation in a Passenger Car. Tribol. Lett. 2019, 67, 68. [Google Scholar] [CrossRef]
- Wei, L.; Duan, H.T.; Jin, Y.L.; Jia, D.; Cheng, B.X.; Liu, J.F.; Li, J. Motor oil degradation during urban cycle road tests. Friction 2021, 9, 1002–1011. [Google Scholar] [CrossRef]
- David, B.; Mike, S. It’s 2024, How Many Cars Are There in the World? Available online: https://www.whichcar.com.au/news/how-many-cars-are-there-in-the-world (accessed on 9 February 2024).
- Mordor Intelligence. Engine Oil Market Size & Share Analysis–Growth Trends & Forecasts (2024–2029). Available online: https://www.mordorintelligence.com/industry-reports/engine-oil-market (accessed on 26 June 2023).
- Hussain, A.Z.; Santhoshkumar, A.; Ramanathan, A. Assessment of pyrolysis waste engine oil as an alternative fuel source for diesel engine. J. Therm. Anal. Calorim. 2020, 141, 2277–2293. [Google Scholar] [CrossRef]
- Mishra, A.; Siddiqi, H.; Kumari, U.; Behera, I.D.; Mukherjee, S.; Meikap, B.C. Pyrolysis of waste lubricating oil/waste motor oil to generate high-grade fuel oil: A comprehensive review. Renew. Sustain. Energy Rev. 2021, 150, 111446. [Google Scholar] [CrossRef]
- Hisham, S.; Kadirgama, K.; Ramasamy, D.; Noor, M.M.; Amirruddin, A.K.; Najafi, G.; Rahman, M.M. Waste cooking oil blended with the engine oil for reduction of friction and wear on piston skirt. Fuel 2017, 205, 247–261. [Google Scholar] [CrossRef]
- Usman, M.; Jamil, M.K.; Riaz, F.; Hussain, H.; Hussain, G.; Shah, M.H.; Qyyum, M.A.; Salman, C.A.; Lee, M. Refining and Reuse of Waste Lube Oil in SI Engines: A Novel Approach for a Sustainable Environment. Energies 2021, 14, 2937. [Google Scholar] [CrossRef]
- Sam, S.S.; Habib, N.Z.; Aun, N.C.; Yong, C.S.; Bashir, M.J.K.; Ping, T.W. Blended waste oil as alternative binder for the production of environmental friendly roofing tiles. J. Clean. Prod. 2020, 258, 120937. [Google Scholar] [CrossRef]
- Hugener, M.; Wang, D.; Cannone Falchetto, A.; Porot, L.; De Maeijer, P.K.; Oreskovic, M.; Sa-da-Costa, M.; Tabatabaee, H.; Bocci, E.; Kawakami, A.; et al. Recommendation of RILEM TC 264 RAP on the evaluation of asphalt recycling agents for hot mix asphalt. Mater. Struct. 2022, 55, 31. [Google Scholar] [CrossRef]
- Wang, D.; Riccardi, C.; Jafari, B.; Cannone Falchetto, A.; Wistuba, M.P. Investigation on the effect of high amount of Re-recycled RAP with Warm mix asphalt (WMA) technology. Constr. Build. Mater. 2021, 312, 125395. [Google Scholar] [CrossRef]
- Sabhafer, N.; Hossain, M. Effect of Asphalt Rejuvenating Agent on Cracking Properties of Aged Reclaimed Asphalt Pavement. In Airfield and Highway Pavements 2017: Testing and Characterization of Bound and Unbound Pavement Materials; American Society of Civil Engineers: Reston, VA, USA, 2017; pp. 201–214. [Google Scholar]
- Liu, S.J.; Peng, A.H.; Wu, J.T.; Zhou, S.B. Waste engine oil influences on chemical and rheological properties of different asphalt binders. Constr. Build. Mater. 2018, 191, 1210–1220. [Google Scholar] [CrossRef]
