Polarization Control in Integrated Graphene-Silicon Quantum Photonics Waveguides
Abstract
1. Introduction
2. Device Layout and Design Strategy
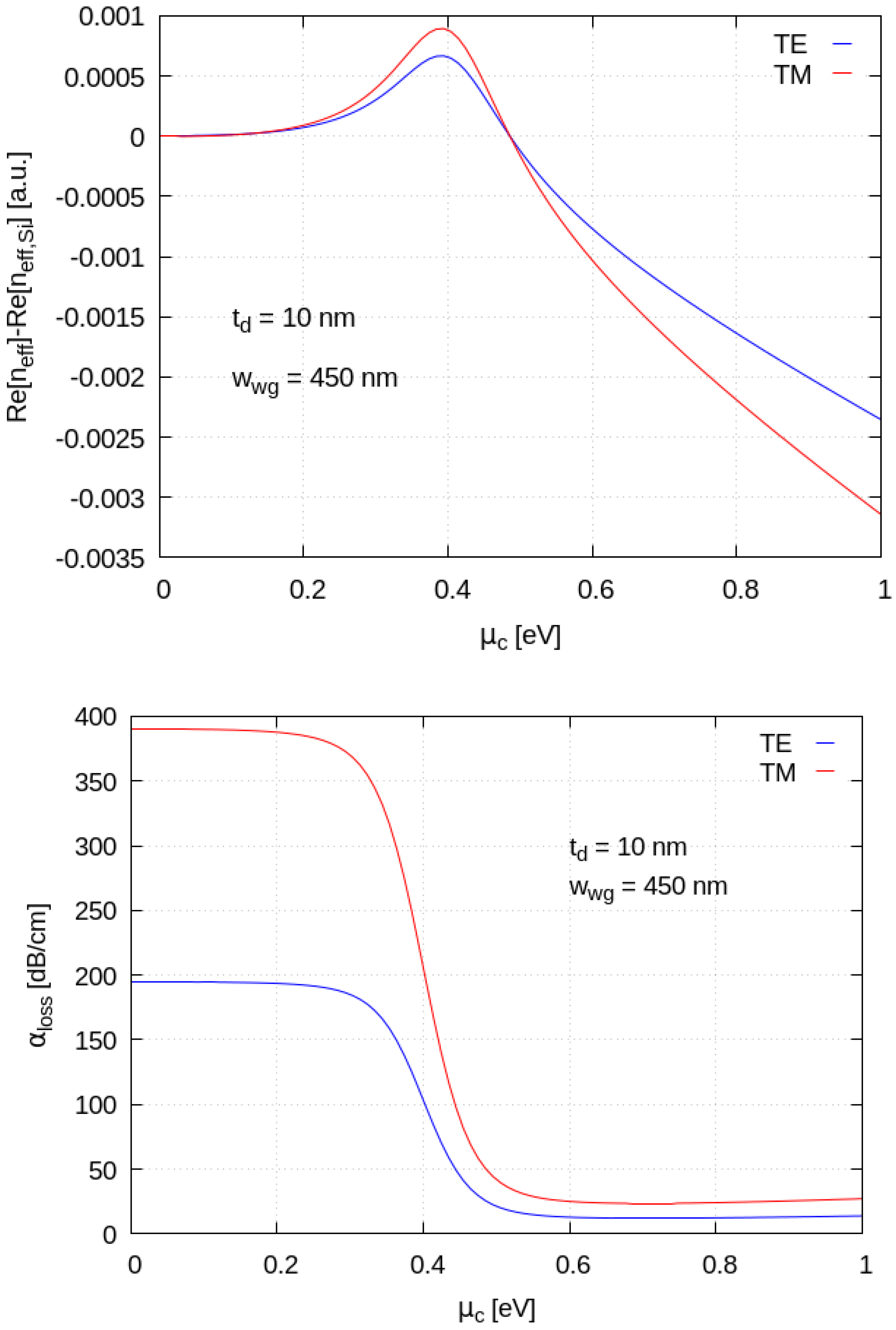
3. Results and Discussion
4. Conclusions
Author Contributions
Funding
Acknowledgments
Conflicts of Interest
References
- Pirandola, S.; Andersen, U.L.; Banchi, L.; Berta, M.; Bunandar, D.; Colbeck, R.; Englund, D.; Gehring, T.; Lupo, C.; Ottaviani, C.; et al. Advances in quantum cryptography. Adv. Opt. Phot. 2020, 12, 1012. [Google Scholar] [CrossRef]
- Liu, Q.; Huang, Y.; Du, Y.; Zhao, Z.; Geng, M.; Zhang, Z.; Wei, K. Advances in Chip-Based Quantum Key Distribution. Entropy 2022, 24, 1334. [Google Scholar] [CrossRef]
- Bennett, C.H.; Brassard, G. Quantum cryptography: Public key distribution and coin tossing. Theor. Comput. Sci. 2014, 560, 7. [Google Scholar] [CrossRef]
- Wang, J.; Bonneau, D.; Villa, M.; Silverstone, J.W.; Santagati, R.; Miki, S.; Yamashita, T.; Fujiwara, M.; Sasaki, M.; Terai, H.; et al. Chip-to-chip quantum photonic interconnect by path-polarization interconversion. Optica 2016, 3, 407. [Google Scholar] [CrossRef]
- Kwek, L.-C.; Cao, L.; Luo, W.; Wang, Y.; Sun, S.; Wang, X.; Liu, A.Q. Chip-based quantum key distribution. AAPPS Bull. 2021, 31, 15. [Google Scholar] [CrossRef]
- Ma, C.; Sacher, W.D.; Tang, Z.; Mikkelsen, J.C.; Yang, Y.; Xu, F.; Thiessen, T.; Lo, H.-K.; Poon, J.K.S. Silicon photonic transmitter for polarization-encoded quantum key distribution. Optica 2016, 3, 1274. [Google Scholar] [CrossRef]
- Kaplan, A.E.; Vitali, V.; Demontis, V.; Rossella, F.; Fontana, A.; Cornia, S.; Petropoulos, P.; Bellani, V.; Lacava, C.; Cristiani, I. Polarization Control in Integrated Silicon Waveguides Using Semiconductor Nanowires. Nanomaterials 2022, 12, 2438. [Google Scholar] [CrossRef] [PubMed]
- Laucht, A.; Hohls, F.; Ubbelohde, N.; Gonzalez-Zalba, M.F.; Reilly, D.J.; Stobbe, S.; Schröder, T.; Scarlino, P.; Koski, J.V.; Dzurak, A.; et al. Roadmap on quantum nanotechnologies. Nanotechnology 2021, 32, 162003. [Google Scholar] [CrossRef] [PubMed]
- Caridad, J.M.; McCloskey, D.; Rossella, F.; Bellani, V.; Donegan, J.F.; Krstić, V. Effective Wavelength Scaling of and Damping in Plasmonic Helical Antennae. ACS Photonics 2015, 2, 675. [Google Scholar] [CrossRef]
