High-Strength, Degradable and Recyclable Epoxy Resin Based on Imine Bonds for Its Carbon-Fiber-Reinforced Composites
Abstract
:1. Introduction
2. Experimental Part
2.1. Materials
2.2. Synthesis of Vanillin-Based Epoxy Monomer (VAN-AC-EP)
2.3. Preparation of Thermosetting Epoxy Resin (VAN-AC-EP/DDM)
2.4. Reprocessing of Thermosetting Epoxy Resin (VAN-AC-EP/DDM)
2.5. Preparation of Carbon-Fiber-Reinforced Polymer Composites (CFRP)
2.6. Reprocessing of Carbon-Fiber-Reinforced Polymer Composites (CFRP)
2.7. Gel Fraction Measurement
2.8. Characterization
3. Results and Discussion
4. Conclusions
Supplementary Materials
Author Contributions
Funding
Institutional Review Board Statement
Informed Consent Statement
Data Availability Statement
Acknowledgments
Conflicts of Interest
References
- Montarnal, D.; Capelot, M.; Tournilhac, F.; Leibler, L. Silica-like malleable materials from permanent organic networks. Science 2011, 334, 965–968. [Google Scholar] [CrossRef]
- Wang, S.; Ma, S.; Xu, C.; Liu, Y.; Dai, J.; Wang, Z.; Liu, X.; Chen, J.; Shen, X.; Wei, J.; et al. Vanillin-derived high-performance flame retardant epoxy resins: Facile synthesis and properties. Macromolecules 2017, 50, 1892–1901. [Google Scholar] [CrossRef]
- Zhang, Q.; Molenda, M.; Reineke, T.M. Epoxy resin thermosets derived from trehalose and β-cyclodextrin. Macromolecules 2016, 49, 8397–8406. [Google Scholar] [CrossRef]
- Yu, K.; Shi, Q.; Dunn, M.L.; Wang, T.; Qi, H.J. Carbon fiber reinforced thermoset composite with near 100% recyclability. Adv. Funct. Mater. 2016, 26, 6098–6106. [Google Scholar] [CrossRef]
- Gandini, A. The irruption of polymers from renewable resources on the scene of macromolecular science and technology. Green Chem. 2011, 13, 1061. [Google Scholar] [CrossRef]
- Tuck, C.O.; Perez, E.; Horvath, I.T.; Sheldon, R.A.; Poliakoffff, M. Valorization of biomass: Deriving more value from waste. Science 2012, 337, 695–699. [Google Scholar] [CrossRef]
- Palmer, J.; Ghita, O.; Savage, L.; Evans, K. Successful closed-loop recycling of thermoset composites. Compos. Part A 2009, 40, 490–498. [Google Scholar] [CrossRef]
- Cunliffe, A.M.; Williams, P.T. Characterisation of products from the recycling of glass fibre reinforced polyester waste by pyrolysis. Fuel 2003, 82, 2223–2230. [Google Scholar] [CrossRef]
- Åkesson, D.; Foltynowicz, Z.; Christéen, J.; Skrifvars, M. Microwave pyrolysis as a method of recycling glass fibre from used blades of wind turbines. J. Reinf. Plast. Compos. 2012, 31, 1136–1142. [Google Scholar] [CrossRef]
- Pickering, S.J. Recycling technologies for thermoset composite materials—Current status. Compos. Part A 2006, 37, 1206–1215. [Google Scholar] [CrossRef]
- Podgórski, M.; Fairbanks, B.D.; Kirkpatrick, B.E.; McBride, M.; Martinez, A.; Dobson, A.; Bongiardina, N.J.; Bowman, C.N. Toward stimuli—Responsive dynamic thermosets through continuous development and improvements in covalent adaptable networks (CANs). Adv. Mater. 2020, 32, 1906876. [Google Scholar] [CrossRef]
- Van Lijsebetten, F.; Holloway, J.O.; Winne, J.M.; Du Prez, F.E. Internal catalysis for dynamic covalent chemistry applications and polymer science. Chem. Soc. Rev. 2020, 49, 8425–8438. [Google Scholar] [CrossRef] [PubMed]
- Roig, A.; Petrauskaité, A.; Ramis, X.; De la Flor, S.; Serra, À. Synthesis and characterization of new bio-based poly (acylhydrazone) vanillin vitrimers. Polym. Chem. 2022, 13, 1510–1519. [Google Scholar] [CrossRef]
- Ma, S.; Webster, D.C. Degradable thermosets based on labile bonds or linkages: A review. Prog. Polym. Sci. 2018, 76, 65–110. [Google Scholar] [CrossRef]