- Villanueva, A.; Ho, S.; Zanzotto, L. Asphalt modification with used lubricating oil. Can. J. Civ. Eng. 2008, 35, 148–157. [Google Scholar] [CrossRef]
- El-Shorbagy, A.M.; El-Badawy, S.M.; Gabr, A.R. Investigation of waste oils as rejuvenators of aged bitumen for sustainable pavement. Constr. Build. Mater. 2019, 220, 228–237. [Google Scholar] [CrossRef]
- Qurashi, I.A.; Swamy, A.K. Viscoelastic properties of recycled asphalt binder containing waste engine oil. J. Clean. Prod. 2018, 182, 992–1000. [Google Scholar] [CrossRef]
- Singhabhandhu, A.; Tezuka, T. The waste-to-energy framework for integrated multi-waste utilization: Waste cooking oil, waste lubricating oil, and waste plastics. Energy 2010, 35, 2544–2551. [Google Scholar] [CrossRef]
- Chen, A.Q.; Hu, Z.; Li, M.L.; Bai, T.; Xie, G.J.; Zhang, Y.X.; Li, Y.Y.; Li, C. Investigation on the mechanism and performance of asphalt and its mixture regenerated by waste engine oil. Constr. Build. Mater. 2021, 313, 125411. [Google Scholar] [CrossRef]
- Farooq, M.A.; Mir, M.S.; Sharma, A. Laboratory study on use of RAP in WMA pavements using rejuvenator. Constr. Build. Mater. 2018, 168, 61–72. [Google Scholar] [CrossRef]
- Eltwati, A.S.; Enieb, M.; Al-Saffar, Z.H.; Mohamed, A. Effect of glass fibers and waste engine oil on the properties of RAP asphalt concretes. Int. J. Pavement Eng. 2022, 23, 5227–5238. [Google Scholar] [CrossRef]
- Mohammadi, S.; Solatifar, N. Optimized Preparation and High-Temperature Performance of Composite-Modified Asphalt Binder with CR and WEO. J. Mater. Civ. Eng. 2023, 35, 04022395. [Google Scholar] [CrossRef]
- Mensching, D.J.; Andriescu, A.; DeCarlo, C.; Li, X.J.; Youtcheff, J.S. Effect of Extended Aging on Asphalt Materials Containing Re-Refined Engine Oil Bottoms. Transp. Res. Rec. 2017, 2632, 60–69. [Google Scholar] [CrossRef]
- Zou, G.L.; Zhang, J.J.; Li, Y.Y.; Lin, Z.P. Quantitative characterize binder blending and diffusion in recycled asphalt mixture: An environmental-friendly solution using wooden cube and 3D fluorescence image technology. J. Clean. Prod. 2021, 293, 126204. [Google Scholar] [CrossRef]
- Zhang, J.J.; Zou, G.L.; Tan, Y.Q.; Liu, X.H.; Li, G.N.; Zhang, C. Investigating the effect of preheating conditions and size effect on asphalt blending in recycled asphalt mixture: New approach based on artificial aggregate and laser scanning confocal microscopy. Constr. Build. Mater. 2022, 353, 129094. [Google Scholar] [CrossRef]
- Sun, D.Q.; Sun, G.Q.; Zhu, X.Y.; Pang, Q.; Yu, F.; Lin, T.B. Identification of wetting and molecular diffusion stages during self-healing process of asphalt binder via fluorescence microscope. Constr. Build. Mater. 2017, 132, 230–239. [Google Scholar] [CrossRef]
- Ding, Y.J.; Huang, B.S.; Shu, X. Blending efficiency evaluation of plant asphalt mixtures using fluorescence microscopy. Constr. Build. Mater. 2018, 161, 461–467. [Google Scholar] [CrossRef]
- Schneider, M.H.; Andrews, A.B.; Mitra-Kirtley, S.; Mullins, O.C. Asphaltene molecular size by fluorescence correlation Spectroscopy. Energy Fuels 2007, 21, 2875–2882. [Google Scholar] [CrossRef]