- Basov, D.N.; Averitt, R.D.; Hsieh, D. Towards properties on demand in quantum materials. Nat. Mater. 2017, 16, 1077. [Google Scholar] [CrossRef]
- Akinwande, D.; Huyghebaert, C.; Wang, C.H.; Serna, M.I.; Goossens, S.; Li, L.J.; Wong, H.S.; Koppens, F.H. Graphene and two-dimensional materials for silicon technology. Nature 2019, 573, 507. [Google Scholar] [CrossRef] [PubMed]
- Tang, H.; Menabde, S.G.; Anwar, T.; Kim, J.; Jang, M.S.; Tagliabue, G. Photo-modulated optical and electrical properties of graphene. Nanophotonics 2022, 11, 917. [Google Scholar] [CrossRef]
- Bao, Q.; Zhang, H.; Wang, B.; Ni, Z.; Lim, C.H.; Wang, Y.; Tang, D.Y.; Loh, K.P. Broadband graphene polarizer. Nat. Photon. 2011, 5, 411. [Google Scholar] [CrossRef]
- Helkey, R.; Saleh, A.A.; Buckwalter, J.; Bowers, J.E. High-performance photonic integrated circuits on silicon. IEEE J. Sel. Top. Quantum Electron. 2019, 25, 8300215. [Google Scholar] [CrossRef]
- Dai, D. Advanced Passive Silicon Photonic Devices with Asymmetric Waveguide Structures. Proc. IEEE 2018, 106, 2117. [Google Scholar] [CrossRef]
- Xu, P.; Zhang, H.; Qian, H.; Chen, B.; Jiang, X.; Wu, Y.; Liu, X.; Liu, X.; Yang, Q. Polarized light source based on graphene-nanoribbon hybrid structure. Opt. Commun. 2017, 395, 76. [Google Scholar] [CrossRef]
- Zhang, S.; Li, Z.; Xing, F. Review of Polarization Optical Devices Based on Graphene Materials. Int. J. Mol. Sci. 2020, 21, 1608. [Google Scholar] [CrossRef] [PubMed]
- Guan, X.; Wu, H.; Shi, Y.; Wosinski, L.; Dai, D. Ultracompact and broadband polarization beam splitter utilizing the evanescent coupling between a hybrid plasmonic waveguide and a silicon nanowire. Opt. Lett. 2013, 38, 3005. [Google Scholar] [CrossRef]
- Prete, D.; Dimaggio, E.; Demontis, V.; Zannier, V.; Sorba, L.; Beltram, F.; Pennelli, G.; Rossella, F. Electrostatic Control of the Thermoelectric Figure of Merit in Ion-Gated Nanotransistors. Adv. Funct. Mater. 2021, 31, 2104175. [Google Scholar] [CrossRef]
- Ares, P.; Novoselov, K.S. Recent advances in graphene and other 2D materials. Nano Mater. Sci. 2022, 4, 3. [Google Scholar] [CrossRef]
- Geim, A.K.; Novoselov, K.S. The rise of graphene. Nat. Mater. 2007, 6, 183. [Google Scholar] [CrossRef] [PubMed]
