A Homogeneous Anisotropic Hardening Model in Plane Stress State for Sheet Metal under Nonlinear Loading Paths
Abstract
1. Introduction
2. Fundamentals of the HAH Model
3. HAH-2d Model in Plane Stress State
3.1. Stress Vector and Microstructure Vector
3.2. Formulation of the HAH-2d Model
3.2.1. Distortional Yield Function
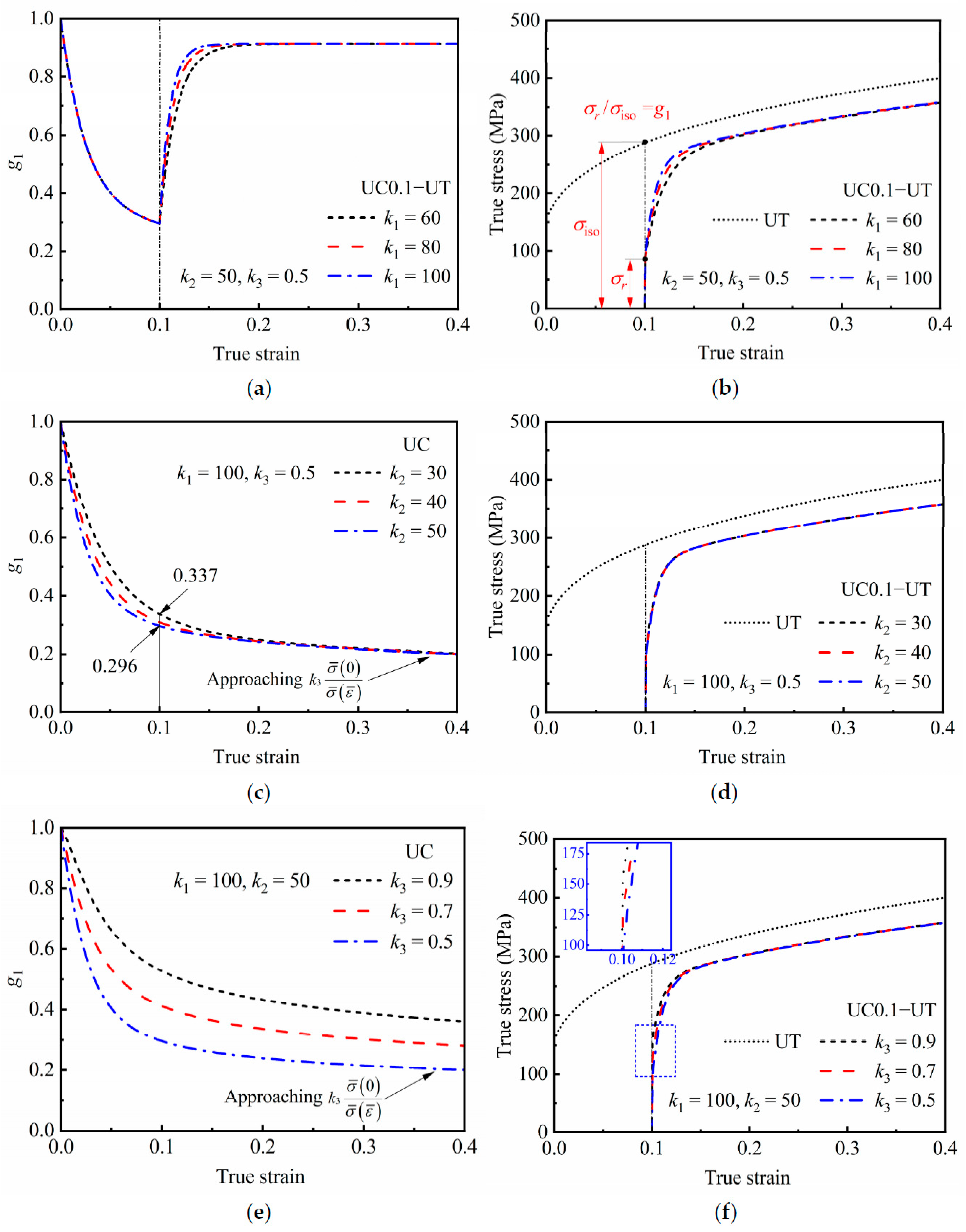
3.2.2. Bauschinger Effect and Permanent Softening Effect
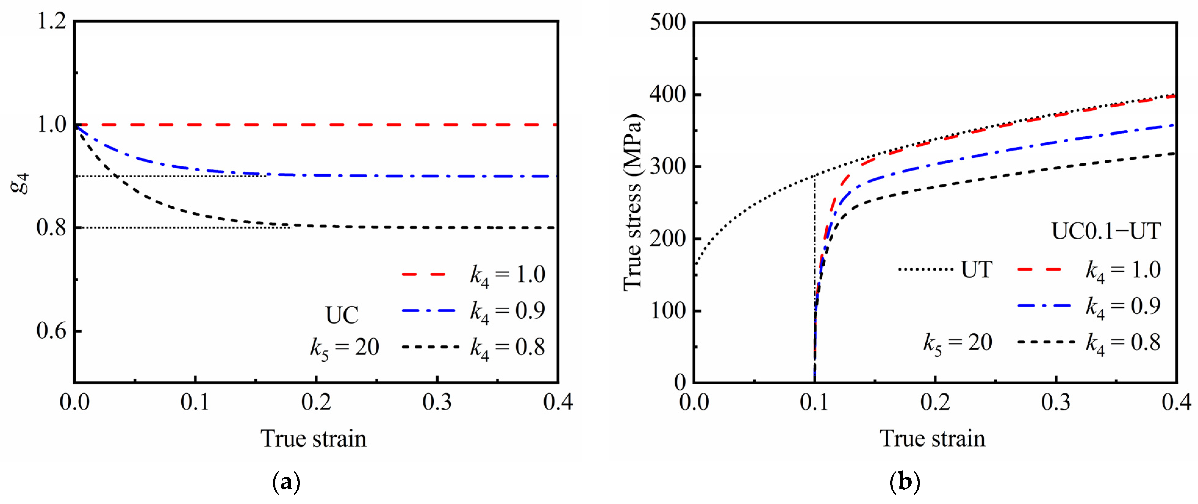
3.2.3. Latent Hardening Effect
3.3. Coefficient Identification
4. Hardening Behavior Predicted under Typical Nonlinear Loading Paths
4.1. Reverse Loading
4.2. Cross Loading
4.3. Two-Step Uniaxial Tension
5. Model Validation
5.1. Determination of Material Coefficients
5.2. Comparison of Prediction and Experimental Results
6. Conclusions
Author Contributions
Funding
Institutional Review Board Statement
Informed Consent Statement
Data Availability Statement
Acknowledgments
Conflicts of Interest
Appendix A
References
- Yuan, S.; Fan, X. Developments and perspectives on the precision forming processes for ultra-large size integrated components. Int. J. Extrem. Manuf. 2019, 1, 022002. [Google Scholar] [CrossRef]
- Zheng, K.; Politis, D.J.; Wang, L.; Lin, J. A review on forming techniques for manufacturing lightweight complex—Shaped aluminium panel components. Int. J. Lightweight Mater. Manuf. 2018, 1, 55–80. [Google Scholar] [CrossRef]
- Bouvier, S.; Gardey, B.; Haddadi, H.; Teodosiu, C. Characterization of the strain-induced plastic anisotropy of rolled sheets by using sequences of simple shear and uniaxial tensile tests. J. Mater. Process. Tech. 2006, 174, 115–126. [Google Scholar] [CrossRef]
- Qin, J.; Holmedal, B.; Hopperstad, O.S. A combined isotropic, kinematic and distortional hardening model for aluminum and steels under complex strain-path changes. Int. J. Plast. 2018, 101, 156–169. [Google Scholar] [CrossRef]
- He, J.; Gu, B.; Li, Y.; Li, S. Forming limits under stretch-bending through distortionless and distortional anisotropic hardening. J. Manuf. Sci. Eng.: Trans. ASME 2018, 140, 121013. [Google Scholar] [CrossRef]
- Ha, J.; Lee, M.; Barlat, F. Strain hardening response and modeling of EDDQ and DP780 steel sheet under non-linear strain path. Mech. Mater. 2013, 64, 11–26. [Google Scholar] [CrossRef]
