The Impact of NaOH on the Micro-Mechanical Properties of the Interface Transition Zone in Low-Carbon Concrete
Abstract
1. Introduction
2. Materials and Methods
2.1. Materials
- (1)
- The experimental material chosen for this study is Jidong cement P O42.5; the specific surface area was determined to be 300 m2/Kg by the Brønsted method, with an initial setting time of 180 min, a final setting time of 385 min, and demonstrated volume stability meeting the required standards.
- (2)
- The glass powder (GP) used in this study was obtained from Inner Mongolia Hohhot Keman Glass Co., Ltd. (Hohhot, China), appearing as a white powder. Zeolite powder (ZP) was provided by Shijiazhuang Xincheng Mineral Products Co., Ltd. (Shijiazhuang, China), with a gray powder appearance.
- (3)
- Fine aggregate: ordinary river sand; (4) Coarse aggregate: 5–25 mm crushed stone with continuous grading, bulk density 1550 kg/m3, and apparent density 2680 kg/m3; (5) Water: ordinary tap water; (6) Admixture: Polycarboxylate water reducer from Jiangsu Zhaojia Building Materials Technology Co., Ltd. (Suzhou, China), presented as a white powder with a water-reducing rate of 20% and a moisture content of 2.3%. (7) Activator: pure NaOH powder.
2.2. Mix Ratio Design
2.3. Sample Preparation
2.4. Micro-Mechanical Property Test
2.4.1. AFM Atomic Force Microscope Test
2.4.2. Nanoindentation Test Method
2.4.3. Mercury Intrusion Porosimeter (MIP) Method
3. Results and Analysis
3.1. Roughness Analysis of Concrete ITZ Smaple
3.2. Nanoindentation Modulus and Hardness Analysis
3.3. MIP Analysis
3.4. Hydration Phase Analysis Based on Nanoindentation Test
4. Conclusions
- (1)
- In comparison to LCC-5-5, WLCC-5-5, the activated low-carbon concrete, demonstrates significant enhancements in indentation modulus and indentation hardness. The average values for the indentation modulus and hardness in the interface transition zone increase by 19.9% and 25.9%, respectively. Moreover, the thickness of the interface transition zone decreases by 10 µm.
- (2)
- Regarding the pore structure, the MIP test reveals a 1.16% reduction in porosity for WLCC-5-5 compared to LCC-5-5. The volume fraction of harmless pores significantly increases, corresponding to a decrease in harmful pores. The addition of NaOH optimizes the pore structure of low-carbon concrete, leading to an improved porous interface transition zone and enhanced micro-mechanical properties.
- (3)
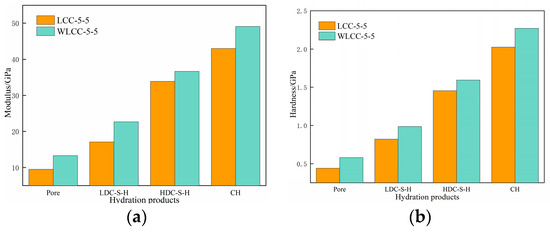
- Analyzing hydration products through Gaussian fitting of nano-indentation statistical data indicates notable improvements in indentation modulus and hardness for various phases in WLCC-5-5 mortar compared to LCC-5-5. Specifically, the indentation modulus and hardness of the pore phase increase by 30.23% and 43.55%, respectively. The indentation modulus of LDC-S-H increases by 20.13%, and its hardness increases by 19.68%, while HDC-S-H experiences an 18% increase in modulus and a 17.79% increase in hardness. Additionally, the volume fraction of capillary pores and LDC-S-H gel in WLCC-5-5 decreases by 27.55% and 22.76%, respectively, whereas the volume fraction of HDC-S-H and CH increases by 13.91% and 23.46%, respectively.
