An In Situ Prepared Comb-like Polycaprolactone-Based Gel Electrolyte for High-Performance Lithium Metal Batteries
Abstract
1. Introduction
2. Experimental
2.1. Materials
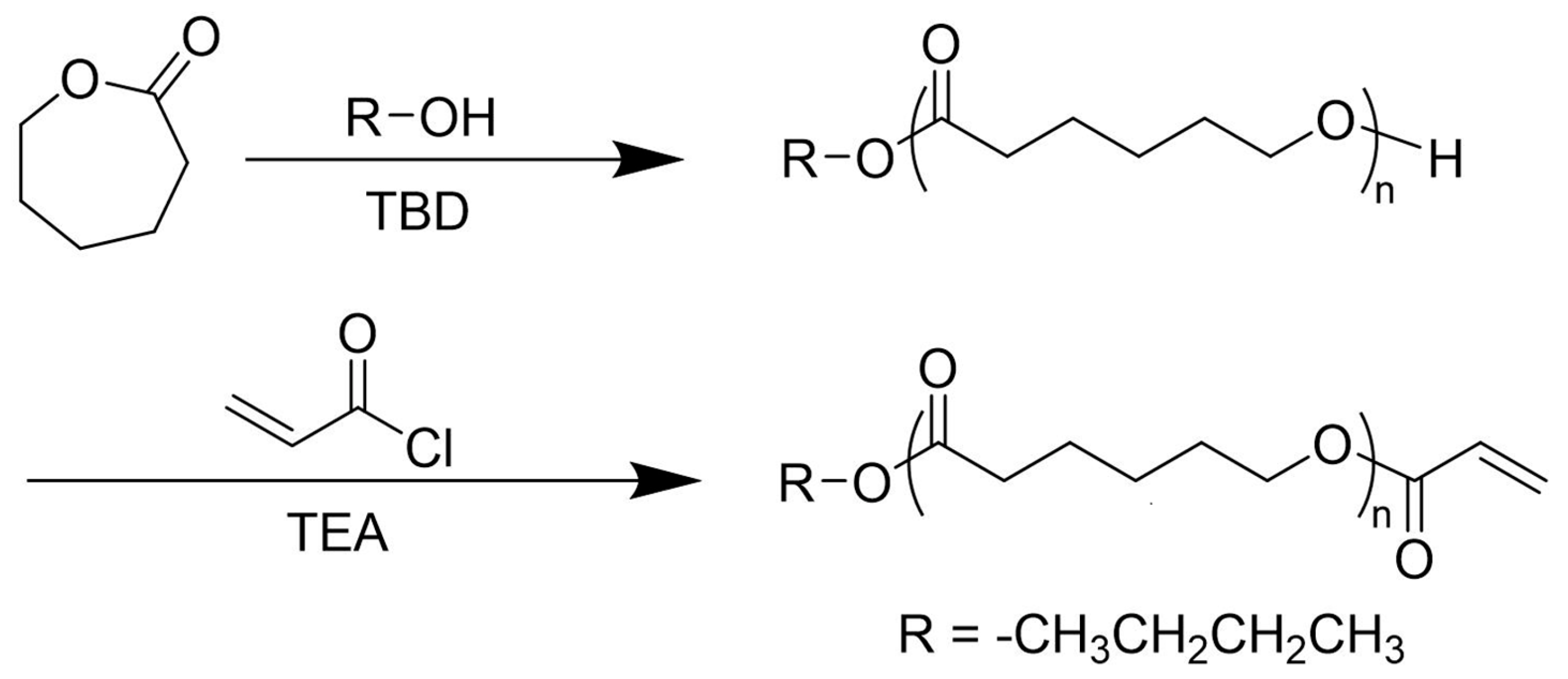
2.2. Preparation of PCLA
2.3. Fabrication of GE Membrane
2.4. Characterization
3. Results and Discussion
3.1. Chemical Characterization
3.2. Ionic Conductivity
3.3. Morphology of the GE
3.4. Electrochemical Stability of the GE
3.5. Interfacial Stability against Lithium Metal Electrode
3.6. Cell Performance
4. Conclusions
Supplementary Materials
Author Contributions
Funding
Data Availability Statement
Conflicts of Interest
References
- Goodenough, J.B.; Park, K.-S. The Li-ion rechargeable battery: A perspective. J. Am. Chem. Soc. 2013, 135, 1167–1176. [Google Scholar] [CrossRef] [PubMed]
- Xu, W.; Wang, J.; Ding, F.; Chen, X.; Nasybulin, E.; Zhang, Y.; Zhang, J.-G. Lithium metal anodes for rechargeable batteries. Energy Environ. Sci. 2014, 7, 513–537. [Google Scholar] [CrossRef]
- Eshetu, G.G.; Grugeon, S.; Laruelle, S.; Boyanov, S.; Lecocq, A.; Bertrand, J.-P.; Marlair, G. In-depth safety-focused analysis of solvents used in electrolytes for large scale lithium ion batteries. Phys. Chem. Chem. Phys. 2013, 15, 9145–9155. [Google Scholar] [CrossRef] [PubMed]
- Zhou, Q.; Zhang, J.; Cui, G. Rigid–Flexible Coupling Polymer Electrolytes toward High-Energy Lithium Batteries. Macromol. Mater. Eng. 2018, 303, 1800337. [Google Scholar] [CrossRef]
- Golodnitsky, D.; Strauss, E.; Peled, E.; Greenbaum, S. On order and disorder in polymer electrolytes. J. Electrochem. Soc. 2015, 162, A2551–A2566. [Google Scholar] [CrossRef]
- Pan, Q.; Smith, D.M.; Qi, H.; Wang, S.; Li, C.Y. Hybrid electrolytes with controlled network structures for lithium metal batteries. Adv. Mater. 2015, 27, 5995–6001. [Google Scholar] [CrossRef]
- Xu, H.; Zhang, H.; Ma, J.; Xu, G.; Dong, T.; Chen, J.; Cui, G. Overcoming the Challenges of 5 V Spinel LiNi0.5Mn1.5O4 Cathodes with Solid Polymer Electrolytes. ACS Energy Lett. 2019, 4, 2871–2886. [Google Scholar] [CrossRef]
- Xue, Z.; He, D.; Xie, X. Poly (ethylene oxide)-based electrolytes for lithium-ion batteries. J. Mater. Chem. A 2015, 3, 19218–19253. [Google Scholar] [CrossRef]
- Mindemark, J.; Lacey, M.J.; Bowden, T.; Brandell, D. Beyond PEO—Alternative host materials for Li+-conducting solid polymer electrolytes. Prog. Polym. Sci. 2018, 81, 114–143. [Google Scholar] [CrossRef]
- Xu, H.; Xie, J.; Liu, Z.; Wang, J.; Deng, Y. Erratum—Carbonyl-Coordinating Polymers for High-Voltage Solid-State Lithium Batteries: Solid Polymer Electrolytes. MRS Energy Sustain. 2020, 7, E2. [Google Scholar] [CrossRef]
- Zou, F.; Manthiram, A. A review of the design of advanced binders for high-performance batteries. Adv. Energy Mater. 2020, 10, 2002508. [Google Scholar] [CrossRef]