- Mánik, T.; Holmedal, B.; Hopperstad, O.S. Strain-path change induced transients in flow stress, work hardening and r-values in aluminum. Int. J. Plast. 2015, 69, 1–20. [Google Scholar] [CrossRef]
- Bauschinger, J. Changes of the elastic limit and the modulus of elasticity on various metals. Ziivilingenieur 1881, 27, 289–348. [Google Scholar]
- Hasegawa, T.; Yakou, T.; Karashima, S. Deformation behaviour and dislocation structures upon stress reversal in polycrystalline aluminium. Mater. Sci. Eng. 1975, 20, 267–276. [Google Scholar] [CrossRef]
- Hasegawa, T.; Yakou, T. The effect of strain reversal and thermal recovery on stress vs strain behavior in aluminum. Scr. Metall. 1980, 14, 1083–1087. [Google Scholar] [CrossRef]
- Schmitt, J.H.; Fernandes, J.V.; Gracio, J.J.; Viera, M.F. Plastic behaviour of copper sheets during sequential tension tests. Mater. Sci. Eng. A 1991, 147, 143–154. [Google Scholar] [CrossRef]
- Barlat, F.; Ferreira Duarte, J.M.; Gracio, J.J.; Lopes, A.B.; Rauch, E.F. Plastic flow for non-monotonic loading conditions of an aluminum alloy sheet sample. Int. J. Plast. 2003, 19, 1215–1244. [Google Scholar] [CrossRef]
- Ben Bettaieb, M.; Abed-Meraim, F. Localized necking in elastomer-supported metal layers: Impact of kinematic hardening. J. Manuf. Sci. Eng. Trans. ASME 2017, 139, 61008. [Google Scholar] [CrossRef]
- Min, J.; Guo, N.; Hou, Y.; Jiang, K.; Chen, X.; Carsley, J.E.; Lin, J. Effect of tension-compression testing strategy on kinematic model calibration and springback simulation of advanced high strength steels. Int. J. Mater. Form. 2020, 14, 435–448. [Google Scholar] [CrossRef]
- Yetna N’Jock, M.; Badreddine, H.; Labergere, C.; Yue, Z.; Saanouni, K.; Dang, V.T. An application of fully coupled ductile damage model considering induced anisotropies on springback prediction of advanced high strength steel materials. Int. J. Mater. Form. 2021, 14, 739–752. [Google Scholar] [CrossRef]
- Clausmeyer, T.; Güner, A.; Tekkaya, A.E.; Levkovitch, V.; Svendsen, B. Modeling and finite element simulation of loading-path-dependent hardening in sheet metals during forming. Int. J. Plast. 2014, 63, 64–93. [Google Scholar] [CrossRef]