Author Contributions
Funding
Institutional Review Board Statement
Informed Consent Statement
Data Availability Statement
Conflicts of Interest
References
- Chen, B. The Operation of China’s Cement Economy in 2022 and Prospects for 2023. China Cem. 2023, 2, 6–10. (In Chinese) [Google Scholar]
- Zadeh, A.H.; Mamirov, M.; Kim, S.; Hu, J. CO2-treatment of recycled concrete aggregates to improve mechanical and environmental properties for unbound applications. Constr. Build. Mater. 2021, 275, 122180. [Google Scholar] [CrossRef]
- Jitchaiyaphum, K.; Sinsiri, T.; Jaturapitakkul, C.; Chindaprasirt, P. Cellular lightweight concrete containing high-calcium fly ash and natural zeolite. Int. J. Miner. Metall. Mater. 2013, 20, 462–471. [Google Scholar] [CrossRef]
- Nagrockiene, D.; Girskas, G. Research into the properties of concrete modified with natural zeolite addition. Constr. Build. Mater. 2016, 113, 964–969. [Google Scholar] [CrossRef]
- Arvind Saravan, R.; Annadurai, R. Artificial neural networking prediction of the mechanical properties of high-performance concrete with zeolite replacement with cement. Asian J. Civ. Eng. 2023, 24, 2491–2503. [Google Scholar] [CrossRef]
- Guo, K.; Guo, S.; Chen, X.; Qi, Q. Mechanical and Hygrothermal Properties of Zeolite-Modified Pervious Concrete in Hot and Humid Area. Sustainability 2023, 15, 2092. [Google Scholar] [CrossRef]
- Sun, Z.P.; Jiang, Z.W. The effect of replacing cement with slag powder on the effect of superplasticizer. J. Build. Mater. 2003, 3, 231–236. (In Chinese) [Google Scholar] [CrossRef]
- Gong, J.Q.; Yang, Q.; Guo, L.; Fan, S.J.; Cai, G.W. Performance of Alkali-Activated Slag-Glass Powder Based Foamed Concrete. Bull. Chin. Ceram. Soc. 2022, 41, 226–234. (In Chinese) [Google Scholar] [CrossRef]
- Kamali, M.; Ghahremaninezhad, A. An investigation into the hydration and microstructure of cement pastes modified with glass powders. Constr. Build. Mater. 2016, 112, 915–924. [Google Scholar] [CrossRef]
- Kamali, M.; Ghahremaninezhad, A. Effect of glass powders on the mechanical and durability properties of cementitious materials. Constr. Build. Mater. 2015, 98, 407–416. [Google Scholar] [CrossRef]
- Dadouch, M.; Belal, T.; Ghembaza, M.S. Valorization of glass waste as partial substitution of sand in concrete—Investigation of the physical and mechanical properties for a sustainable construction. Constr. Build. Mater. 2024, 411, 134436. [Google Scholar] [CrossRef]
- Amin, M.; Nazar, S.; Al-Hashem, M.; Althoey, F.; Deifalla, A.F.; Arab, A. An integral approach for testing and computational analysis of glass powder in cementitious composites. Case Stud. Constr. Mater. 2023. [Google Scholar] [CrossRef]
- Abellan-Garcia, J.; Molinares, M.; Daza, N.; Abbas, Y.M.; Khan, M.I. Formulation of inexpensive and green reactive powder concrete by using milled-waste-glass and micro calcium-carbonate—A multi-criteria optimization approach. Constr. Build. Mater. 2023, 409, 134167. [Google Scholar] [CrossRef]
- Mariaková, D.; Mocová, K.A.; Fořtová, K.; Pavlů, T.; Hájek, P. Waste Glass Powder Reusability in High-Performance Concrete: Leaching Behavior and Ecotoxicity. Materials 2021, 14, 4476. [Google Scholar] [CrossRef] [PubMed]
- Ammari, M.S.; Tobchi, M.B.; Amrani, Y.; Mim, A.; Bederina, M.; Ferhat, A.A. Influence of glass powder incorporation on the physical-mechanical properties of sand concrete. World J. Eng. 2021, 20, 314–324. [Google Scholar] [CrossRef]
- Hasan, S.; Nayyef, D. Investigation of using waste glass powder as a supplementary cementitious material in reactive powder concrete. Proc. Int. Struct. Eng. Constr. 2020, 7, SUS-07-1–SUS-07-6. [Google Scholar] [CrossRef]