- Caridad, J.M.; Rossella, F.; Bellani, V.; Grandi, M.S.; Diez, E. Automated detection and characterization of graphene and few-layer graphite via Raman spectroscopy. J. Raman Spectrosc. 2011, 42, 286. [Google Scholar] [CrossRef]
- Pezzini, S.; Mišeikis, V.; Pace, S.; Rossella, F.; Watanabe, K.; Taniguchi, T.; Coletti, C. High-quality electrical transport using scalable CVD graphene. 2D Mater. 2020, 7, 041003. [Google Scholar] [CrossRef]
- Čtyroký, J.; Petráček, J.; Kwiecien, P.; Richter, I.; Kuzmiak, V. Graphene on an optical waveguide: Comparison of simulation approaches. Opt. Quant. Electron. 2020, 52, 149. [Google Scholar] [CrossRef]
- de Oliveira, R.E.; de Matos, C.J. Graphene Based Waveguide Polarizers: In-Depth Physical Analysis and Relevant Parameters. Sci. Rep. 2015, 5, 16949. [Google Scholar] [CrossRef]
- Kovacevic, G.; Yamashita, S. Waveguide design parameters impact on absorption in graphene coated silicon photonic integrated circuits. Opt. Express 2016, 24, 3584–3591. [Google Scholar] [CrossRef] [PubMed]
- Xia, Z.; Maccaferri, G.; Zanardi, C.; Christian, M.; Ortolani, L.; Morandi, V.; Bellani, V.; Kovtun, A.; Dell’Elce, S.; Candini, A.; et al. Dispersion Stability and Surface Morphology Study of Electrochemically Exfoliated Bilayer Graphene Oxide. J. Phys. Chem. C 2019, 123, 15122. [Google Scholar] [CrossRef]
- Xia, Z.; Bellani, V.; Sun, J.; Palermo, V. Electrochemical exfoliation of graphite in H2SO4, Li2SO4 and NaClO4 solutions monitored in situ by Raman microscopy and spectroscopy. Faraday Discuss. 2021, 227, 305. [Google Scholar] [CrossRef] [PubMed]
- Gan, X.; Englund, D.; van Thourhout, D.; Zhao, J. 2D materials-enabled optical modulators: From visible to terahertz spectral range. Appl. Phys. Rev. 2022, 9, 021302. [Google Scholar] [CrossRef]
- Yang, C.; Wang, G.; Liu, M.; Yao, F.; Li, H. Mechanism, Material, Design, and Implementation Principle of Two-Dimensional Material Photodetectors. Nanomaterials 2021, 11, 2688. [Google Scholar] [CrossRef] [PubMed]
- Kang, J.; Shin, D.; Baea, S.; Hong, B.H. Graphene transfer: Key for applications, Photo-modulated optical and electrical properties of graphene. Nanoscale 2012, 4, 5527. [Google Scholar] [CrossRef] [PubMed]