- Chen, A.Q.; Liu, G.Q.; Zhao, Y.L.; Li, J.; Pan, Y.Y.; Zhou, J. Research on the aging and rejuvenation mechanisms of asphalt using atomic force microscopy. Constr. Build. Mater. 2018, 167, 177–184. [Google Scholar] [CrossRef]
- Ma, W.B.; Huang, T.B.; Guo, S.C.; Yang, C.A.; Ding, Y.H.; Hu, C. Atomic force microscope study of the aging/rejuvenating effect on asphalt morphology and adhesion performance. Constr. Build. Mater. 2019, 205, 642–655. [Google Scholar] [CrossRef]
- Chen, Z.X.; Pei, J.Z.; Li, R.; Xiao, F.P. Performance characteristics of asphalt materials based on molecular dynamics simulation—A review. Constr. Build. Mater. 2018, 189, 695–710. [Google Scholar] [CrossRef]
- Yao, H.; Dai, Q.L.; You, Z.P. Molecular dynamics simulation of physicochemical properties of the asphalt model. Fuel 2016, 164, 83–93. [Google Scholar] [CrossRef]
- You, L.Y.; Spyriouni, T.; Dai, Q.L.; You, Z.P.; Khanal, A. Experimental and molecular dynamics simulation study on thermal, transport, and rheological properties of asphalt. Constr. Build. Mater. 2020, 265, 120358. [Google Scholar] [CrossRef]
- Yao, H.; Dai, Q.L.; You, Z.P.; Bick, A.; Wang, M. Modulus simulation of asphalt binder models using Molecular Dynamics (MD) method. Constr. Build. Mater. 2018, 162, 430–441. [Google Scholar] [CrossRef]
- Pan, J.L.; Tarefder, R.A. Investigation of asphalt aging behaviour due to oxidation using molecular dynamics simulation. Mol. Simul. 2016, 42, 667–678. [Google Scholar] [CrossRef]
- Luo, L.; Chu, L.J.; Fwa, T.F. Molecular dynamics analysis of oxidative aging effects on thermodynamic and interfacial bonding properties of asphalt mixtures. Constr. Build. Mater. 2021, 269, 121299. [Google Scholar] [CrossRef]
- Cao, W.; Fini, E. A Molecular Dynamics Approach to the Impacts of Oxidative Aging on the Engineering Characteristics of Asphalt. Polymers 2022, 14, 2916. [Google Scholar] [CrossRef] [PubMed]
- Yan, S.; Dong, Q.; Chen, X.Q.; Wang, X.; Shi, B.; Yao, K. Study on inherent characteristics of asphalt regenerating agents: Insights from density functional theory calculations and molecular dynamics simulations. Constr. Build. Mater. 2024, 411, 134390. [Google Scholar] [CrossRef]
- Xu, M.; Yi, J.Y.; Feng, D.C.; Huang, Y.D. Diffusion characteristics of asphalt rejuvenators based on molecular dynamics simulation. Int. J. Pavement Eng. 2019, 20, 615–627. [Google Scholar] [CrossRef]
- Zhan, Y.Q.; Wu, H.; Song, W.M.; Zhu, L. Molecular Dynamics Study of the Diffusion between Virgin and Aged Asphalt Binder. Coatings 2022, 12, 403. [Google Scholar] [CrossRef]
- Ding, Y.J.; Huang, B.S.; Shu, X.; Zhang, Y.Z.; Woods, M.E. Use of molecular dynamics to investigate diffusion between virgin and aged asphalt binders. Fuel 2016, 174, 267–273. [Google Scholar] [CrossRef]
- Sun, W.; Wang, H. Molecular dynamics simulation of diffusion coefficients between different types of rejuvenator and aged asphalt binder. Int. J. Pavement Eng. 2020, 21, 966–976. [Google Scholar] [CrossRef]
- Li, D.D.; Greenfield, M.L. Chemical compositions of improved model asphalt systems for molecular simulations. Fuel 2014, 115, 347–356. [Google Scholar] [CrossRef]