- Zhu, Y.; Xiao, S.; Shi, Y.; Yang, Y.; Hou, Y.; Wu, Y. A composite gel polymer electrolyte with high performance based on poly (vinylidene fluoride) and polyborate for lithium ion batteries. Adv. Energy Mater. 2014, 4, 1300647. [Google Scholar] [CrossRef]
- Luo, W.; Gong, Y.; Zhu, Y.; Li, Y.; Yao, Y.; Zhang, Y.; Fu, K.; Pastel, G.; Lin, C.-F.; Mo, Y.; et al. Reducing interfacial resistance between garnet-structured solid-state electrolyte and Li-metal anode by a germanium layer. Adv. Mater 2017, 29, 1606042. [Google Scholar] [CrossRef] [PubMed]
- Xu, H.; Ye, W.; Wang, Q.; Han, B.; Wang, J.; Wang, C.; Deng, Y. An in situ photopolymerized composite solid electrolyte from halloysite nanotubes and comb-like polycaprolactone for high voltage lithium metal batteries. J. Mater. Chem. A 2021, 9, 9826–9836. [Google Scholar] [CrossRef]
- Chinnam, P.R.; Zhang, H.; Wunder, S.L. Blends of pegylated polyoctahedralsilsesquioxanes (POSS-PEG) and methyl cellulose as solid polymer electrolytes for lithium batteries. Electrochim. Acta 2015, 170, 191–201. [Google Scholar] [CrossRef]
- Ye, W.; Zaheer, M.; Li, L.; Wang, J.; Xu, H.; Wang, C.; Deng, Y. Hyperbranched PCL/PS copolymer-based solid polymer electrolytes enable long cycle life of lithium metal batteries. J. Electrochem. Soc. 2020, 167, 110532. [Google Scholar] [CrossRef]
- Hosseinioun, A.; Paillard, E. In situ crosslinked PMMA gel electrolyte from a low viscosity precursor solution for cost-effective, long lasting and sustainable lithium-ion batteries. J. Membr. Sci. 2020, 594, 117456. [Google Scholar] [CrossRef]
- Kong, X.; Rudnicki, P.E.; Choudhury, S.; Bao, Z.; Qin, J. Dendrite suppression by a polymer coating: A coarse-grained molecular study. Adv. Funct. Mater. 2020, 30, 1910138. [Google Scholar] [CrossRef]
- Cheng, X.; Pan, J.; Zhao, Y.; Liao, M.; Peng, H. Gel polymer electrolytes for electrochemical energy storage. Adv. Energy Mater. 2018, 8, 1702184. [Google Scholar] [CrossRef]
- Wang, S.; Zhou, L.; Tufail, M.K.; Yang, L.; Zhai, P.; Chen, R.; Yang, W. In-Situ synthesized Non-flammable gel polymer electrolyte enable highly safe and Dendrite-Free lithium metal batteries. Chem. Eng. J. 2021, 415, 128846. [Google Scholar] [CrossRef]
- Park, S.; Jeong, B.; Lim, D.-A.; Lee, C.H.; Ahn, K.H.; Lee, J.H.; Kim, D.-W. Quasi-solid-state electrolyte synthesized using a thiol–ene click chemistry for rechargeable lithium metal batteries with enhanced safety. ACS Appl. Mater. Interfaces 2020, 12, 19553–19562. [Google Scholar] [CrossRef] [PubMed]
- Ma, C.; Cui, W.; Liu, X.; Ding, Y.; Wang, Y. In situ preparation of gel polymer electrolyte for lithium batteries: Progress and perspectives. InfoMat 2022, 4, e12232. [Google Scholar] [CrossRef]
- Wu, S.; Zheng, H.; Tian, R.; Hei, Z.; Liu, H.; Duan, H. In-situ preparation of gel polymer electrolyte with glass fiber membrane for lithium batteries. J. Power Sources 2020, 472, 228627. [Google Scholar] [CrossRef]