- Ke, G.; Li, W.; Li, R.; Li, Y.; Wang, G. Mitigation Effect of Waste Glass Powders on Alkali–Silica Reaction (ASR) Expansion in Cementitious Composite. Int. J. Concr. Struct. Mater. 2018, 12, 67. [Google Scholar] [CrossRef]
- Li, L.H.; Ren, Z.-L.; Yang, J.-C.; Liu, S.-H. Mechanism of Waste Glass Powder in Concrete and Its ASR Risk. J. Yangtze River Sci. Res. Inst. 2016, 33, 94–99. [Google Scholar] [CrossRef]
- Peng, B. Mechanical properties and early crack resistance of zeolite powder/phase change material modified concrete. J. Shijiazhuang Railw. Univ. Nat. Sci. Ed. 2022, 35, 60–66. [Google Scholar] [CrossRef]
- Yang, Z.; Zhou, C. Research on mechanical properties and microstructure of ultra-high performance concrete containing glass powder. Silic. Bull. 2021, 40, 3956–3963. [Google Scholar] [CrossRef]
- John, S.K.; Nadir, Y.; Girija, K. Effect of source materials, additives on the mechanical properties and durability of fly ash and fly ash-slag geopolymer mortar: A review. Constr. Build. Mater. 2021, 280, 122443. [Google Scholar] [CrossRef]
- Palomo, A.; Grutzeck, M.W.; Blanco, M.T. Alkali-activated fly ashes: A cement for the future. Cem. Concr. Res. 1999, 29, 1323–1329. [Google Scholar] [CrossRef]
- Duxson, P.; Provis, J.L.; Lukey, G.C.; Mallicoat, S.W.; Kriven, W.M.; van Deventer, J.S.J. Understanding the relationship between geopolymer composition, microstructure and mechanical properties. Colloids Surf. A Physicochem. Eng. Asp. 2005, 269, 47–58. [Google Scholar] [CrossRef]
- Davidovits, J. Geopolymers and geopolymeric materials. J. Therm. Anal. Calorim. 1989, 35, 429–441. [Google Scholar] [CrossRef]
- Wang, A.G.; Sun, D.S.; Hu, P.H.; Ren, X.M. Experimental study on the preparation of geopolymer cement from alkaline activated metakaolin. J. Hefei Univ. Technol. Nat. Sci. Ed. 2008, 31, 617–621. (In Chinese) [Google Scholar] [CrossRef]
- Bondar, D.; Lynsdale, C.; Milestone, N.B.; Hassani, N.; Ramezanianpour, A. Effect of type, form, and dosage of activators on strength of alkali-activated natural pozzolans. Cem. Concr. Compos. 2011, 33, 251–260. [Google Scholar] [CrossRef]
- Xiao, J.; Li, W.; Sun, Z.; Lange, D.A.; Shah, S.P. Properties of interfacial transition zones in recycled aggregate concrete tested by nanoindentation. Cem. Concr. Compos. 2013, 37, 276–292. [Google Scholar] [CrossRef]
- Xie, Y.; Corr, D.J.; Jin, F.; Zhou, H.; Shah, S.P. Experimental study of the interfacial transition zone (ITZ) of model rock-filled concrete (RFC). Cem. Concr. Compos. 2015, 55, 223–231. [Google Scholar] [CrossRef]
- Poon, C.; Shui, Z.; Lam, L. Effect of microstructure of ITZ on compressive strength of concrete prepared with recycled aggregates. Constr. Build. Mater. 2004, 18, 461–468. [Google Scholar] [CrossRef]
- Li, K.; Stroeven, P.; Stroeven, M.; Sluys, L.J. A numerical investigation into the influence of the interfacial transition zone on the permeability of partially saturated cement paste between aggregate surfaces. Cem. Concr. Res. 2017, 102, 99–108. [Google Scholar] [CrossRef]
- Aouissi, F.; Yang, C.C.; Brahma, A.; Bederina, M. Study of the influence of the interfacial transition zone on the elastic modulus of concrete using a triphasic model. J. Adhes. Sci. Technol. 2016, 30, 994–1005. [Google Scholar] [CrossRef]
- Wu, J.; Wong, H.S.; Yin, Q.; Ma, D. Effects of aggregate strength and mass fraction on mesoscopic fracture characteristics of cemented rockfill from gangue as recycled aggregate. Compos. Struct. 2023, 311, 116851. [Google Scholar] [CrossRef]
- GB/T 50080-2016; Standard Test Method for Performance of Ordinary Concrete Mixes. China Building Industry Press: Beijing, China, 2016.
