Printing Formation of Flexible (001)-Oriented PZT Films on Plastic Substrates
Abstract
1. Introduction
2. Materials and Methods
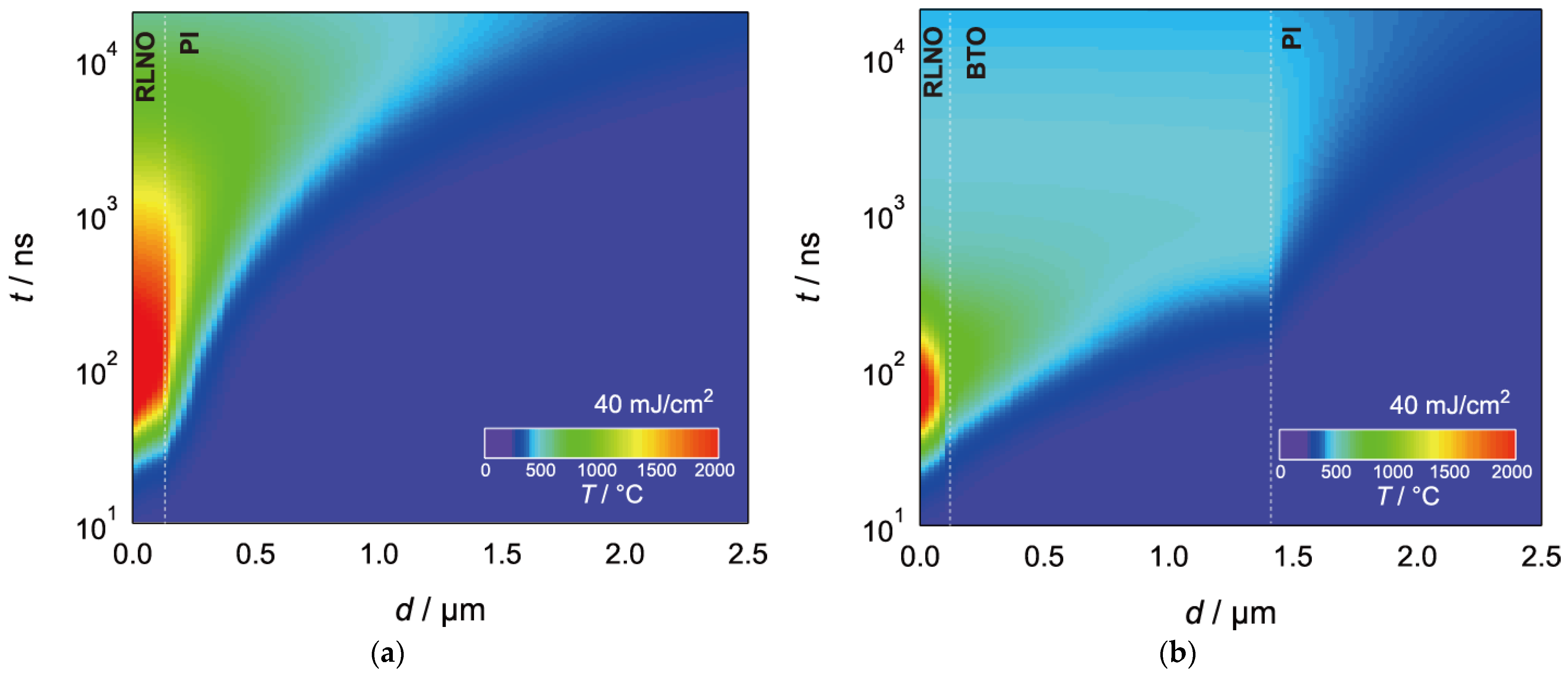
3. Results and Discussion
4. Conclusions
Author Contributions
Funding
Conflicts of Interest
References
- Han, S.T.; Peng, H.; Sun, Q.; Venkatesh, S.; Chung, K.S.; Lau, S.C.; Zhou, Y.; Roy, V.A.L. An Overview of the Development of Flexible Sensors. Adv. Mater. 2017, 29, 1700375. [Google Scholar] [CrossRef] [PubMed]
- Perez, M.V.; Mahaffey, K.W.; Hedlin, H.; Rumsfeld, J.S.; Garcia, A.; Ferris, T.; Balasubramanian, V.; Russo, A.M.; Rajmane, A.; Cheung, L.; et al. Large-Scale Assessment of a Smartwatch to Identify Atrial Fibrillation. N. Engl. J. Med. 2019, 381, 1909–1917. [Google Scholar] [CrossRef] [PubMed]
- Hernando, D.; Roca, S.; Sancho, J.; Alesanco, Á.; Bailón, R. Validation of the Apple Watch for Heart Rate Variability Measurements during Relax and Mental Stress in Healthy Subjects. Sensors 2018, 18, 2619. [Google Scholar] [CrossRef]
- Wasserlauf, J.; You, C.; Patel, R.; Valys, A.; Albert, D.; Passman, R. Smartwatch Performance for the Detection and Quantification of Atrial Fibrillation. Circ. Arrhythmia Electrophysiol. 2019, 12, e006834. [Google Scholar] [CrossRef]
- Shcherbina, A.; Mikael Mattsson, C.; Waggott, D.; Salisbury, H.; Christle, J.W.; Hastie, T.; Wheeler, M.T.; Ashley, E.A. Accuracy in Wrist-Worn, Sensor-Based Measurements of Heart Rate and Energy Expenditure in a Diverse Cohort. J. Pers. Med. 2017, 7, 3. [Google Scholar] [CrossRef]
- Turakhia, M.P.; Desai, M.; Hedlin, H.; Rajmane, A.; Talati, N.; Ferris, T.; Desai, S.; Nag, D.; Patel, M.; Kowey, P.; et al. Rationale and Design of a Large-Scale, App-Based Study to Identify Cardiac Arrhythmias Using a Smartwatch: The Apple Heart Study. Am. Heart J. 2019, 207, 66–75. [Google Scholar] [CrossRef]
- Bumgarner, J.M.; Lambert, C.T.; Hussein, A.A.; Cantillon, D.J.; Baranowski, B.; Wolski, K.; Lindsay, B.D.; Wazni, O.M.; Tarakji, K.G. Smartwatch Algorithm for Automated Detection of Atrial Fibrillation. J. Am. Coll. Cardiol. 2018, 71, 2381–2388. [Google Scholar] [CrossRef]
- He, Y.; Wu, D.; Zhou, M.; Zheng, Y.; Wang, T.; Lu, C.; Zhang, L.; Liu, H.; Liu, C. Wearable Strain Sensors Based on a Porous Polydimethylsiloxane Hybrid with Carbon Nanotubes and Graphene. ACS Appl. Mater. Interfaces 2021, 13, 15572–15583. [Google Scholar] [CrossRef]
