Research on Recycling of Phosphorus Tailings Powder in Open-Graded Friction Course Asphalt Concrete
Abstract
1. Introduction
2. Materials and Methods
2.1. Phosphate Tailing Pretreatment
2.2. Modifier in Asphalt Mortar
2.3. Ingredient Replacement in OGFC Asphalt Mixture
3. Results and Discussion
3.1. Performances of Pretreated Phosphate Tailings
3.1.1. Chemical Composition
3.1.2. Surface Structure
3.1.3. Size Distribution
3.2. Characterization of Phosphate-Tailing-Modified Asphalt Mortar
3.2.1. Basic Physical Properties
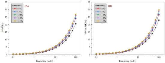
3.2.2. Rheological Performance
3.3. Moisture Damage Resistance in OPGC-16
4. Conclusions
Author Contributions
Funding
Institutional Review Board Statement
Informed Consent Statement
Data Availability Statement
Conflicts of Interest
References
- Shengjian, L.I.N.; Feng, R.A.O.; Yanjin, Z.; Jing, L.I. Research Progress on Resource Utilization of Phosphorus Tailings, Phosphogypsum and Yellow Phosphorous Slag by Geological Polymerization. Conserv. Util. Miner. Resour. 2021, 41, 150–156. [Google Scholar]
- Huang, T.; Peng, Q.; Yu, L.; Li, D. The detoxification of heavy metals in the phosphate tailing-contaminated soil through sequential microbial pretreatment and electrokinetic remediation. Soil Sediment Contam. Int. J. 2017, 26, 308–322. [Google Scholar] [CrossRef]
- Zhang, H.; Jin, L.; Wu, H.; Zhang, Z.; Yu, J.; Zhang, W.; Pan, Y.; Pan, Z. Preparation of a novel organic phosphonic acid intercalated phosphate tailings based hydrotalcite and its application in enhancing fire safety for epoxy resin. Polymers 2022, 14, 725. [Google Scholar] [CrossRef]
- Loutou, M.; Misrar, W.; Koudad, M.; Mansori, M.; Grase, L.; Favotto, C.; Taha, Y.; Hakkou, R. Phosphate mine tailing recycling in membrane filter manufacturing: Microstructure and filtration suitability. Minerals 2019, 9, 318. [Google Scholar] [CrossRef]
- Perumal, P.; Piekkari, K.; Sreenivasan, H.; Kinnunen, P.; Illikainen, M. One-part geopolymers from mining residues–Effect of thermal treatment on three different tailings. Miner. Eng. 2019, 144, 106026. [Google Scholar] [CrossRef]
- Chen, Y.; Wei, Z.; Irfan, M.; Xu, J.; Yang, Y. Laboratory investigation of the relationship between electrical resistivity and geotechnical properties of phosphate tailings. Measurement 2018, 126, 289–298. [Google Scholar] [CrossRef]
- Gnandi, K.; Rezaie Boroon, M.; Edorh, P. The geochemical characterization of mine effluents from the phosphorite processing plant of Kpémé (southern Togo). Mine Water Environ. 2009, 28, 65–73. [Google Scholar] [CrossRef]
- Gnandi, K.; Tchangbedji, G.; Killi, K.; Baba, G.; Abbe, K. The impact of phosphate mine tailings on the bioaccumulation of heavy metals in marine fish and crustaceans from the coastal zone of Togo. Mine Water Environ. 2006, 25, 56–62. [Google Scholar] [CrossRef]
- Zhang, J.; He, A.; Li, G.; You, D.; Zhang, L.; Peng, X. Status and Prospect of Comprehensive Utilization Technology of Calcium-magnesium Phosphate Tailings. Multipurp. Util. Miner. Resour. 2021, 2, 199–203. [Google Scholar]
- Wu, J.; Li, J.; Rao, F.; Yin, W. Mechanical property and structural evolution of alkali-activated slag-phosphate mine tailings mortars. Chemosphere 2020, 251, 126367. [Google Scholar] [CrossRef]
- Nie, Y.; Dai, J.; Hou, Y.; Zhu, Y.; Wang, C.; He, D.; Mei, Y. An efficient and environmentally friendly process for the reduction of SO2 by using waste phosphate mine tailings as adsorbent. J. Hazard. Mater. 2020, 388, 121748. [Google Scholar] [CrossRef]
