IBIL Measurement and Optical Simulation of the DI Center in 4H-SiC
Abstract
1. Introduction
2. Experiment and Computational Method
3. Results and Discussion
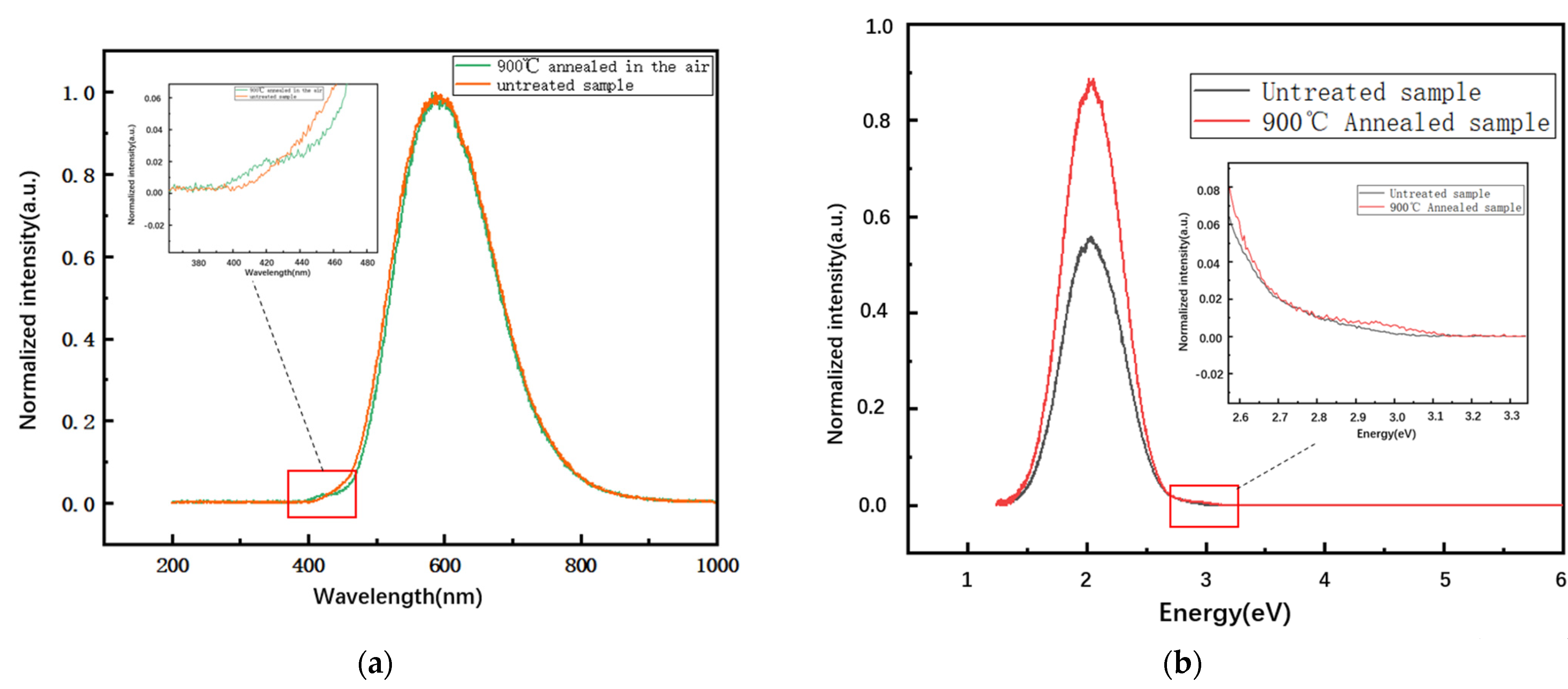
3.1. SRIM Simulation and the IBIL Measurement Result
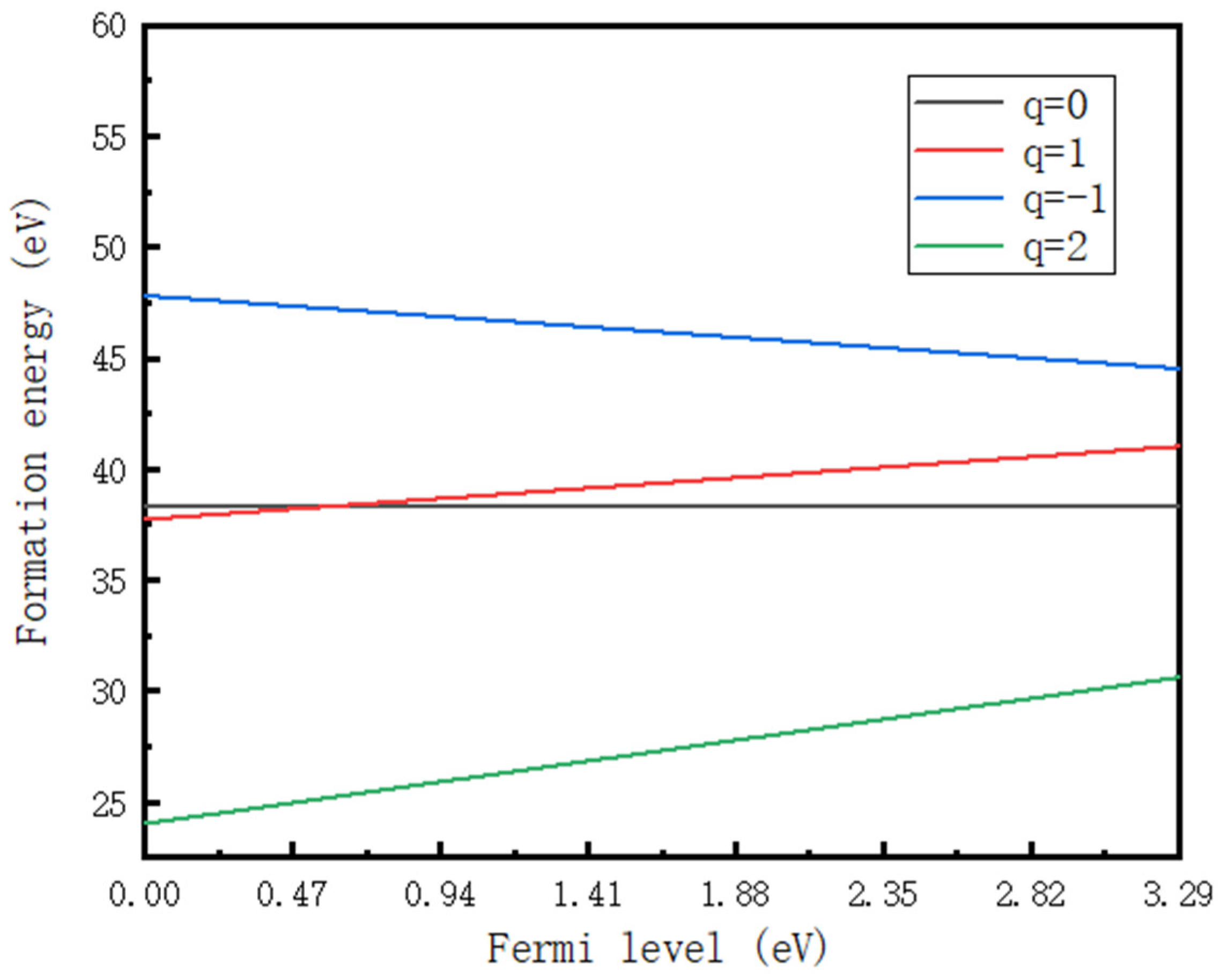
3.2. First-Principles Calculation
4. Conclusions
Author Contributions
Funding
Institutional Review Board Statement
Informed Consent Statement
Data Availability Statement
Conflicts of Interest
References
- Makarov, V.V. Luminescence and optical properties of silicon carbide irradiated with fast neutrons. Sov. Phys.-Solid State 1972, 13, 1974–1979. [Google Scholar]
- Patrick, L.; Choyke, W.J. Photoluminescence of Radiation Defects in Ion-Implanted 6 H-SiC. Phys. Rev. B 1972, 5, 3253. [Google Scholar] [CrossRef]
- Gali, A.; Deák, P.; Rauls, E.; Son, N.T.; Ivanov, I.G.; Carlsson, F.H.C.; Janzén, E.; Choyke, W.J. Correlation between the antisite pair and the DI center in SiC. Phys. Rev. B 2003, 67, 155203. [Google Scholar] [CrossRef]
- Choyke, W.J.; Patrick, L. Photoluminescence of radiation defects in cubic SiC: Localized modes and Jahn-Teller effect. Phys. Rev. B 1971, 4, 1843. [Google Scholar] [CrossRef]
- Schneider, J.; Maier, K. Point defects in silicon carbide. Phys. B Condens. Matter 1993, 185, 199–206. [Google Scholar] [CrossRef]
- Fissel, A.; Richter, W.; Furthmüller, J.; Bechstedt, F. On the nature of the D1-defect center in SiC: A photoluminescence study of layers grown by solid-source molecular-beam epitaxy. Appl. Phys. Lett. 2001, 78, 2512–2514. [Google Scholar] [CrossRef]
- Choyke, W.J. The Physics and Chemistry of Carbides, Nitrides and Borides; NATO Advanced Study Institute, Series E; Kluwer Academc Publishers: Dordrecht, The Netherlands, 1990; Volume 185, p. 563. [Google Scholar]