- He, Y.; Wu, D.; Zhou, M.; Liu, H.; Zhang, L.; Chen, Q.; Yao, B.; Yao, D.; Jiang, D.; Liu, C.; et al. Effect of MoO3/Carbon Nanotubes on Friction and Wear Performance of Glass Fabric-Reinforced Epoxy Composites under Dry Sliding. Appl. Surf. Sci. 2020, 506, 144946. [Google Scholar] [CrossRef]
- Nakajima, T.; Fujio, Y.; Sugahara, T.; Tsuchiya, T. Flexible Ceramic Film Sensors for Free-Form Devices. Sensors 2022, 22, 1996. [Google Scholar] [CrossRef] [PubMed]
- Nakajima, T.; Tsuchiya, T. Ultrafine-Fiber Thermistors for Microscale Biomonitoring. J. Mater. Chem. C 2023, 11, 2089–2097. [Google Scholar] [CrossRef]
- Hu, B.; Chen, W.; Zhou, J. High Performance Flexible Sensor Based on Inorganic Nanomaterials. Sens. Actuators B Chem. 2013, 176, 522–533. [Google Scholar] [CrossRef]
- Gao, W.; Zhu, Y.; Wang, Y.; Yuan, G.; Liu, J.M. A Review of Flexible Perovskite Oxide Ferroelectric Films and Their Application. J. Mater. 2020, 6, 1–16. [Google Scholar] [CrossRef]
- Nakajima, T.; Tsuchiya, T. Ultrathin Highly Flexible Featherweight Ceramic Temperature Sensor Arrays. ACS Appl. Mater. Interfaces 2020, 12, 36600–36608. [Google Scholar] [CrossRef] [PubMed]
- Nakajima, T.; Hanawa, S.; Tsuchiya, T. Highly Stable Flexible Thermistor Properties of Spinel Mn-Co-Ni Oxide Films on Silver/Carbon Micro-Pinecone Array Composite Electrodes. J. Appl. Phys. 2017, 122, 135309. [Google Scholar] [CrossRef]
- Nakajima, T.; Tsuchiya, T. Flexible Thermistors: Pulsed Laser-Induced Liquid-Phase Sintering of Spinel Mn-Co-Ni Oxide Films on Polyethylene Terephthalate Sheets. J. Mater. Chem. C 2015, 3, 3809–3816. [Google Scholar] [CrossRef]
- Noheda, B.; Gonzalo, J.; Cross, L.; Guo, R.; Park, S. Tetragonal-to-Monoclinic Phase Transition in a Ferroelectric Perovskite: The Structure. Phys. Rev. B Condens. Matter Mater. Phys. 2000, 61, 8687–8695. [Google Scholar] [CrossRef]
- Park, J.S.; Kim, S.H.; Park, H.D.; Ha, J.; Kang, S.G. Characterization of Sol-Gel Multicoated Thick Pb(Zr0.52,Ti0.48)O3 Films on Platinized Silicon Substrates for Microdevices Applications. Jpn. J. Appl. Phys. 2003, 42, 7497–7501. [Google Scholar] [CrossRef]
- Lin, Y.; Chen, J.; Tavakoli, M.M.; Gao, Y.; Zhu, Y.; Zhang, D.; Kam, M.; He, Z.; Fan, Z. Printable Fabrication of a Fully Integrated and Self-Powered Sensor System on Plastic Substrates. Adv. Mater. 2019, 31, 1804285. [Google Scholar] [CrossRef] [PubMed]
