Optimization of Coherent Dynamics of Localized Surface Plasmons in Gold and Silver Nanospheres; Large Size Effects
Abstract
1. Introduction
2. Classical Picture Based on Maxwell’s Equations
2.1. Mie Scattering Theory versus Dispersion Relation (DR) for Surface Localized EM Fields
2.2. Dispersion Relation and the Resulting Oscillation Energies and Damping Rates of Plasmonic Cavity Modes Versus Metal NP’s Radius
3. The Plasmonic Quasi-Particle Decay Dynamics
3.1. The Density Matrix Operator and Quantum Master Equation
3.2. The Hamiltonian of the Uncoupled System
3.3. Relaxation Processes
4. Linking the Results of the Classical EM and Quantum Modelling
4.1. Size Dependence of the Damping Rates of Coherences and Population
4.2. Transient Decay Dynamics of a Plasmonic System
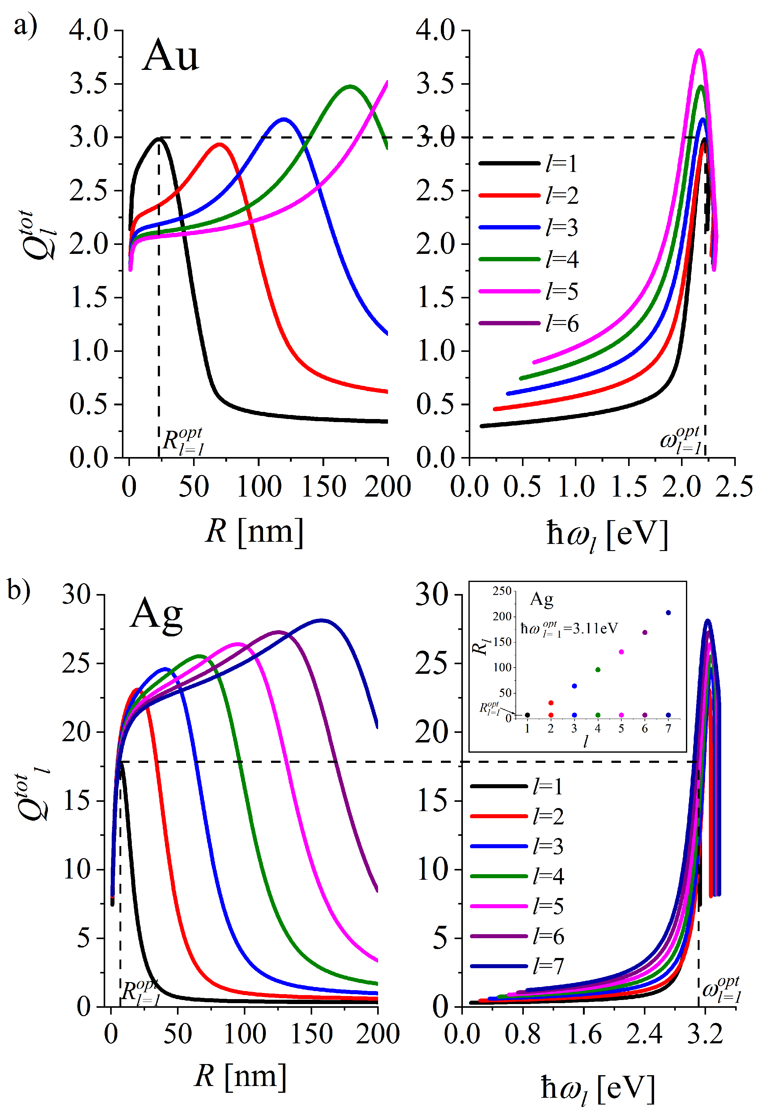
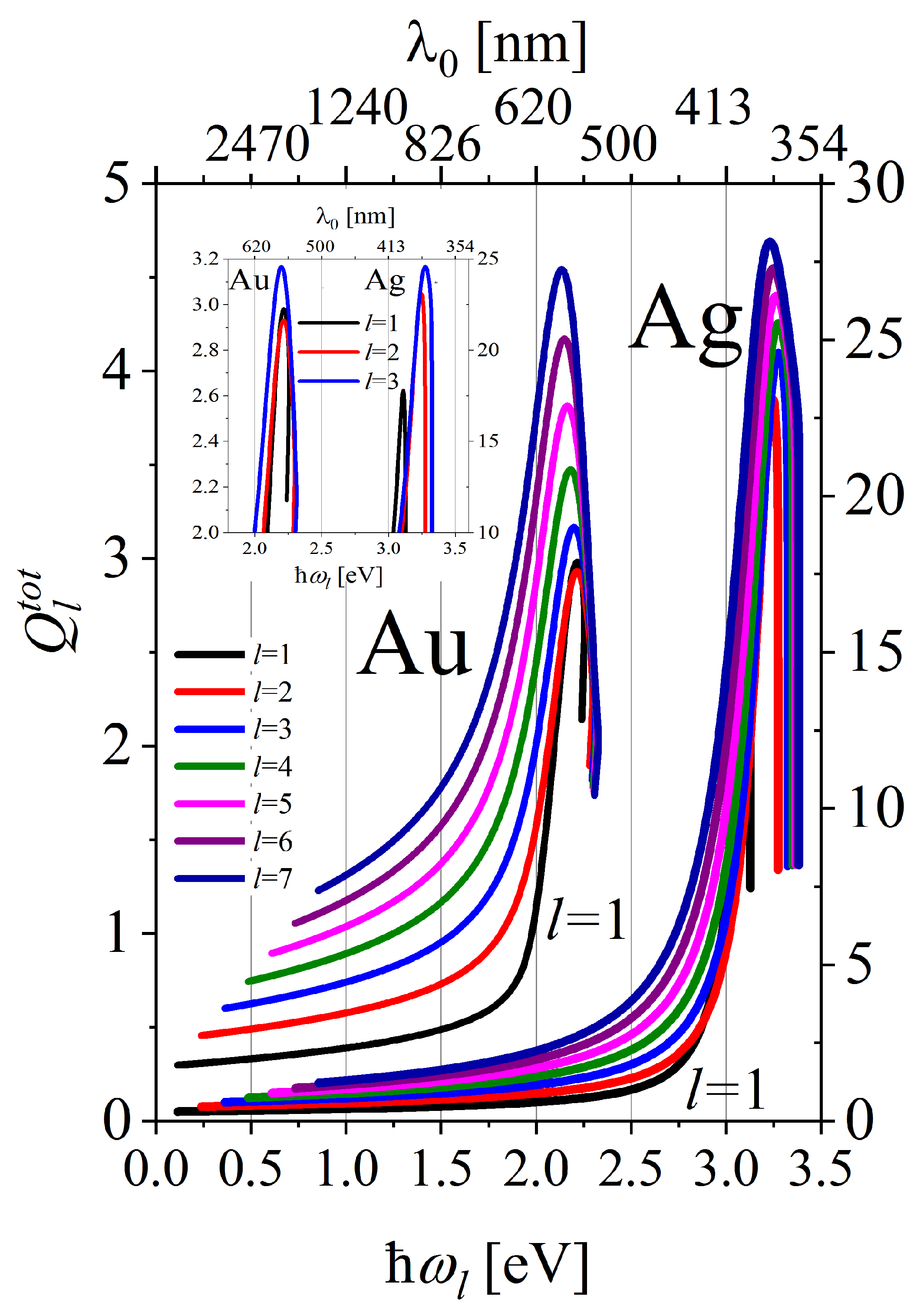
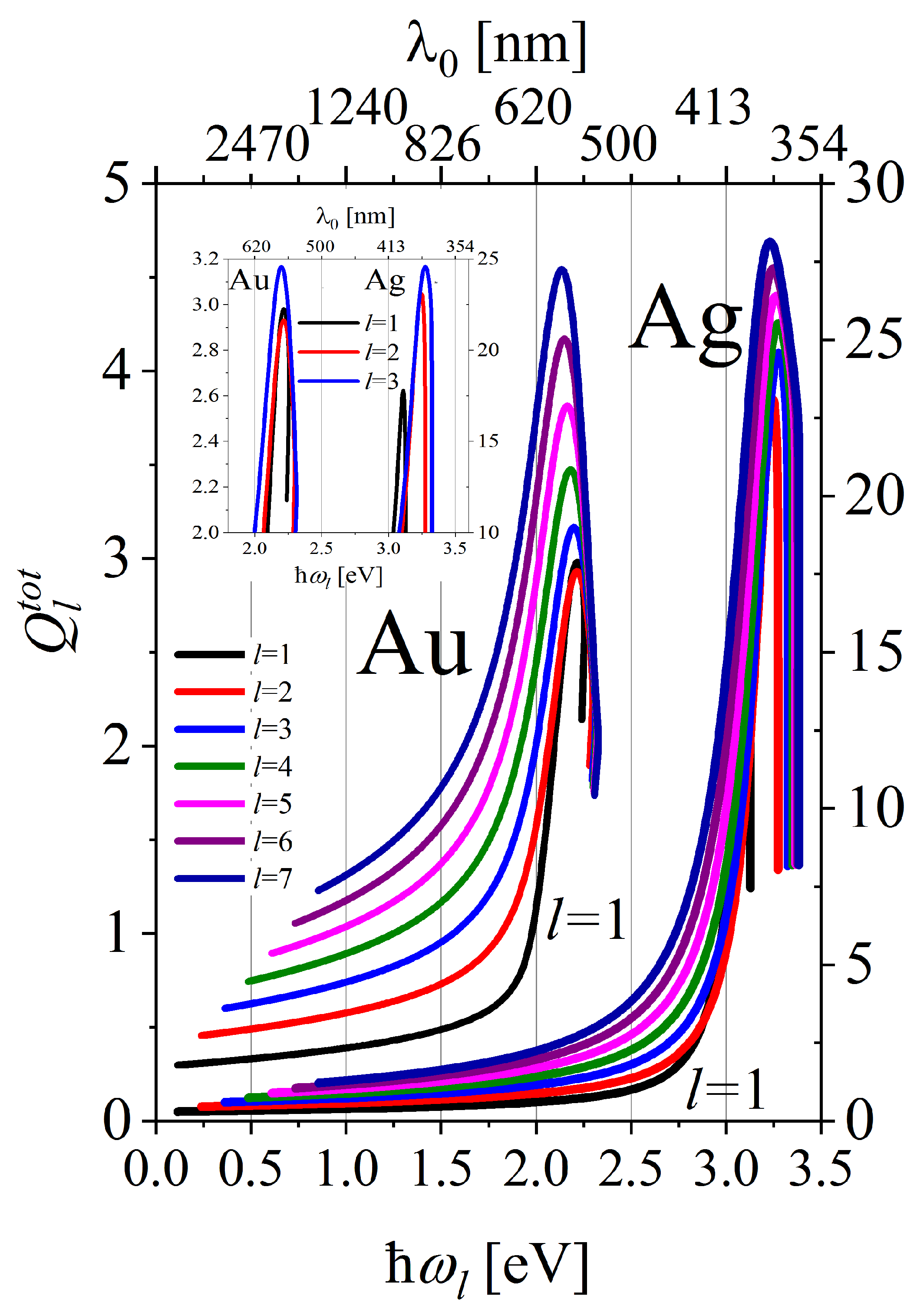
5. Quality Factors of LSP Cavity
Optimization of the Quality Factors for Gold and Silver NPs with Respect to Spectral Range and Size
6. Conclusions
Funding
Institutional Review Board Statement
Informed Consent Statement
Data Availability Statement
Acknowledgments
Conflicts of Interest
References
- Pastoriza-Santos, I.; Kinnear, C.; Pérez-Juste, J.; Mulvaney, P.; Liz-Marzán, L.M. Plasmonic polymer nanocomposites. Nat. Rev. Mater. 2018, 3, 375–391. [Google Scholar] [CrossRef]
- Singh, M.K.; Mishra, R.; Prakash, R.; Yi, J.; Heo, J.; Pandey, R.K. Large-area metal surface plasmon–polymer coupled nanocomposite thin film at air–liquid interface for low voltage operated high-performance photodetector. Prog. Org. Coatings 2023, 174, 107231. [Google Scholar] [CrossRef]
- Vinci, G.; Rapa, M. Noble metal nanoparticles applications: Recent trends in food control. Bioengineering 2019, 6, 10. [Google Scholar] [CrossRef]
- Yu, L.; Li, N. Noble metal nanoparticles-based colorimetric biosensor for visual quantification: A mini review. Chemosensors 2019, 7, 53. [Google Scholar] [CrossRef]
- Klębowski, B.; Depciuch, J.; Parlińska-Wojtan, M.; Baran, J. Applications of noble metal-based nanoparticles in medicine. Int. J. Mol. Sci. 2018, 19, 4031. [Google Scholar] [CrossRef]