- Gu, K.; Lang, L.; Li, D.; Chen, B. Preparation of Magnesium Oxysulfate Cement with Calcined Phosphate Tailings. J. Mater. Civ. Eng. 2022, 34, 04022358. [Google Scholar] [CrossRef]
- Li, M.; Zhang, Z.; Zhu, L.; Wang, F.; Tian, G. Progress on the Utilization of Inert Tailings to Produce Building Materials in China. Met. Mine 2014, 43, 213. [Google Scholar]
- Liu, D.M. Research on application of phosphorus slag in cement. In Applied Mechanics and Materials; Trans Tech Publ.: Zurich, Switzerland, 2012; pp. 1437–1440. [Google Scholar]
- Chen, S.; Zou, Y.; Liu, Q.; Wu, H.; Wu, S. Synthesis of Hydrotalcite from Phosphate Tailings and Its Effect on the Anti-Ultraviolet Aging Properties of Asphalt Binder. J. Mater. Civ. Eng. 2022, 34, 04022230. [Google Scholar] [CrossRef]
- Sharma, N.; Thakur, M.S.; Kumar, R.; Malik, M.A.; Alahmadi, A.A.; Alwetaishi, M.; Alzaed, A.N. Assessing Waste Marble Powder Impact on Concrete Flexural Strength Using Gaussian Process, SVM, and ANFIS. Processes 2022, 10, 2745. [Google Scholar] [CrossRef]
- Sharma, N.; Thakur, M.S.; Sihag, P.; Malik, M.A.; Kumar, R.; Abbas, M.; Saleel, C.A. Machine learning techniques for evaluating concrete strength with waste marble powder. Materials 2022, 15, 5811. [Google Scholar] [CrossRef]
- Qian, G.; Bai, S.; Ju, S.; Huang, T. Laboratory evaluation on recycling waste phosphorus slag as the mineral filler in hot-mix asphalt. J. Mater. Civ. Eng. 2013, 25, 846–850. [Google Scholar] [CrossRef]
- Qian, G.; Wang, K.; Bai, X.; Xiao, T.; Jin, D.; Huang, Q. Effects of surface modified phosphate slag powder on performance of asphalt and asphalt mixture. Constr. Build. Mater. 2018, 158, 1081–1089. [Google Scholar] [CrossRef]
- Sheng, Y.; Zhang, B.; Yan, Y.; Chen, H.; Xiong, R.; Geng, J. Effects of phosphorus slag powder and polyester fiber on performance characteristics of asphalt binders and resultant mixtures. Constr. Build. Mater. 2017, 141, 289–295. [Google Scholar] [CrossRef]
- Wang, D.; Fu, S. Study on Comprehensive Utilization of Phosphorus Slag Modified Asphalt Mixture. Multipurp. Util. Miner. Resour. 2022, 4, 169–174. [Google Scholar]
- Sodeyfi, S.; Kordani, A.A.; Zarei, M. Moisture damage resistance of hot mix asphalt made with recycled rubber materials and determining the optimal percentage with an economic approach. Int. J. Pavement Res. Technol. 2021, 15, 970–986. [Google Scholar] [CrossRef]
- Xin-zhuang, C.; Qing, J.; Na, Z.; Nai-ke, L.; Zhi-jun, G. Experiment on Permeability Model and Water Stability of Damaged Asphalt Mixture. China J. Highw. Transp. 2014, 27, 1. [Google Scholar]
- Ameli, A.; Pakshir, A.H.; Babagoli, R.; Habibpour, A.; Norouzi, N.; Davoudinezhad, S. The effects of gilsonite and crumb rubber on moisture damage resistance of stone matrix asphalt mixtures. Constr. Build. Mater. 2021, 274, 122052. [Google Scholar] [CrossRef]
- Nataadmadja, A.D.; Prahara, E.; Setyandito, O. The effect of hydrated lime addition in improving the moisture resistance of hot mix asphalt (HMA). IOP Conf. Ser. Earth Environ. Sci. 2020, 426, 012023. [Google Scholar] [CrossRef]
- Wang, K. Research on Phosphorus Slag Powder Surface Modification and Its Influence on Performance of Asphalt. Master Thesis, Changsha University of Science and Technology, Changsha, China, 2016. [Google Scholar]
- Wong, T.L.X.; Hasan, M.R.M.; Peng, L.C. Recent development, utilization, treatment and performance of solid wastes additives in asphaltic concrete worldwide: A review. J. Traffic Transp. Eng. (Engl. Ed.) 2022, 9, 693–724. [Google Scholar] [CrossRef]
- Di, J.; Liu, Z. Influence of Fly Ash Substitution for Mineral Powder on High Temperature Stability of Bituminous Mixture. Energy Procedia 2012, 16, 91–96. [Google Scholar] [CrossRef]