- Jeong, C.K.; Park, K.I.; Son, J.H.; Hwang, G.T.; Lee, S.H.; Park, D.Y.; Lee, H.E.; Lee, H.K.; Byun, M.; Lee, K.J. Self-Powered Fully-Flexible Light-Emitting System Enabled by Flexible Energy Harvester. Energy Environ. Sci. 2014, 7, 4035–4043. [Google Scholar] [CrossRef]
- Gao, T.; Liao, J.; Wang, J.; Qiu, Y.; Yang, Q.; Zhang, M.; Zhao, Y.; Qin, L.; Xue, H.; Xiong, Z.; et al. Highly Oriented BaTiO3 Film Self-Assembled Using an Interfacial Strategy and Its Application as a Flexible Piezoelectric Generator for Wind Energy Harvesting. J. Mater. Chem. A 2015, 3, 9965–9971. [Google Scholar] [CrossRef]
- Park, K.I.; Son, J.H.; Hwang, G.T.; Jeong, C.K.; Ryu, J.; Koo, M.; Choi, I.; Lee, S.H.; Byun, M.; Wang, Z.L.; et al. Highly-Efficient, Flexible Piezoelectric PZT Thin Film Nanogenerator on Plastic Substrates. Adv. Mater. 2014, 26, 2514–2520. [Google Scholar] [CrossRef]
- Tan, Y.S.; Tjandra, T.B.; Song, B. Energy Efficiency Benchmarking Methodology for Mass and High-Mix Low-Volume Productions. Procedia CIRP 2015, 29, 120–125. [Google Scholar] [CrossRef]
- Kocsi, B.; Matonya, M.M.; Pusztai, L.P.; Budai, I. Real-Time Decision-Support System for High-Mix Low-Volume Production Scheduling in Industry 4.0. Processes 2020, 8, 912. [Google Scholar] [CrossRef]
- Nakajima, T.; Shinoda, K.; Tsuchiya, T. UV-Assisted Nucleation and Growth of Oxide Films from Chemical Solutions. Chem. Soc. Rev. 2014, 43, 2027–2041. [Google Scholar] [CrossRef] [PubMed]
- Nakajima, T.; Tsuchiya, T.; Ichihara, M.; Nagai, H.; Kumagai, T. Epitaxial Growth Mechanism for Perovskite Oxide Thin Films under Pulsed Laser Irradiation in Chemical Solution Deposition Process. Chem. Mater. 2008, 20, 7344–7351. [Google Scholar] [CrossRef]
- Nakajima, T.; Shinoda, K.; Tsuchiya, T. A Universal Value of Effective Annealing Time for Rapid Oxide Nucleation and Growth under Pulsed Ultraviolet Laser Irradiation. Phys. Chem. Chem. Phys. 2013, 15, 14384–14389. [Google Scholar] [CrossRef] [PubMed]
- Nakajima, T.; Tsuchiya, T.; Ichihara, M.; Nagai, H.; Kumagai, T. Effective-Time of Pulsed Photothermal Heating for Polycrystalline Nucleation of Perovskite Oxide Films from an Amorphous Matrix. Appl. Phys. Express 2009, 2, 2–4. [Google Scholar] [CrossRef]
- Bretos, I.; Jiménez, R.; Ricote, J.; Calzada, M.L. Low-Temperature Crystallization of Solution-Derived Metal Oxide Thin Films Assisted by Chemical Processes. Chem. Soc. Rev. 2018, 47, 291–308. [Google Scholar] [CrossRef]