- Barbillon, G. Plasmonics and its Applications. Materials 2019, 12, 1502. [Google Scholar] [CrossRef]
- Yaqoob, A.A.; Umar, K.; Ibrahim, M.N.M. Silver nanoparticles: Various methods of synthesis, size affecting factors and their potential applications—A review. Appl. Nanosci. 2020, 10, 1369–1378. [Google Scholar] [CrossRef]
- Chandrakala, V.; Aruna, V.; Angajala, G. Review on metal nanoparticles as nanocarriers: Current challenges and perspectives in drug delivery systems. Emergent Mater. 2022, 5, 1593–1615. [Google Scholar] [CrossRef]
- Schuller, J.A.; Barnard, E.S.; Cai, W.; Jun, Y.C.; White, J.S.; Brongersma, M.L. Plasmonics for extreme light concentration and manipulation. Nat. Mater. 2010, 9, 193–204. [Google Scholar] [CrossRef]
- Liu, J.; He, H.; Xiao, D.; Yin, S.; Ji, W.; Jiang, S.; Luo, D.; Wang, B.; Liu, Y. Recent advances of plasmonic nanoparticles and their applications. Materials 2018, 11, 1833. [Google Scholar] [CrossRef]
- Barnes, W.L.; Dereux, A.; Ebbesen, T.W. Surface plasmon subwavelength optics. Nature 2003, 424, 824–830. [Google Scholar] [CrossRef]
- Kolwas, K.; Derkachova, A. Modification of solar energy harvesting in photovoltaic materials by plasmonic nanospheres: New absorption bands in perovskite composite film. J. Phys. Chem. C 2017, 121, 4524–4539. [Google Scholar] [CrossRef]
- Gargiulo, J.; Berté, R.; Li, Y.; Maier, S.A.; Cortés, E. From optical to chemical hot spots in plasmonics. Accounts Chem. Res. 2019, 52, 2525–2535. [Google Scholar] [CrossRef]
- Bitton, O.; Gupta, S.N.; Haran, G. Quantum dot plasmonics: From weak to strong coupling. Nanophotonics 2019, 8, 559–575. [Google Scholar] [CrossRef]
- Kolwas, K.; Derkachova, A. Impact of the interband transitions in gold and silver on the dynamics of propagating and localized surface plasmons. Nanomaterials 2020, 10, 1411. [Google Scholar] [CrossRef]
- Utyushev, A.D.; Zakomirnyi, V.I.; Rasskazov, I.L. Collective lattice resonances: Plasmonics and beyond. Rev. Phys. 2021, 6, 100051. [Google Scholar] [CrossRef]
- Rider, M.S.; Buendía, Á.; Abujetas, D.R.; Huidobro, P.A.; Sánchez-Gil, J.A.; Giannini, V. Advances and Prospects in Topological Nanoparticle Photonics. ACS Photonics 2022, 9, 1483–1499. [Google Scholar] [CrossRef]