- Fallah, F.; Khabaz, F.; Kim, Y.R.; Kommidi, S.R.; Haghshenas, H.F. Molecular dynamics modeling and simulation of bituminous binder chemical aging due to variation of oxidation level and saturate-aromatic-resin-asphaltene fraction. Fuel 2019, 237, 71–80. [Google Scholar] [CrossRef]
- Hou, X.D.; Xiao, F.P.; Wang, J.G.; Amirkhanian, S. Identification of asphalt aging characterization by spectrophotometry technique. Fuel 2018, 226, 230–239. [Google Scholar] [CrossRef]
- Poulikakos, L.D.; Hofko, B.; Cannone Falchetto, A.; Porot, L.; Ferrotti, G.; Grenfell, J. Recommendations of RILEM TC 252-CMB: Relationship between laboratory short-term aging and performance of asphalt binder. Mater. Struct. 2019, 52, 69. [Google Scholar] [CrossRef]
- Wang, D.; Cannone Falchetto, A.; Poulikakos, L.; Hofko, B.; Porot, L. RILEM TC 252-CMB report: Rheological modeling of asphalt binder under different short and long-term aging temperatures. Mater. Struct. 2019, 52, 73. [Google Scholar] [CrossRef]
- Cui, B.Y.; Gu, X.Y.; Hu, D.L.; Dong, Q. A multiphysics evaluation of the rejuvenator effects on aged asphalt using molecular dynamics simulations. J. Clean. Prod. 2020, 259, 120629. [Google Scholar] [CrossRef]
- Qu, X.; Liu, Q.; Guo, M.; Wang, D.W.; Oeser, M. Study on the effect of aging on physical properties of asphalt binder from a microscale perspective. Constr. Build. Mater. 2018, 187, 718–729. [Google Scholar] [CrossRef]
- Liu, S.J.; Peng, A.H.; Zhou, S.B.; Wu, J.T.; Xuan, W.A.; Liu, W. Evaluation of the ageing behaviour of waste engine oil-modified asphalt binders. Constr. Build. Mater. 2019, 223, 394–408. [Google Scholar] [CrossRef]
- Jia, X.Y.; Huang, B.S.; Bowers, B.F.; Zhao, S. Infrared spectra and rheological properties of asphalt cement containing waste engine oil residues. Constr. Build. Mater. 2014, 50, 683–691. [Google Scholar] [CrossRef]
- Walther, A.; Bchler, S.; Cannone Falchetto, A.; Wang, D.; Riccardi, C.; Wistuba, M.P. Experimental investigation on asphalt mixtures prepared with reclaimed asphalt pavement and rejuvenators based on the BTSV method. Road Mater. Pavement Des. 2019, 20, 1695–1708. [Google Scholar] [CrossRef]
- Ding, H.Y.; Wang, H.N.; Qu, X.; Varveri, A.; Gao, J.F.; You, Z.P. Towards an understanding of diffusion mechanism of bio-rejuvenators in aged asphalt binder through molecular dynamics simulation. J. Clean. Prod. 2021, 299, 126927. [Google Scholar] [CrossRef]
- Wang, J.Q.; Li, Q.; Lu, Y.; Luo, S. Effect of Waste-Oil regenerant on diffusion and fusion behaviors of asphalt recycling using molecular dynamics simulation. Constr. Build. Mater. 2022, 343, 128043. [Google Scholar] [CrossRef]
- Sun, H.; Jin, Z.; Yang, C.W.; Akkermans, R.L.C.; Robertson, S.H.; Spenley, N.A.; Miller, S.; Todd, S.M. COMPASS II: Extended coverage for polymer and drug-like molecule databases. J. Mol. Model. 2016, 22, 47. [Google Scholar] [CrossRef] [PubMed]
- Bunte, S.W.; Sun, H. Molecular modeling of energetic materials: The parameterization and validation of nitrate esters in the COMPASS force field. J. Phys. Chem. B 2000, 104, 2477–2489. [Google Scholar] [CrossRef]