- Bretos, I.; Jiménez, R.; Garcïa-López, J.; Pardos, L.; Calzada, M.L. Photochemical Solution Deposition of Lead-Based Ferroelectric Films: Avoiding the PbO-Excess Addition at Last. Chem. Mater. 2008, 20, 5731–5733. [Google Scholar] [CrossRef]
- Queraltó, A.; Pérez Del Pino, A.; De La Mata, M.; Arbiol, J.; Tristany, M.; Obradors, X.; Puig, T. Ultrafast Epitaxial Growth Kinetics in Functional Oxide Thin Films Grown by Pulsed Laser Annealing of Chemical Solutions. Chem. Mater. 2016, 28, 6136–6145. [Google Scholar] [CrossRef]
- Tan, H.W.; Choong, Y.Y.C.; Kuo, C.N.; Low, H.Y.; Chua, C.K. 3D Printed Electronics: Processes, Materials and Future Trends. Prog. Mater. Sci. 2022, 127, 100945. [Google Scholar] [CrossRef]
- Kamyshny, A.; Magdassi, S. Conductive Nanomaterials for Printed Electronics. Small 2014, 10, 3515–3535. [Google Scholar] [CrossRef] [PubMed]
- Beedasy, V.; Smith, P.J. Printed Electronics as Prepared by Inkjet Printing. Materials 2020, 13, 704. [Google Scholar] [CrossRef] [PubMed]
- Khan, Y.; Thielens, A.; Muin, S.; Ting, J.; Baumbauer, C.; Arias, A.C. A New Frontier of Printed Electronics: Flexible Hybrid Electronics. Adv. Mater. 2020, 32, 1905279. [Google Scholar] [CrossRef] [PubMed]
- Armstrong, A.R.; Anderson, P.A. Synthesis and Structure of a New Layered Niobium Blue Bronze: Rb2LaNb2O7. Inorg. Chem. 1994, 33, 4366–4369. [Google Scholar] [CrossRef]
- Hase, I.; Nishihara, Y. Electronic Structure of the Superconducting Layered Perovskite Niobate. Phys. Rev. B Condens. Matter Mater. Phys. 1998, 58, R1707–R1709. [Google Scholar] [CrossRef]
- Nakajima, T.; Tsuchiya, T.; Kumagai, T. Perfect Uniaxial Growth of Dion-Jacobson Perovskite RbLaNb2O7 Thin Films under Pulsed Photothermal Gradient Heating. Cryst. Growth Des. 2010, 10, 4861–4867. [Google Scholar] [CrossRef]
- Nakajima, T.; Tsuchiya, T.; Kumagai, T. Facile On-Demand Oriented Growth of Perovskite Oxide Thin Films: Applications of Dion-Jacobson Phase as Seed Layer. CrystEngComm 2011, 13, 158–166. [Google Scholar] [CrossRef]
- Lotgering, F.K. Topotactical Reactions with Ferrimagnetic Oxides Having Hexagonal Crystal Structures-II. J. Inorg. Nucl. Chem. 1960, 16, 100–108. [Google Scholar] [CrossRef]
- Liu, M.; Yu, S.; He, L.; Ni, Y. Recent Progress on Crack Pattern Formation in Thin Films. Soft Matter 2022, 18, 5906–5927. [Google Scholar] [CrossRef] [PubMed]