- Xiong, G.J.; Jiang, H.; Chen, L.Q.; Xie, H.C. Research on the improvement method of microstructure in the interface transition zone of new and old concrete repair. J. Silic. 2002, 30, 4. (In Chinese) [Google Scholar] [CrossRef]
- Bohner, E.; Müller, H. Modelling of reinforcement corrosion—Investigations on the influence of shrinkage and creep on the development of concrete cracking in the early propagation stage of reinforcement corrosion. Mater. Corros. 2006, 57, 940–944. [Google Scholar] [CrossRef]
- Gao, Y.; Jing, H.; Yu, Z.; Li, L.; Wu, J.; Chen, W. Particle size distribution of aggregate effects on the reinforcing roles of carbon nanotubes in enhancing concrete ITZ. Constr. Build. Mater. 2022, 327, 126964. [Google Scholar] [CrossRef]
- Nadeau, J.C. A multiscale model for effective moduli of concrete incorporating ITZ water–cement ratio gradients, aggregate size distributions, and entrapped voids. Cem. Concr. Res. 2003, 33, 103–113. [Google Scholar] [CrossRef]
- Owen, H.; Schipper, P.H. Control of Multistage Catalyst Regeneration with Both Partial and Full Co Combustion. U.S. Patent No 5,077,251, 31 December 1990. [Google Scholar]
- Duan, Y.; Wang, Q.; Zhang, R.L.; Zhang, S.H.; Xu, R.P. Experimental study on the chloride ion permeability and pore structure of low water cement ratio concrete under different curing conditions. J. Railw. Sci. Eng. 2016, 5, 6. (In Chinese) [Google Scholar] [CrossRef]
- Wang, M.; Xie, Y.; Long, G.; Ma, C.; Zeng, X. Microhardness characteristics of high-strength cement paste and interfacial transition zone at different curing regimes. Constr. Build. Mater. 2019, 221, 151–162. [Google Scholar] [CrossRef]
- Rong, Z.; Ding, J.; Cui, Z.; Sun, W. Mechanical properties and microstructure of ultra-high performance cement-based composite incorporating RHA. Adv. Cem. Res. 2019, 31, 472–480. [Google Scholar] [CrossRef]
- Jennings, H.M.; Thomas, J.J.; Gevrenov, J.S.; Constantinides, G.; Ulm, F.-J. A multi-technique investigation of the nanoporosity of cement paste. Cem. Concr. Res. 2007, 37, 329–336. [Google Scholar] [CrossRef]
- Kong, D.; Lei, T.; Zheng, J.; Ma, C.; Jiang, J.; Jiang, J. Effect and mechanism of surface-coating pozzalanics materials around aggregate on properties and ITZ microstructure of recycled aggregate concrete. Constr. Build. Mater. 2010, 24, 701–708. [Google Scholar] [CrossRef]
- Hu, C.; Li, Z. A review on the mechanical properties of cement-based materials measured by nanoindentation. Constr. Build. Mater. 2015, 90, 80–90. [Google Scholar] [CrossRef]