- Guo, F.C.; Pei, J.Z.; Zhang, J.P.; Li, R.; Liu, P.F.; Wang, D. Study on Adhesion Property and Moisture Effect between SBS Modified Asphalt Binder and Aggregate Using Molecular Dynamics Simulation. Materials 2022, 15, 6912. [Google Scholar] [CrossRef]
- Bao, C.H.; Xu, Y.; Zheng, C.F.; Nie, L.; Yang, X. Rejuvenation effect evaluation and mechanism analysis of rejuvenators on aged asphalt using molecular simulation. Mater. Struct. 2022, 55, 52. [Google Scholar] [CrossRef]
- Chen, S.Q.; Yang, Q.; Qiu, X.; Liu, K.; Xiao, S.L.; Xu, W.Y. Use of MD Simulation for Investigating Diffusion Behaviors between Virgin Asphalt and Recycled Asphalt Mastic. Buildings 2023, 13, 862. [Google Scholar] [CrossRef]
- Xu, G.J.; Wang, H. Study of cohesion and adhesion properties of asphalt concrete with molecular dynamics simulation. Comput. Mater. Sci. 2016, 112, 161–169. [Google Scholar]
- Zheng, C.F.; Shan, C.; Liu, J.; Zhang, T.; Yang, X.; Lv, D. Microscopic adhesion properties of asphalt-mineral aggregate interface in cold area based on molecular simulation technology. Constr. Build. Mater. 2021, 268, 121151. [Google Scholar] [CrossRef]
- Kakar, M.R.; Hamzah, M.O.; Akhtar, M.N.; Woodward, D. Surface free energy and moisture susceptibility evaluation of asphalt binders modified with surfactant-based chemical additive. J. Clean. Prod. 2016, 112, 2342–2353. [Google Scholar] [CrossRef]
- Yan, S.; Zhou, C.J.; Zhang, J.; Li, G. Molecular dynamics simulation on the rejuvenation effects of waste cooking oil on aged asphalt binder. J. Traffic Transp. Eng. 2022, 9, 795–807. [Google Scholar] [CrossRef]
- Gong, M.Y.; Jiao, B.Z. Thermodynamic properties analysis of warm-mix recycled asphalt binders using molecular dynamics simulation. Road Mater. Pavement Des. 2024, 25, 239–258. [Google Scholar] [CrossRef]
- Kang, Y.; Zhou, D.H.; Wu, Q.; Lang, R.; Shangguan, S.X.; Liao, Z.W.; Wei, N. Molecular dynamics study on the glass forming process of asphalt. Constr. Build. Mater. 2019, 214, 430–440. [Google Scholar] [CrossRef]
- Kriz, P.; Grant, D.L.; Veloza, B.A.; Gale, M.J.; Blahey, A.G.; Brownie, J.H.; Shirts, R.D.; Maccarrone, S. Blending and diffusion of reclaimed asphalt pavement and virgin asphalt binders. Road Mater. Pavement Des. 2014, 15, 78–112. [Google Scholar] [CrossRef]
- Li, D.D.; Greenfield, M.L. Viscosity, relaxation time, and dynamics within a model asphalt of larger molecules. J. Chem. Phys. 2014, 140, 034507. [Google Scholar] [CrossRef]
- Liu, J.Z.; Liu, Q.; Wang, S.Y.; Zhang, X.Y.; Xiao, C.Y.; Yu, B. Molecular dynamics evaluation of activation mechanism of rejuvenator in reclaimed asphalt pavement (RAP) binder. Constr. Build. Mater. 2021, 298, 123898. [Google Scholar] [CrossRef]
















| SARA Components | Molecules in Model | Virgin Asphalt Binder Model | Long-Term Aged Asphalt Binder Model | ||||
|---|---|---|---|---|---|---|---|
| Molecular Formula | Number of Molecules | Weight (%) | Molecular Formula | Number of Molecules | Weight (%) | ||
| Saturate | Hopane | C29H50 | 7 | 15.9 | C35H62 | 7 | 14.9 |