- Niu, C.; Zhang, M.; Chen, G.; Cao, B.; Shi, J.; Du, J.; Chen, Y. An effectively inhibiting lithium dendrite growth in-situ-polymerized gel polymer electrolyte. Electrochim. Acta 2018, 283, 349–356. [Google Scholar] [CrossRef]
- Chen, Y.; Zhang, Y.; Liang, W.; Xu, H.; Dong, Z.; Xu, J.; Lei, C. In situ-prepared poly (ether-ester)-based gel polymer electrolytes for high-performance lithium metal batteries. Commun. Chem. 2022, 58, 11961–11964. [Google Scholar] [CrossRef]
- Chazalviel, J.N. Electrochemical aspects of the generation of ramified metallic electrodeposits. Phys. Rev. A 1990, 42, 7355–7367. [Google Scholar] [CrossRef] [PubMed]
- Evans, J.; Vincent, C.A.; Bruce, P.G. Electrochemical measurement of transference numbers in polymer electrolytes. Polymer 1987, 28, 2324–2328. [Google Scholar] [CrossRef]
- Devaux, D.; Bouchet, R.; Glé, D.; Denoyel, R. Mechanism of ion transport in PEO/LiTFSI complexes: Effect of temperature, molecular weight and end groups. Solid State Ion. 2012, 227, 119–127. [Google Scholar] [CrossRef]
- Devaux, D.; Glé, D.; Phan, T.N.T.; Gigmes, D.; Giroud, E.; Deschamps, M.; Denoyel, R.; Bouchet, R. Optimization of block copolymer electrolytes for lithium metal batteries. Chem. Mater. 2015, 27, 4682–4692. [Google Scholar] [CrossRef]
- Aldalur, I.; Martinez-Ibañez, M.; Piszcz, M.; Rodriguez-Martinez, L.M.; Zhang, H.; Armand, M. Lowering the operational temperature of all-solid-state lithium polymer cell with highly conductive and interfacially robust solid polymer electrolytes. J. Power Sources 2018, 383, 144–149. [Google Scholar] [CrossRef]
- Cheng, X.-B.; Zhang, R.; Zhao, C.-Z.; Zhang, Q. Toward safe lithium metal anode in rechargeable batteries: A review. Chem. Rev. 2017, 117, 10403–10473. [Google Scholar] [CrossRef]
- Wei, Z.; Zhang, Z.; Chen, S.; Wang, Z.; Yao, X.; Deng, Y.; Xu, X. UV-cured polymer electrolyte for LiNi0. 85Co0. 05Al0. 1O2//Li solid state battery working at ambient temperature. Energy Storage Mater. 2019, 22, 337–345. [Google Scholar] [CrossRef]
- Wei, Z.; Chen, S.; Wang, J.; Wang, Z.; Zhang, Z.; Yao, X.; Deng, Y.; Xu, X. Superior lithium ion conduction of polymer electrolyte with comb-like structure via solvent-free copolymerization for bipolar all-solid-state lithium battery. Mater. Chem. A 2018, 6, 13438–13447. [Google Scholar] [CrossRef]
- Wang, B.; Lou, H.; Xu, H.; Zhao, J.; Wang, Q.; Shi, Q.; Deng, Y. High voltage, solvent-free solid polymer electrolyte based on a star-comb PDLLA–PEG copolymer for lithium ion batteries. RSC Adv. 2018, 8, 6373–6380. [Google Scholar] [CrossRef] [PubMed]
- Mindemark, J.; Törmä, E.; Sun, B.; Brandell, D. Copolymers of trimethylene carbonate and ε-caprolactone as electrolytes for lithium-ion batteries. Polymer 2015, 63, 91–98. [Google Scholar] [CrossRef]
- Ellis, B.L.; Lee, K.T.; Nazar, L.F. Positive electrode materials for Li-ion and Li-batteries. Chem. Mater. 2010, 22, 691–714. [Google Scholar] [CrossRef]