- Mondal, P.; Shah, S.P.; Marks, L. A reliable technique to determine the local mechanical properties at the nanoscale for cementitious materials. Cem. Concr. Res. 2007, 37, 1440–1444. [Google Scholar] [CrossRef]
- Peters, S.J.; Rushing, T.S.; Landis, E.N.; Cummins, T.K. Nanocellulose and Microcellulose Fibers for Concrete. Transp. Res. Rec. 2010, 2142, 25–28. [Google Scholar] [CrossRef]
- Velez, K.; Maximilien, S.; Damidot, D.; Fantozzi, G.; Sorrentino, F. Determination by nanoindentation of elastic modulus and hardness of pure constituents of Portland cement clinker. Cem. Concr. Res. 2001, 31, 555–561. [Google Scholar] [CrossRef]
- Gao, S.; Ban, S.H.; Guo, J.; Zou, C.X.; Gong, Y.Y. The effect of silica fume on the interface transition zone of recycled concrete. Mater. Introd. 2023, 37, 93–99. [Google Scholar] [CrossRef]












| Chemical Components | SiO2 (%) | Al2O3 (%) | CaO (%) | Fe2O3 (%) | K2O (%) | Na2O (%) | C (%) | MgO (%) | Others (%) |
|---|---|---|---|---|---|---|---|---|---|
| ZP | 43.5 | 9.0 | 4.0 | 3.1 | 1.9 | 2.0 | 1.8 | 1.2 | 2.8 |
| GP | 78.3 | 12.7 | 1.7 | 1.5 | 1.4 | 2.2 | -- | 1.4 | 9.5 |
| Sample | Cement | ZP | GP | River Sand | Activator | Coarse Aggregate | Water | Additives |
|---|---|---|---|---|---|---|---|---|
| (kg/m3) | (kg/m3) | (kg/m3) | (kg/m3) | (kg/m3) | (kg/m3) | (kg/m3) | (kg/m3) | |
| OC | 489.8 | 0.0 | 0.0 | 761.9 | 0 | 1777.7 | 210.6 | 3.3 |
| LCC-4-6 | 244.4 | 97.8 | 146.6 | 761.9 | 0 | 1777.7 | 210.6 | 3.3 |
| LCC-5-5 | 244.4 | 122.2 | 122.2 | 761.9 | 0 | 1777.7 | 210.6 | 3.3 |
| LCC-6-4 | 244.4 | 146.6 | 97.8 | 761.9 | 0 | 1777.7 | 210.6 | 3.3 |
| WLCC-4-6 | 244.4 | 97.8 | 146.6 | 761.9 | 9.78 | 1777.7 | 210.6 | 3.3 |
| WLCC-5-5 | 244.4 | 122.2 | 122.2 | 761.9 | 9.78 | 1777.7 | 210.6 | 3.3 |
| WLCC-6-4 | 244.4 | 146.6 | 97.8 | 761.9 | 9.78 | 1777.7 | 210.6 | 3.3 |
| ITZ Area Sample | Mean Roughness (nm) | Maximum Indentation Depth (nm) |
|---|---|---|
| OC | 6.74 | 300 |
| LCC-4-6 | 5.36 | 320 |
| LCC-5-5 | 5.98 | 310 |
| LCC-6-4 | 5.25 | 320 |
| WLCC-4-6 | 11.66 | 300 |
| WLCC-5-5 | 13.78 | 290 |
| WLCC-6-4 | 12.25 | 300 |
| Sample | Aggregate | ITZ | Mortar | |||
|---|---|---|---|---|---|---|
| Modulus | Hardness | Modulus | Hardness | Modulus | Hardness | |
| GPa | GPa | GPa | GPa | GPa | GPa | |
| OC | 82.3509 | 2.5661 | 35.2561 | 1.5798 | 43.2451 | 2.8712 |
| LCC-4-6 | 81.4463 | 2.4189 | 24.2109 | 0.8923 | 35.2312 | 1.5045 |
| LCC-5-5 | 82.8098 | 3.5013 | 29.1618 | 1.2301 | 38.4731 | 2.5177 |