- Egilsson, T.; Bergman, J.P.; Ivanov, I.G.; Henry, A.; Janzén, E. The D1 Exciton in 4H-SiC. Phys. Status Solidi B 1998, 210, 337–340. [Google Scholar] [CrossRef]
- Choyke, W.J.; Feng, Z.C.; Powell, J.A. Low-temperature photoluminescence studies of chemical vapor deposition grown 3 C-SiC on Si. J. Appl. Phys. 1988, 64, 3163–3175. [Google Scholar] [CrossRef]
- Storasta, L.; Carlsson FH, C.; Sridhara, S.G.; Bergman, J.P.; Henry, A.; Egilsson, T.; Hallén, A.; Janzén, E. Pseudodonor nature of the DI defect in 4H-SiC. Appl. Phys. Lett. 2001, 78, 46–48. [Google Scholar] [CrossRef]
- Qiu, M.L.; Yin, P.; Wang, G.F.; Song, J.G.; Luo, C.W.; Wang, T.S.; Zhao, G.Q.; Lv, S.S.; Zhang, F.S.; Liao, B. In situ luminescence measurement of 6H-SiC at low temperature. Chin. Phys. B 2020, 29, 046106. [Google Scholar] [CrossRef]
- Eberlein TA, G.; Fall, C.J.; Jones, R.; Briddon, P.R.; Öberg, S. Alphabet luminescence lines in 4H-SiC. Phys. Rev. B 2002, 65, 184108. [Google Scholar] [CrossRef]
- Posselt, M.; Gao, F.; Weber, W.J. Atomistic simulations on the thermal stability of the antisite pair in 3C-and 4H-SiC. Phys. Rev. B 2006, 73, 125206. [Google Scholar] [CrossRef]
- Rauls, E.; Gerstmann, U.; Pinheiro MV, B.; Greulich-Weber, S.; Spaeth, J.M. A new model for the DI-luminescence in 6H-SiC. Mater. Sci. Forum 2005, 483, 465–468. [Google Scholar] [CrossRef]
- Pinheiro MV, B.; Rauls, E.; Gerstmann, U.; Greulich-Weber, S.; Overhof, H.; Spaeth, J.M. Silicon vacancy annealing and DI luminescence in 6H–SiC. Phys. Rev. B 2004, 70, 245204. [Google Scholar] [CrossRef]
- Kanaya, M.; Takahashi, J.; Fujiwara, Y.; Moritani, A. Controlled sublimation growth of single crystalline 4H-SiC and 6H-SiC and identification of polytypes by X-ray diffraction. Appl. Phys. Lett. 1991, 58, 56–58. [Google Scholar] [CrossRef]