- Barlat, F.; Yoon, S.; Lee, S.; Wi, M.; Kim, J. Distortional plasticity framework with application to advanced high strength steel. Int. J. Solids Struct. 2020, 202, 947–962. [Google Scholar] [CrossRef]
- Cao, J.; Banu, M. Opportunities and challenges in metal forming for lightweighting: Review and future work. J. Manuf. Sci. Eng. Trans. ASME 2020, 142, 110813. [Google Scholar] [CrossRef]
- Lee, M.G.; Kim, C.; Pavlina, E.J.; Barlat, F. Advances in sheet forming—Materials modeling, numerical simulation, and press technologies. J. Manuf. Sci. Eng. Trans. ASME 2011, 133, 61001. [Google Scholar] [CrossRef]
- Banabic, D.; Barlat, F.; Cazacu, O.; Kuwabara, T. Advances in anisotropy of plastic behaviour and formability of sheet metals. Int. J. Mater. Form. 2020, 13, 749–787. [Google Scholar] [CrossRef]
- Prager, W. A new method of analyzing stresses and strains in work-hardening plastic solids. J. Appl. Mech. 1956, 23, 493–496. [Google Scholar] [CrossRef]
- Frederick, C.; Armstrong, P. A mathematical representation of the multiaxial Bauschinger effect. Mater. High Temp. 2007, 24, 1–26. [Google Scholar] [CrossRef]
- Chaboche, J.L. Time-independent constitutive theories for cyclic plasticity. Int. J. Plast. 1986, 2, 149–188. [Google Scholar] [CrossRef]
- Bouhamed, A.; Jrad, H.; Said, L.B.; Wali, M.; Dammak, F. A non-associated anisotropic plasticity model with mixed isotropic-kinematic hardening for finite element simulation of incremental sheet metal forming process. Int. J. Adv. Manuf. Technol. 2018, 100, 929–940. [Google Scholar] [CrossRef]
- Grilo, T.J.; Valente, R.A.F.; Alves De Sousa, R.J. Modelling non-quadratic anisotropic yield criteria and mixed isotropic-nonlinear kinematic hardening: Analysis of forward- and backward-Euler formulations. Int. J. Mater. Form. 2014, 8, 533–547. [Google Scholar] [CrossRef]
- Barlat, F.; Gracio, J.J.; Lee, M.; Rauch, E.F.; Vincze, G. An alternative to kinematic hardening in classical plasticity. Int. J. Plast. 2011, 27, 1309–1327. [Google Scholar] [CrossRef]
- Barlat, F.; Ha, J.; Grácio, J.J.; Lee, M.; Rauch, E.F.; Vincze, G. Extension of homogeneous anisotropic hardening model to cross-loading with latent effects. Int. J. Plast. 2013, 46, 130–142. [Google Scholar] [CrossRef]