| LCC-6-4 | 83.6028 | 3.0202 | 22.0233 | 0.8201 | 34.1540 | 1.4518 |
| WLCC-4-6 | 80.3681 | 2.6577 | 30.4457 | 1.0132 | 40.2536 | 1.8024 |
| WLCC-5-5 | 83.2445 | 3.4881 | 34.9664 | 1.5496 | 43.4503 | 2.7562 |
| WLCC-6-4 | 81.6743 | 2.9231 | 30.0561 | 0.9926 | 39.8703 | 1.7901 |
| Sample | Hydration Products | Modulus | Hardness | Volume Fraction/% | ||
|---|---|---|---|---|---|---|
| Mean ± Standard Deviation/GPa | Relative Error/% | Mean ± Standard Deviation/GPa | Relative Error/% | |||
| LCC-5-5 | Pore | 7 ± 1.90 | 1.41 | 0.21 ± 0.17 | 1.14 | 3.75 |
| LDC-S-H | 16 ± 2.50 | 1.70 | 0.64 ± 0.20 | 2.16 | 30.43 | |
| HDC-S-H | 33 ± 3.13 | 0.56 | 1.20 ± 0.13 | 1.08 | 22.10 | |
| CH | 39 ± 1.11 | 2.31 | 1.59 ± 0.31 | 0.48 | 3.24 | |
| WLCC-5-5 | Pore | 10 ± 2.35 | 2.10 | 0.373 ± 0.20 | 1.98 | 2.51 |
| LDC-S-H | 19 ± 3.13 | 0.38 | 0.78 ± 0.17 | 0.75 | 26.43 | |
| HDC-S-H | 35 ± 2.84 | 2.06 | 1.39 ± 0.25 | 1.39 | 37.43 | |
| CH | 43 ± 1.12 | 1.31 | 1.86 ± 0.21 | 2.55 | 3.5 | |
Disclaimer/Publisher’s Note: The statements, opinions and data contained in all publications are solely those of the individual author(s) and contributor(s) and not of MDPI and/or the editor(s). MDPI and/or the editor(s) disclaim responsibility for any injury to people or property resulting from any ideas, methods, instructions or products referred to in the content. |
© 2024 by the authors. Licensee MDPI, Basel, Switzerland. This article is an open access article distributed under the terms and conditions of the Creative Commons Attribution (CC BY) license (https://creativecommons.org/licenses/by/4.0/).
Share and Cite
Li, Y.; Wang, H.; Wei, L.; Guo, H.; Ma, K. The Impact of NaOH on the Micro-Mechanical Properties of the Interface Transition Zone in Low-Carbon Concrete. Materials 2024, 17, 258. https://doi.org/10.3390/ma17010258
Li Y, Wang H, Wei L, Guo H, Ma K. The Impact of NaOH on the Micro-Mechanical Properties of the Interface Transition Zone in Low-Carbon Concrete. Materials. 2024; 17(1):258. https://doi.org/10.3390/ma17010258
Chicago/Turabian StyleLi, Yue, Hailong Wang, Lisi Wei, Haolong Guo, and Kuo Ma. 2024. "The Impact of NaOH on the Micro-Mechanical Properties of the Interface Transition Zone in Low-Carbon Concrete" Materials 17, no. 1: 258. https://doi.org/10.3390/ma17010258
APA StyleLi, Y., Wang, H., Wei, L., Guo, H., & Ma, K. (2024). The Impact of NaOH on the Micro-Mechanical Properties of the Interface Transition Zone in Low-Carbon Concrete. Materials, 17(1), 258. https://doi.org/10.3390/ma17010258