- Katulka, G.; Guedj, C.; Kolodzey, J.; Wilson, R.G.; Swann, C.; Tsao, M.W.; Rabolt, J. Electrical and optical properties of Ge–implanted 4H–SiC. Appl. Phys. Lett. 1999, 74, 540–542. [Google Scholar] [CrossRef]
- Tuominen, M.; Yakimova, R.; Glass, R.C.; Tuomi, T.; Janzen, E. Crystalline imperfections in 4H SiC grown with a seeded Lely method. J. Cryst. Growth 1994, 144, 267–276. [Google Scholar] [CrossRef]
- Thibault, N.W. Morphological and structural crystallography and optical properties of silicon carbide (SiC). Am. Mineral. J. Earth Planet. Mater. 1944, 29, 327–362. [Google Scholar]
- Lihong, Z.; Titao, Y.; Cunfeng, Y. FTIR and Raman spectra of ion irradiated and annealed 4H-SiC. Nucl. Tech. 2007, 30, 314–317. [Google Scholar]
- Qiu, M.; Yin, P.; Luo, C.; Zheng, L.; Chu, Y.; Xu, M.; Wang, G. Development of an ion beam induced luminescence set-up with a temperature con-trolled target stage and its application. Nucl. Instrum. Methods Phys. Res. Sect. B Beam Interact. Mater. At. 2019, 450, 69–72. [Google Scholar] [CrossRef]
- Egilsson, T.; Bergman, J.P.; Ivanov, I.G.; Henry, A.; Janzén, E. Properties of the D1 bound exciton in 4H-SiC. Phys. Rev. B 1999, 59, 1956. [Google Scholar] [CrossRef]
- Backman, M.; Toulemonde, M.; Pakarinen, O.H.; Juslin, N.; Djurabekova, F.; Nordlund, K.; Debelle, A.; Weber, W.J. Molecular dynamics simulations of swift heavy ion induced defect recovery in SiC. Comput. Mater. Sci. 2013, 67, 261–265. [Google Scholar] [CrossRef]
- Ivanov, V.Y.; Godlewski, M.; Kalabukhova, E.N.; Dimitriadis, C.A.; Zekentes, K. Photoluminescence and optically detected magnetic reso-nance investigations of wurtzite phase 4H–SiC. Opt. Mater. 2008, 30, 746–748. [Google Scholar] [CrossRef]
- Lauer, V.; Brémond, G.; Souifi, A.; Guillot, G.; Chourou, K.; Anikin, M.; Madar, R.; Clerjaud, B.; Naud, C. Electrical and optical characterization of vanadium in 4H and 6H–SiC. Mater. Sci. Eng. B 1999, 61, 248–252. [Google Scholar] [CrossRef]