- Singh, B.; Jain, S. Effect of lime and cement fillers on moisture susceptibility of cold mix asphalt. Road Mater. Pavement Des. 2022, 23, 2433–2449. [Google Scholar] [CrossRef]
- Zhu, X.; Ye, F.; Cai, Y.; Birgisson, B.; Lee, K. Self-healing properties of ferrite-filled open-graded friction course (OGFC) asphalt mixture after moisture damage. J. Clean. Prod. 2019, 232, 518–530. [Google Scholar] [CrossRef]
- Zhi-gang, Z.; Zhu, G.; Gen-chuan, L.; Wen-sheng, Y.; Zhi-feng, Y. Effect of moisture and overload on interfacial shear fatigue life between asphalt overlayer and cement concrete pavement. China J. Highw. Transp. 2017, 30, 9. [Google Scholar]
- Bo, L.; Yong-ning, W.; Zhen-feng, L.; Xiao-hui, L.; Xiao-min, L. Moisture susceptibility of warm mix asphalt and binders after short-term aging process. China J. Highw. Transp. 2017, 30, 39. [Google Scholar]











| Test Items | Test Result | Specification | |
|---|---|---|---|
| Apparent relative density (g/cm3) | 2.93 | ≥2.5 | |
| Moisture content (%) | 0.3 | ≤1 | |
| Particle size range | <0.6 mm | 100 | 100 |
| <0.15 mm | 99.5 | 90–100 | |
| <0.075 mm | 92.5 | 75–100 | |
| Appearance (caking or not, after drying) | Not | Not | |
| PH value | 9.3 | - | |
| Aperture size (mm) | 19 | 16 | 13.2 | 9.5 | 4.75 | 2.36 | 1.18 | 0.6 | 0.3 | 0.15 | 0.075 |
| Passing percentage (%) | 100 | 92 | 74 | 50 | 16 | 12 | 8 | 6 | 5 | 4 | 3 |
| Volume Average Particle Size (μm) | Surface Area Average Particle Size (μm) | Specific Surface Area (m2/g) | Medium Particle Size (μm) |
|---|---|---|---|
| 24.097 | 4.276 | 1.4 | 14.705 |
| Mixture Type | Marshall Stability (kN) | Stability after 48 h Soaking (kN) | Residue Marshall Stability (%) | Unfrozen Splitting Strength (MPa) | Frozen Splitting Strength (MPa) | Tensile Strength Ratio (%) |
|---|---|---|---|---|---|---|
| Asphalt mixture with mineral powder | 9.87 | 8.36 | 84.70 | 0.86 | 0.68 | 79.07 |
| Asphalt mixture with phosphate tailings | 9.92 | 8.76 | 88.31 | 0.92 | 0.76 | 82.61 |
Disclaimer/Publisher’s Note: The statements, opinions and data contained in all publications are solely those of the individual author(s) and contributor(s) and not of MDPI and/or the editor(s). MDPI and/or the editor(s) disclaim responsibility for any injury to people or property resulting from any ideas, methods, instructions or products referred to in the content. |
© 2023 by the authors. Licensee MDPI, Basel, Switzerland. This article is an open access article distributed under the terms and conditions of the Creative Commons Attribution (CC BY) license (https://creativecommons.org/licenses/by/4.0/).
Share and Cite
Xiao, Y.; Ju, X.; Li, C.; Wang, T.; Wu, R. Research on Recycling of Phosphorus Tailings Powder in Open-Graded Friction Course Asphalt Concrete. Materials 2023, 16, 2000. https://doi.org/10.3390/ma16052000
Xiao Y, Ju X, Li C, Wang T, Wu R. Research on Recycling of Phosphorus Tailings Powder in Open-Graded Friction Course Asphalt Concrete. Materials. 2023; 16(5):2000. https://doi.org/10.3390/ma16052000
Chicago/Turabian StyleXiao, Yue, Xinjiang Ju, Chao Li, Tianlei Wang, and Rui Wu. 2023. "Research on Recycling of Phosphorus Tailings Powder in Open-Graded Friction Course Asphalt Concrete" Materials 16, no. 5: 2000. https://doi.org/10.3390/ma16052000
APA StyleXiao, Y., Ju, X., Li, C., Wang, T., & Wu, R. (2023). Research on Recycling of Phosphorus Tailings Powder in Open-Graded Friction Course Asphalt Concrete. Materials, 16(5), 2000. https://doi.org/10.3390/ma16052000