- Wang, L.; Wong, C.P. Phosphorus-containing liquid cycloaliphatic epoxy resins for reworkable environment-friendly electronic packaging materials. J. Polym. Sci. Part A Polym. Chem. 2000, 37, 2991–3001. [Google Scholar] [CrossRef]
- Wang, S.; Xing, X.; Zhang, X. Room-temperature fully recyclable carbon fibre reinforced phenolic composites through dynamic covalent boronic ester bonds. J. Mater. Chem. A 2018, 6, 10868–10878. [Google Scholar] [CrossRef]
- Memon, H.; Liu, H.; Rashid, M.A.; Chen, L.; Jiang, Q.; Zhang, L.; Wei, Y.; Liu, W.; Qiu, Y. Vanillin-based epoxy vitrimer with high performance and closed-loop recyclability. Macromolecules 2020, 53, 621–630. [Google Scholar] [CrossRef]
- Xu, Y.; Odelius, K.; Hakkarainen, M. Photocurable, thermally reprocessable, and chemically recyclable vanillin-based imine thermosets. ACS Sustain. Chem. Eng. 2020, 8, 17272–17279. [Google Scholar] [CrossRef]
- Zhao, S.; Abu-Omar, M.M. Recyclable and malleable epoxy thermoset bearing aromatic imine bonds. Macromolecules 2018, 51, 9816–9824. [Google Scholar] [CrossRef]
- Si, H.; Zhou, L.; Wu, Y.; Song, L.; Kang, M.; Zhao, X.; Chen, M. Rapidly reprocessable, degradable epoxy vitrimer and recyclable carbon fiber reinforced thermoset composites relied on high contents of exchangeable aromatic disulfide crosslinks. Compos. Part B Eng. 2020, 199, 108278. [Google Scholar] [CrossRef]
- Ma, S.; Webster, D.C.; Jabeen, F. Hard and flexible, degradable thermosets from renewable bioresources with the assistance of water and ethanol. Macromolecules 2016, 49, 3780–3788. [Google Scholar] [CrossRef]
- Yang, S.; Chen, J.-S.; Körner, H.; Breiner, T.; Ober, C.K. Reworkable epoxies: Thermosets with thermally cleavable groups for controlled network breakdown. Chem. Mater. 1998, 10, 1475–1482. [Google Scholar] [CrossRef]
- Tomuta, A.M.; Ramis, X.; Fernández-Francos, X.; Ferrando, F.; Serra, A. New chemically reworkable epoxy coatings obtained by the addition of polyesters with star topologies to diglycidyl ether of bisphenol A resins. Prog. Org. Coat. 2013, 76, 1616–1624. [Google Scholar] [CrossRef]
- Duval, A.; Couture, G.; Caillol, S.; Avérous, L. Biobased and aromatic reversible thermoset networks from condensed tannins via the Diels–Alder reaction. ACS Sustain. Chem. Eng. 2017, 5, 1199–1207. [Google Scholar] [CrossRef]
- Min, Y.; Huang, S.; Wang, Y.; Zhang, Z.; Du, B.; Zhang, X.; Fan, Z. Sonochemical transformation of epoxy–amine thermoset into soluble and reusable polymers. Macromolecules 2015, 48, 316–322. [Google Scholar] [CrossRef]
- Li, Q.T.; Jiang, M.J.; Wu, G.; Chen, L.; Chen, S.C.; Cao, Y.X.; Wang, Y.Z. Photothermal conversion triggered precisely targeted healing of epoxy resin based on thermoreversible Diels–Alder network and amino-functionalized carbon nanotubes. ACS Appl. Mater. Interfaces 2017, 9, 20797–20807. [Google Scholar] [CrossRef]
- Tian, Q.; Yuan, Y.C.; Rong, M.Z.; Zhang, M.Q. A thermally remendable epoxy resin. J. Mater. Chem. 2009, 19, 1289–1296. [Google Scholar] [CrossRef]
- Wang, S.; Ma, S.; Li, Q.; Xu, X.; Wang, B.; Yuan, W.; Zhou, S.; You, S.; Zhu, J. Facile in situ preparation of high-performance epoxy vitrimer from renewable resources and its application in nondestructive recyclable carbon fiber composite. Green Chem. 2019, 21, 1484–1497. [Google Scholar] [CrossRef]
- Liu, Y.Y.; Liu, G.L.; Li, Y.D. Antioil Ag3PO4 Nanoparticle/Polydopamine/Al2O3 Sandwich Structure for Complex Wastewater Treatment: Dynamic Catalysis under Natural Light. ACS Sustain. Chem. Eng. 2021, 9, 4638–4647. [Google Scholar] [CrossRef]
- Tao, S. Positronium annihilation in molecular substances. J. Chem. Phys. 1972, 56, 5499–5510. [Google Scholar] [CrossRef]