- Asl, M.B.; Karamdel, J.; Khoshbaten, M.; Rostami, A. Plasmonic biosensor for early gastric cancer detection. Opt. Contin. 2022, 1, 2043–2061. [Google Scholar]
- Mandal, P. Application of plasmonics in solar cell efficiency improvement: A brief review on recent progress. Plasmonics 2022, 17, 1247–1267. [Google Scholar] [CrossRef]
- Mackens, U.; Heitmann, D.; Prager, L.; Kotthaus, J.; Beinvogl, W. Minigaps in the plasmon dispersion of a two-dimensional electron gas with spatially modulated charge density. Phys. Rev. Lett. 1984, 53, 1485. [Google Scholar] [CrossRef]
- Liebsch, A. Surface-plasmon dispersion and size dependence of Mie resonance: Silver versus simple metals. Phys. Rev. B 1993, 48, 11317. [Google Scholar] [CrossRef]
- Wang, Z. Valence electron excitations and plasmon oscillations in thin films, surfaces, interfaces and small particles. Micron 1996, 27, 265–299. [Google Scholar] [CrossRef]
- Pareek, V.; Bhargava, A.; Gupta, R.; Jain, N.; Panwar, J. Synthesis and applications of noble metal nanoparticles: A review. Adv. Sci. Eng. Med. 2017, 9, 527–544. [Google Scholar] [CrossRef]
- Khurana, K.; Jaggi, N. Localized surface plasmonic properties of Au and Ag nanoparticles for sensors: A review. Plasmonics 2021, 16, 981–999. [Google Scholar] [CrossRef]
- Kolwas, K.; Derkachova, A.; Shopa, M. Size characteristics of surface plasmons and their manifestation in scattering properties of metal particles. J. Quant. Spectrosc. Radiat. Transf. 2009, 110, 1490–1501. [Google Scholar] [CrossRef]
- Klar, T.; Perner, M.; Grosse, S.; Von Plessen, G.; Spirkl, W.; Feldmann, J. Surface-plasmon resonances in single metallic nanoparticles. Phys. Rev. Lett. 1998, 80, 4249. [Google Scholar] [CrossRef]
- Stietz, F.; Bosbach, J.; Wenzel, T.; Vartanyan, T.; Goldmann, A.; Träger, F. Decay times of surface plasmon excitation in metal nanoparticles by persistent spectral hole burning. Phys. Rev. Lett. 2000, 84, 5644. [Google Scholar] [CrossRef]
- Sönnichsen, C.; Franzl, T.; Wilk, T.; von Plessen, G.; Feldmann, J.; Wilson, O.; Mulvaney, P. Drastic reduction of plasmon damping in gold nanorods. Phys. Rev. Lett. 2002, 88, 77402. [Google Scholar] [CrossRef]