- Barlat, F.; Vincze, G.; Grácio, J.J.; Lee, M.G.; Rauch, E.F.; Tomé, C.N. Enhancements of homogenous anisotropic hardening model and application to mild and dual-phase steels. Int. J. Plast. 2014, 58, 201–218. [Google Scholar] [CrossRef]
- Choi, J.; Lee, J.; Bae, G.; Barlat, F.; Lee, M. Evaluation of springback for DP980 S rail using anisotropic hardening models. JOM 2016, 68, 1850–1857. [Google Scholar] [CrossRef]
- Chen, S.; Liao, J.; Xiang, H.; Xue, X.; Pereira, A.B. Pre-strain effect on twist springback of a 3D P-channel in deep drawing. J. Mater. Process. Technol. 2021, 287, 116224. [Google Scholar] [CrossRef]
- Choi, H.; Choi, S.; Kang, S.; Kim, C.; Lee, M. Prediction of anisotropic strengths of steel plate after prior bending-reverse bending deformation: Application of distortional hardening model. Int. J. Mech. Sci. 2021, 204, 106512. [Google Scholar] [CrossRef]
- Reyne, B.; Barlat, F. A new concept for continuum distortional plasticity. Int. J. Plast. 2022, 155, 103303. [Google Scholar] [CrossRef]
- Hc, A.; Jwya, B. Stress integration-based on finite difference method and its application for anisotropic plasticity and distortional hardening under associated and non-associated flow rules. Comput. Methods Appl. Mech. Eng. 2019, 345, 123–160. [Google Scholar] [CrossRef]
- Choi, H.; Choi, S.; Kang, S.C.; Lee, M.G. Fully Implicit stress update algorithm for distortion-based anisotropic hardening with cross-loading effect: Comparative algorithmic study and application to large-size forming problem. Appl. Sci. 2021, 11, 5509. [Google Scholar] [CrossRef]
- Lee, J.; Bong, H.J.; Ha, J. Efficient and robust stress integration algorithm for anisotropic distortional hardening law under cross-loading with latent hardening. Eur. J. Mech.-A/Solids 2022, 96, 104775. [Google Scholar] [CrossRef]
- Swift, H. Plastic instability under plane stress. J. Mech. Phys. Solids 1952, 1, 1–18. [Google Scholar] [CrossRef]
- Barlat, F.; Brem, J.C.; Yoon, J.W.; Chung, K.; Dick, R.E.; Lege, D.J.; Pourboghrat, F.; Choi, S.H.; Chu, E. Plane stress yield function for aluminum alloy sheets—Part 1: Theory. Int. J. Plast. 2003, 19, 1297–1319. [Google Scholar] [CrossRef]


















| Coefficients | Swift Hardening Law | Coefficients Associated with the Distortion | |||||||||||
|---|---|---|---|---|---|---|---|---|---|---|---|---|---|