- Horowitz, H.H.; Metzger, G. A new analysis of thermogravimetric traces. Anal. Chem. 1963, 35, 1464. [Google Scholar] [CrossRef]
- Wang, B.; Ma, S.; Li, Q.; Zhang, H.; Liu, J.; Wang, R.; Chen, Z.; Xu, X.; Wang, S.; Lu, N.; et al. Facile synthesis of “digestible”, rigid-and-flexible, bio-based building block for high-performance degradable thermosetting plastics. Green Chem. 2020, 22, 1275–1290. [Google Scholar] [CrossRef]
- Niu, H.; Nabipour, H.; Wang, X. Phosphorus-free vanillin-derived intrinsically flame-retardant epoxy thermoset with extremely low heat release rate and smoke emission. ACS Sustain. Chem. Eng. 2021, 9, 5268–5277. [Google Scholar] [CrossRef]
- Zhang, L.; Zhao, H.; Lin, B.; Yuan, J.; Xu, X.; Wu, J.; Zhou, K.; Guo, X.; Zhang, M.; Ma, W. A blade-coated highly efficient thick active layer for non-fullerene organic solar cells. J. Mater. Chem. A 2019, 7, 22265–22273. [Google Scholar] [CrossRef]
- Scanlan, J. The effect of network flaws on the elastic properties of vulcanizates. J. Polym. Sci. 1960, 43, 501–508. [Google Scholar] [CrossRef]










| Sample | β (°C/min) | Tonset (°C) | Tp (°C) | Tend (°C) | ΔH (J/g) | Ea (KJ/mol) |
|---|---|---|---|---|---|---|
| VAN-AC-EP/DDM | 5 | 94.19 | 124.55 | 137.91 | 15.97 | 100.76 |
| 10 | 107.42 | 131.28 | 148.24 | 15.41 | ||
| 15 | 113.82 | 136.90 | 152.97 | 14.3 | ||
| 20 | 116.54 | 141.08 | 155.17 | 13.12 | ||
| DGEBA/ DDM | 5 | 126.13 | 147.98 | 173.92 | 367.5 | 54.70 |
| 10 | 139.36 | 165.90 | 194.60 | 357.3 | ||
| 15 | 148.44 | 177.99 | 207.21 | 321.9 | ||
| 20 | 155.51 | 185.93 | 215.65 | 298.5 |
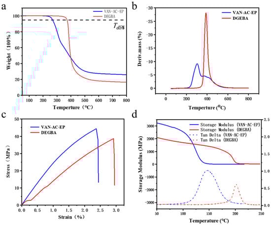
| Sample | Tg (°C) | Td5% (°C) | Td30% (°C) | R800 (%) | Ts (°C) |
|---|---|---|---|---|---|
| VAN-AC-EP | 146 | 268 | 319 | 25.8 | 146 |
| DGEBA | 202 | 372 | 387 | 16.3 | 184 |
| Solvent | H2O | Ethanol | Acetone | DMSO | DMF | THF |
|---|---|---|---|---|---|---|
| Contact angle (°) | 66.1 | 19.9 | 16.7 | 12.9 | 43.1 | 15.2 |
| Swelling ratio (%) | 1.12 | 0.78 | 2.91 | 3.57 | 0.98 | 2.02 |
| Gel content (%) | 99.7 | 99.3 | 99.4 | 99.8 | 99.2 | 99.4 |
Disclaimer/Publisher’s Note: The statements, opinions and data contained in all publications are solely those of the individual author(s) and contributor(s) and not of MDPI and/or the editor(s). MDPI and/or the editor(s) disclaim responsibility for any injury to people or property resulting from any ideas, methods, instructions or products referred to in the content. |
© 2023 by the authors. Licensee MDPI, Basel, Switzerland. This article is an open access article distributed under the terms and conditions of the Creative Commons Attribution (CC BY) license (https://creativecommons.org/licenses/by/4.0/).
Share and Cite
Jiang, Y.; Wang, S.; Dong, W.; Kaneko, T.; Chen, M.; Shi, D. High-Strength, Degradable and Recyclable Epoxy Resin Based on Imine Bonds for Its Carbon-Fiber-Reinforced Composites. Materials 2023, 16, 1604. https://doi.org/10.3390/ma16041604
Jiang Y, Wang S, Dong W, Kaneko T, Chen M, Shi D. High-Strength, Degradable and Recyclable Epoxy Resin Based on Imine Bonds for Its Carbon-Fiber-Reinforced Composites. Materials. 2023; 16(4):1604. https://doi.org/10.3390/ma16041604
Chicago/Turabian StyleJiang, Yue, Shuai Wang, Weifu Dong, Tatsuo Kaneko, Mingqing Chen, and Dongjian Shi. 2023. "High-Strength, Degradable and Recyclable Epoxy Resin Based on Imine Bonds for Its Carbon-Fiber-Reinforced Composites" Materials 16, no. 4: 1604. https://doi.org/10.3390/ma16041604
APA StyleJiang, Y., Wang, S., Dong, W., Kaneko, T., Chen, M., & Shi, D. (2023). High-Strength, Degradable and Recyclable Epoxy Resin Based on Imine Bonds for Its Carbon-Fiber-Reinforced Composites. Materials, 16(4), 1604. https://doi.org/10.3390/ma16041604