- Baida, H.; Billaud, P.; Marhaba, S.; Christofilos, D.; Cottancin, E.; Crut, A.; Lerme, J.; Maioli, P.; Pellarin, M.; Broyer, M.; et al. Quantitative determination of the size dependence of surface plasmon resonance damping in single Ag@ SiO2 nanoparticles. Nano Lett. 2009, 9, 3463–3469. [Google Scholar] [CrossRef]
- Hubenthal, F.; Hendrich, C.; Träger, F. Damping of the localized surface plasmon polariton resonance of gold nanoparticles. Appl. Phys. B 2010, 100, 225–230. [Google Scholar] [CrossRef]
- Xu, Y.; Qin, Y.; Lang, P.; Ji, B.; Song, X.; Lin, J. Flexible manipulation of plasmon dephasing time via the adjustable Fano asymmetric dimer. Photonics Res. 2022, 10, 2267–2277. [Google Scholar] [CrossRef]
- Luce no-Sánchez, J.A.; Díez-Pascual, A.M.; Pe na Capilla, R. Materials for photovoltaics: State of art and recent developments. Int. J. Mol. Sci. 2019, 20, 976. [Google Scholar] [CrossRef]
- Echtermeyer, T.; Milana, S.; Sassi, U.; Eiden, A.; Wu, M.; Lidorikis, E.; Ferrari, A. Surface plasmon polariton graphene photodetectors. Nano Lett. 2016, 16, 8–20. [Google Scholar] [CrossRef]
- Yang, L.B.; Chen, G.Y.; Wang, J.; Wang, T.T.; Li, M.Q.; Liu, J.H. Sunlight-induced formation of silver-gold bimetallic nanostructures on DNA template for highly active surface enhanced Raman scattering substrates and application in TNT/tumor marker detection. J. Mater. Chem. 2009, 19, 6849–6856. [Google Scholar] [CrossRef]
- Yaqoob, A.A.; Parveen, T.; Umar, K.; Mohamad Ibrahim, M.N. Role of nanomaterials in the treatment of wastewater: A review. Water 2020, 12, 495. [Google Scholar] [CrossRef]
- Martirez, J.M.P.; Bao, J.L.; Carter, E.A. First-principles insights into plasmon-induced catalysis. Annu. Rev. Phys. Chem. 2021, 72, 99–119. [Google Scholar] [CrossRef]
- Sönnichsen, C.; Franzl, T.; Wilk, T.; Von Plessen, G.; Feldmann, J. Plasmon resonances in large noble-metal clusters. New J. Phys. 2002, 4, 93. [Google Scholar] [CrossRef]
- Haiss, W.; Thanh, N.T.; Aveyard, J.; Fernig, D.G. Determination of size and concentration of gold nanoparticles from UV- Vis spectra. Anal. Chem. 2007, 79, 4215–4221. [Google Scholar] [CrossRef]