| Squalane | C30H62 | 7 | C30H62 | 6 | |||
| Aromatic | PHPN | C35H44 | 18 | 42.5 | C35H36O4 | 13 | 33.4 |
| DOCHN | C30H46 | 21 | C30H42O2 | 15 | |||
| Resin | Quinolinohopane | C40H59N | 2 | 26.0 | C40H56NO2 | 2 | 30.2 |
| Thioisorenieratane | C40H60S | 2 | C40H56O3S | 2 | |||
| Trimethylbenzeneoxane | C29H50O | 15 | C29H48O2 | 17 | |||
| Benzobisbenzothiophene | C18H10S2 | 3 | C18H10O2S2 | 4 | |||
| Pvridinohopane | C36H57N | 2 | C36H53NO2 | 2 | |||
| Asphaltene | Phenol | C42H54O | 3 | 15.6 | C42H45O5 | 4 | 21.5 |
| Pyrrole | C66H81N | 2 | C66H67NO7 | 3 | |||
| Thiophene | C51H62S | 4 | C51H54O5S | 4 | |||
| Rejuvenator Type | Molecules in Model | Molecular Formula | Weight (%) |
|---|---|---|---|
| Waste engine oil | N-Docosane | C22H46 | 8.6% |
| Mesitylene | C9H12 | 14.1% | |
| Benzene(1-ethyl-2,3-dimethyl) | C10H14 | 23.5% | |
| Methylnaphthalene | C11H10 | 30.2% | |
| N-Acetyl-1-aminonaphthalene | C12H11NO | 14.1% | |
| Butylenephthalide | C12H12O2 | 9.4% |
| Properties | Virgin | Aged | 3WEO | 6WEO | 9WEO | 12WEO |
|---|---|---|---|---|---|---|
| CED (108 J/m3) | 2.542 | 3.204 | 3.191 | 3.177 | 3.146 | 3.153 |
| δ ((J/cm3)1/2) | 15.945 | 17.690 | 17.673 | 17.563 | 17.420 | 17.431 |
| δvdw ((J/cm3)1/2) | 15.685 | 16.433 | 16.628 | 16.535 | 16.418 | 16.421 |
| δele ((J/cm3)1/2) | 1.048 | 5.932 | 5.988 | 5.921 | 5.823 | 5.832 |
| η (cP) | 0.839 | 1.031 | 1.017 | 0.965 | 0.922 | 0.920 |
Disclaimer/Publisher’s Note: The statements, opinions and data contained in all publications are solely those of the individual author(s) and contributor(s) and not of MDPI and/or the editor(s). MDPI and/or the editor(s) disclaim responsibility for any injury to people or property resulting from any ideas, methods, instructions or products referred to in the content. |
© 2024 by the authors. Licensee MDPI, Basel, Switzerland. This article is an open access article distributed under the terms and conditions of the Creative Commons Attribution (CC BY) license (https://creativecommons.org/licenses/by/4.0/).
Share and Cite
Sun, Y.; Cannone Falchetto, A.; Zhang, F.; Wang, D.; Chen, W. Molecular Dynamics Simulation and the Regeneration and Diffusion Effects of Waste Engine Oil in Aged Asphalt Binder. Materials 2024, 17, 2212. https://doi.org/10.3390/ma17102212
Sun Y, Cannone Falchetto A, Zhang F, Wang D, Chen W. Molecular Dynamics Simulation and the Regeneration and Diffusion Effects of Waste Engine Oil in Aged Asphalt Binder. Materials. 2024; 17(10):2212. https://doi.org/10.3390/ma17102212
Chicago/Turabian StyleSun, Yuxuan, Augusto Cannone Falchetto, Fan Zhang, Di Wang, and Wei Chen. 2024. "Molecular Dynamics Simulation and the Regeneration and Diffusion Effects of Waste Engine Oil in Aged Asphalt Binder" Materials 17, no. 10: 2212. https://doi.org/10.3390/ma17102212
APA StyleSun, Y., Cannone Falchetto, A., Zhang, F., Wang, D., & Chen, W. (2024). Molecular Dynamics Simulation and the Regeneration and Diffusion Effects of Waste Engine Oil in Aged Asphalt Binder. Materials, 17(10), 2212. https://doi.org/10.3390/ma17102212