- He, W.; Cui, Z.; Liu, X.; Cui, Y.; Chai, J.; Zhou, X.; Liu, Z.; Cui, G. Carbonate-linked poly (ethylene oxide) polymer electrolytes towards high performance solid state lithium batteries. Electrochim. Acta 2017, 225, 151–159. [Google Scholar] [CrossRef]
- Appetecchi, G.B.; Hassoun, J.; Scrosati, B.; Croce, F.; Cassel, F.; Salomon, M. Hot-pressed, dry, composite, PEO-based electrolyte membranes: I. Ionic conductivity characterization. J. Power Sources 2003, 124, 246–253. [Google Scholar] [CrossRef]
- Damen, L.; Hassoun, J.; Mastragostino, M.; Scrosati, B. Solid-state, rechargeable Li/LiFePO4 polymer battery for electric vehicle application. J. Power Sources 2010, 195, 6902–6904. [Google Scholar] [CrossRef]
- Eriksson, T.; Gudla, H.; Manabe, Y.; Yoneda, T.; Friesen, D.; Zhang, C.; Inokuma, Y.; Brandell, D.; Mindemark, J. Carbonyl-Containing Solid Polymer Electrolyte Host Materials: Conduction and Coordination in Polyketone, Polyester, and Polycarbonate Systems. Macromolecules 2022, 55, 10940–10949. [Google Scholar] [CrossRef]
- Wetjen, M.; Navarra, M.A.; Panero, S.; Passerini, S.; Scrosati, B.; Hassoun, J. Composite Poly(ethylene oxide) Electrolytes Plasticized by N-Alkyl-N-butylpyrrolidinium Bis(trifluoromethanesulfonyl)imide for Lithium Batteries. ChemSusChem 2013, 6, 1037–1043. [Google Scholar] [CrossRef] [PubMed]










Disclaimer/Publisher’s Note: The statements, opinions and data contained in all publications are solely those of the individual author(s) and contributor(s) and not of MDPI and/or the editor(s). MDPI and/or the editor(s) disclaim responsibility for any injury to people or property resulting from any ideas, methods, instructions or products referred to in the content. |
© 2023 by the authors. Licensee MDPI, Basel, Switzerland. This article is an open access article distributed under the terms and conditions of the Creative Commons Attribution (CC BY) license (https://creativecommons.org/licenses/by/4.0/).
Share and Cite
Fan, Y.; Wang, H.; Chen, S.; Hou, Y.; Wang, S. An In Situ Prepared Comb-like Polycaprolactone-Based Gel Electrolyte for High-Performance Lithium Metal Batteries. Materials 2023, 16, 2117. https://doi.org/10.3390/ma16052117
Fan Y, Wang H, Chen S, Hou Y, Wang S. An In Situ Prepared Comb-like Polycaprolactone-Based Gel Electrolyte for High-Performance Lithium Metal Batteries. Materials. 2023; 16(5):2117. https://doi.org/10.3390/ma16052117
Chicago/Turabian StyleFan, Yange, Huifeng Wang, Shipeng Chen, Yimin Hou, and Shujiang Wang. 2023. "An In Situ Prepared Comb-like Polycaprolactone-Based Gel Electrolyte for High-Performance Lithium Metal Batteries" Materials 16, no. 5: 2117. https://doi.org/10.3390/ma16052117
APA StyleFan, Y., Wang, H., Chen, S., Hou, Y., & Wang, S. (2023). An In Situ Prepared Comb-like Polycaprolactone-Based Gel Electrolyte for High-Performance Lithium Metal Batteries. Materials, 16(5), 2117. https://doi.org/10.3390/ma16052117