- Njoki, P.N.; Lim, I.I.S.; Mott, D.; Park, H.Y.; Khan, B.; Mishra, S.; Sujakumar, R.; Luo, J.; Zhong, C.J. Size correlation of optical and spectroscopic properties for gold nanoparticles. J. Phys. Chem. C 2007, 111, 14664–14669. [Google Scholar] [CrossRef]
- Kolwas, K.; Demianiuk, S.; Kolwas, M. Dipole and quadrupole plasmon resonances in large sodium clusters observed in scattered light. J. Chem. Phys. 1997, 106, 8436–8441. [Google Scholar] [CrossRef]
- Kolwas, K.; Demianiuk, S.; Kolwas, M. Optical excitation of radius-dependent plasmon resonances in large metal clusters. J. Phys. B At. Mol. Opt. Phys. 1996, 29, 4761. [Google Scholar] [CrossRef]
- Kolwas, K. Decay dynamics of localized surface plasmons: Damping of coherences and populations of the oscillatory Plasmon modes. Plasmonics 2019, 14, 1629–1637. [Google Scholar] [CrossRef]
- Pearle, P. Simple derivation of the Lindblad equation. Eur. J. Phys. 2012, 33, 805. [Google Scholar] [CrossRef]
- Manzano, D. A short derivation of the Lindblad equation. AIP Adv. 2020, 10, 025106. [Google Scholar] [CrossRef]
- Mishchenko, M.I. Gustav Mie and the fundamental concept of electromagnetic scattering by particles: A perspective. J. Quant. Spectrosc. Radiat. Transf. 2009, 110, 1210–1222. [Google Scholar] [CrossRef]
- Born, M.; Wolf, E. Principles of Optics: Electromagnetic Theory of Propagation, Interference and Diffraction of Light; Cambridge University Press: Cambridge, UK, 1999. [Google Scholar]
- Fuchs, R.; Halevi, P. Spatial Dispersion in Solids and Plasmas; North-Holland: Amsterdam, The Netherlands, 1992. [Google Scholar]
- Kolwas, K.; Derkachova, A.; Demianiuk, S. The smallest free-electron sphere sustaining multipolar surface plasmon oscillation. Comput. Mater. Sci. 2006, 35, 337–341. [Google Scholar] [CrossRef]
- Derkachova, A.; Kolwas, K.; Demchenko, I. Dielectric function for gold in plasmonics applications: Size dependence of plasmon resonance frequencies and damping rates for nanospheres. Plasmonics 2016, 11, 941–951. [Google Scholar] [CrossRef]
- Demtröder, W. Laser Spectroscopy. In Basic concepts and instrumentation; Springer: Berlin/Heidelberg, Germany; New York, NY, USA, 1982. [Google Scholar]