- Renxu, J.; Yimen, Z.; Yuming, Z.; Yuehu, W.; Lin, Z. Deep level defects in unintentionally doped 4H-SiC homoepitaxial layer. J. Semicond. 2009, 30, 033003. [Google Scholar] [CrossRef]
- Malo, M.; Nagata, S.; Tsuchiya, B.; Moroño, A.; Shikama, T.; Hodgson, E.R. Radioluminescence for in situ materials characterization: First results on SiC for fusion applications. Fusion Eng. Des. 2011, 86, 2470–2473. [Google Scholar] [CrossRef]
- Bockstedte, M.; Mattausch, A.; Pankratov, O. Ab initio study of the migration of intrinsic defects in 3 C-SiC. Phys. Rev. B 2003, 68, 205201. [Google Scholar] [CrossRef]
- Zywietz, A.; Furthmüller, J.; Bechstedt, F. Spin state of vacancies: From magnetic Jahn-Teller distortions to multi-plets. Phys. Rev. B 2000, 62, 6854. [Google Scholar] [CrossRef]
- Zywietz, A.; Furthmüller, J.; Bechstedt, F. Vacancies in SiC: Influence of Jahn-Teller distortions, spin effects, and crystal structure. Phys. Rev. B 1999, 59, 15166. [Google Scholar] [CrossRef]
- Torpo, L.; Marlo, M.; Staab, T.E.M.; Nieminen, R.M. Comprehensive ab initio study of properties of monovacancies and antisites in 4H-SiC. J. Phys. Condens. Matter 2001, 13, 6203. [Google Scholar] [CrossRef]
- Wiktor, J.; Jomard, G.; Bertolus, M. Electronic structure calculations of positron lifetimes in SiC: Self-consistent schemes and relaxation effect. Nucl. Instrum. Methods Phys. Res. Sect. B Beam Interact. Mater. At. 2014, 327, 63–67. [Google Scholar] [CrossRef]
- Lu, X.; Zhao, T.; Guo, X.; Chen, M.; Ren, J.; La, P. Electronic structures and optical properties of Ni-doped 4H-SiC: Dispersion-corrected density functional theory investigations. Mater. Res. Express 2019, 6, 095911. [Google Scholar] [CrossRef]