- Ansys Lumerical MODE Optical Waveguide & Coupler Solver Software, Version 2022 R2.4 IDE; Ansys Canada Ltd.: Vancouver, BC, Canada, 2022.
- Čtyroký, J.; Petráček, J.; Kuzmiak, V.; Kwiecien, P.; Richter, I. Silicon waveguides with graphene: Coupling of waveguide mode to surface plasmons. J. Opt. 2020, 22, 095801. [Google Scholar] [CrossRef]
- Pezzini, S.; Cobaleda, C.; Piot, B.A.; Bellani, V.; Diez, E. Critical point for the canted antiferromagnetic to ferromagnetic phase transition at charge neutrality in bilayer graphene. Phys. Rev. B 2014, 90, 121404. [Google Scholar] [CrossRef]









Publisher’s Note: MDPI stays neutral with regard to jurisdictional claims in published maps and institutional affiliations. |
© 2022 by the authors. Licensee MDPI, Basel, Switzerland. This article is an open access article distributed under the terms and conditions of the Creative Commons Attribution (CC BY) license (https://creativecommons.org/licenses/by/4.0/).
Share and Cite
Cammarata, S.; Fontana, A.; Kaplan, A.E.; Cornia, S.; Dao, T.H.; Lacava, C.; Demontis, V.; Iadanza, S.; Vitali, V.; De Matteis, F.; et al. Polarization Control in Integrated Graphene-Silicon Quantum Photonics Waveguides. Materials 2022, 15, 8739. https://doi.org/10.3390/ma15248739
Cammarata S, Fontana A, Kaplan AE, Cornia S, Dao TH, Lacava C, Demontis V, Iadanza S, Vitali V, De Matteis F, et al. Polarization Control in Integrated Graphene-Silicon Quantum Photonics Waveguides. Materials. 2022; 15(24):8739. https://doi.org/10.3390/ma15248739
Chicago/Turabian StyleCammarata, Simone, Andrea Fontana, Ali Emre Kaplan, Samuele Cornia, Thu Ha Dao, Cosimo Lacava, Valeria Demontis, Simone Iadanza, Valerio Vitali, Fabio De Matteis, and et al. 2022. "Polarization Control in Integrated Graphene-Silicon Quantum Photonics Waveguides" Materials 15, no. 24: 8739. https://doi.org/10.3390/ma15248739
APA StyleCammarata, S., Fontana, A., Kaplan, A. E., Cornia, S., Dao, T. H., Lacava, C., Demontis, V., Iadanza, S., Vitali, V., De Matteis, F., Pedreschi, E., Magazzù, G., Toncelli, A., Spinella, F., Saponara, S., Gunnella, R., Rossella, F., Salamon, A., & Bellani, V. (2022). Polarization Control in Integrated Graphene-Silicon Quantum Photonics Waveguides. Materials, 15(24), 8739. https://doi.org/10.3390/ma15248739