- Breuer, H.P.; Petruccione, F. The Theory of Open Quantum Systems; Oxford University Press: Oxford, UK, 2002. [Google Scholar]
- Rivas, A.; Huelga, S.F. Open Quantum Systems, An Introduction; Springer: Berlin/Heidelberg, Germany; Dordrecht, The Netherlands; London, UK; New York, NY, USA, 2012. [Google Scholar]
- Dirac, P.A.M. The quantum theory of the emission and absorption of radiation. Proc. R. Soc. London. Ser. A Contain. Pap. Math. Phys. Character 1927, 114, 243–265. [Google Scholar]
- Larson, J.; Mavrogordatos, T.K. The Jaynes—Cummings model and its descendants. arXiv 2022, arXiv:2202.00330. [Google Scholar]








| l | [nm] | [eV] | [nm] | |
|---|---|---|---|---|
| Au | 1 | 23 | 2.216 | 560 (green) |
| 2 | 70 | 2.16 | 560 (green) | |
| Ag | 1 | 7 | 3.11 | 399 (violet) |
| 2 | 20 | 3.24 | 383 (violet) |
Disclaimer/Publisher’s Note: The statements, opinions and data contained in all publications are solely those of the individual author(s) and contributor(s) and not of MDPI and/or the editor(s). MDPI and/or the editor(s) disclaim responsibility for any injury to people or property resulting from any ideas, methods, instructions or products referred to in the content. |
© 2023 by the author. Licensee MDPI, Basel, Switzerland. This article is an open access article distributed under the terms and conditions of the Creative Commons Attribution (CC BY) license (https://creativecommons.org/licenses/by/4.0/).
Share and Cite
Kolwas, K. Optimization of Coherent Dynamics of Localized Surface Plasmons in Gold and Silver Nanospheres; Large Size Effects. Materials 2023, 16, 1801. https://doi.org/10.3390/ma16051801
Kolwas K. Optimization of Coherent Dynamics of Localized Surface Plasmons in Gold and Silver Nanospheres; Large Size Effects. Materials. 2023; 16(5):1801. https://doi.org/10.3390/ma16051801
Chicago/Turabian StyleKolwas, Krystyna. 2023. "Optimization of Coherent Dynamics of Localized Surface Plasmons in Gold and Silver Nanospheres; Large Size Effects" Materials 16, no. 5: 1801. https://doi.org/10.3390/ma16051801
APA StyleKolwas, K. (2023). Optimization of Coherent Dynamics of Localized Surface Plasmons in Gold and Silver Nanospheres; Large Size Effects. Materials, 16(5), 1801. https://doi.org/10.3390/ma16051801