- Zhang, H.S.; Gong, J.; Shi, L. Antisite Defect SiC as a Source of the DI Center in 4H-SiC. Phys. Status Solidi (RRL)-Rapid Res. Lett. 2022, 17, 2200239. [Google Scholar] [CrossRef]
- Eberlein TA, G.; Jones, R.; Öberg, S.; Briddon, P.R. Density functional theory calculation of the DI optical center in SiC. Phys. Rev. B 2006, 74, 144106. [Google Scholar] [CrossRef]












Disclaimer/Publisher’s Note: The statements, opinions and data contained in all publications are solely those of the individual author(s) and contributor(s) and not of MDPI and/or the editor(s). MDPI and/or the editor(s) disclaim responsibility for any injury to people or property resulting from any ideas, methods, instructions or products referred to in the content. |
© 2023 by the authors. Licensee MDPI, Basel, Switzerland. This article is an open access article distributed under the terms and conditions of the Creative Commons Attribution (CC BY) license (https://creativecommons.org/licenses/by/4.0/).
Share and Cite
Jiang, W.; Cheng, W.; Qiu, M.; Wu, S.; Ouyang, X.; Chen, L.; Pang, P.; Ying, M.; Liao, B. IBIL Measurement and Optical Simulation of the DI Center in 4H-SiC. Materials 2023, 16, 2935. https://doi.org/10.3390/ma16072935
Jiang W, Cheng W, Qiu M, Wu S, Ouyang X, Chen L, Pang P, Ying M, Liao B. IBIL Measurement and Optical Simulation of the DI Center in 4H-SiC. Materials. 2023; 16(7):2935. https://doi.org/10.3390/ma16072935
Chicago/Turabian StyleJiang, Wenli, Wei Cheng, Menglin Qiu, Shuai Wu, Xiao Ouyang, Lin Chen, Pan Pang, Minju Ying, and Bin Liao. 2023. "IBIL Measurement and Optical Simulation of the DI Center in 4H-SiC" Materials 16, no. 7: 2935. https://doi.org/10.3390/ma16072935
APA StyleJiang, W., Cheng, W., Qiu, M., Wu, S., Ouyang, X., Chen, L., Pang, P., Ying, M., & Liao, B. (2023). IBIL Measurement and Optical Simulation of the DI Center in 4H-SiC. Materials, 16(7), 2935. https://doi.org/10.3390/ma16072935