- Jung, H.M.; Um, S. Modification of Electrical and Surface Properties of V2O 3 Multilayer Films on Resin-Impregnated Highly Oriented Pyrolytic Graphite Composite Substrates by Shrinkage Stress Relaxation with Chemical Additives. Thin Solid Films 2013, 548, 98–102. [Google Scholar] [CrossRef]
- Kappert, E.J.; Pavlenko, D.; Malzbender, J.; Nijmeijer, A.; Benes, N.E.; Tsai, P.A. Formation and Prevention of Fractures in Sol-Gel-Derived Thin Films. Soft Matter 2015, 11, 882–888. [Google Scholar] [CrossRef] [PubMed]
- Seghir, R.; Arscott, S. Controlled Mud-Crack Patterning and Self-Organized Cracking of Polydimethylsiloxane Elastomer Surfaces. Sci. Rep. 2015, 5, 14787. [Google Scholar] [CrossRef]
- He, M.Y.; Evans, A.G.; Hutchinson, J.W. Ratcheting of Compressed Thermally Grown Thin Films on Ductile Substrates. Acta Mater. 2000, 48, 2593–2601. [Google Scholar] [CrossRef]
- Nakajima, T.; Nakamura, T.; Tsuchiya, T. The Significant Effect of Heterojunction Quality on Photoelectrochemical Water Splitting in Bilayer Photoelectrodes: RbxWO3 Thin Films on RbLaNb2O7 Layers. Phys. Chem. Chem. Phys. 2014, 16, 26901–26908. [Google Scholar] [CrossRef] [PubMed]









Disclaimer/Publisher’s Note: The statements, opinions and data contained in all publications are solely those of the individual author(s) and contributor(s) and not of MDPI and/or the editor(s). MDPI and/or the editor(s) disclaim responsibility for any injury to people or property resulting from any ideas, methods, instructions or products referred to in the content. |
© 2023 by the authors. Licensee MDPI, Basel, Switzerland. This article is an open access article distributed under the terms and conditions of the Creative Commons Attribution (CC BY) license (https://creativecommons.org/licenses/by/4.0/).
Share and Cite
Nakajima, T.; Kitanaka, Y. Printing Formation of Flexible (001)-Oriented PZT Films on Plastic Substrates. Materials 2023, 16, 2116. https://doi.org/10.3390/ma16052116
Nakajima T, Kitanaka Y. Printing Formation of Flexible (001)-Oriented PZT Films on Plastic Substrates. Materials. 2023; 16(5):2116. https://doi.org/10.3390/ma16052116
Chicago/Turabian StyleNakajima, Tomohiko, and Yuuki Kitanaka. 2023. "Printing Formation of Flexible (001)-Oriented PZT Films on Plastic Substrates" Materials 16, no. 5: 2116. https://doi.org/10.3390/ma16052116
APA StyleNakajima, T., & Kitanaka, Y. (2023). Printing Formation of Flexible (001)-Oriented PZT Films on Plastic Substrates. Materials, 16(5), 2116. https://doi.org/10.3390/ma16052116