| K (MPa) | ε0 | n | q | k | k1 | k2 | k3 | k4 | k5 | L | kL | ||
| Values | 500 | 0.01 | 0.25 | 2 | 20 | 100 | 50 | 0.5 | 0.9 | 20 | 2.0 | 300 | |
| Material | Yld2000-2d Yield Function | Swift Hardening Law | |||||||||||
|---|---|---|---|---|---|---|---|---|---|---|---|---|---|
| α1 | α2 | α3 | α4 | α5 | α6 | α7 | α8 | m | K (MPa) | ε0 | n | ||
| DP780 | 0.946 | 1.022 | 1.015 | 1.000 | 1.011 | 0.968 | 1.010 | 1.006 | 6 | 1295 | 0.0008 | 0.142 | |
| EDDQ | 1.014 | 1.118 | 0.931 | 0.892 | 0.904 | 0.811 | 1.029 | 0.918 | 6 | 538 | 0.0075 | 0.267 | |
| Material | k | k1 | k2 | k3 | k4 | k5 | kL | L | q |
|---|---|---|---|---|---|---|---|---|---|
| DP780 | 45.0 | 135.2 | 39.6 | 0.475 | 1.0 | 0 | 0 | 1.0 | 2.0 |
| EDDQ | 12.80 | 773.9 | 295.9 | 0.551 | 1.0 | 0 | 205.9 | 2.226 | 2.0 |
| Conditions | RD 4%−TD | RD 4%–60° | RD 10%–60° | RD 4%–45° | RD 10%–45° |
|---|---|---|---|---|---|
| RMSE | 20.11 | 24.07 | 37.85 | 24.49 | 47.13 |
| AARE (%) | 1.28 | 2.14 | 3.44 | 1.94 | 2.58 |
| Conditions | RD 4%−TD | RD 4%–60° | RD 10%–60° | RD 4%–45° | RD 10%–45° |
|---|---|---|---|---|---|
| RMSE | 5.59 | 8.65 | 9.86 | 4.74 | 5.40 |
| AARE (%) | 1.53 | 1.78 | 2.00 | 1.33 | 1.13 |
Disclaimer/Publisher’s Note: The statements, opinions and data contained in all publications are solely those of the individual author(s) and contributor(s) and not of MDPI and/or the editor(s). MDPI and/or the editor(s) disclaim responsibility for any injury to people or property resulting from any ideas, methods, instructions or products referred to in the content. |
© 2023 by the authors. Licensee MDPI, Basel, Switzerland. This article is an open access article distributed under the terms and conditions of the Creative Commons Attribution (CC BY) license (https://creativecommons.org/licenses/by/4.0/).
Share and Cite
Zhu, H.; Lin, Y.; Chen, K.; He, Z.; Yuan, S. A Homogeneous Anisotropic Hardening Model in Plane Stress State for Sheet Metal under Nonlinear Loading Paths. Materials 2023, 16, 1151. https://doi.org/10.3390/ma16031151
Zhu H, Lin Y, Chen K, He Z, Yuan S. A Homogeneous Anisotropic Hardening Model in Plane Stress State for Sheet Metal under Nonlinear Loading Paths. Materials. 2023; 16(3):1151. https://doi.org/10.3390/ma16031151
Chicago/Turabian StyleZhu, Haihui, Yanli Lin, Kelin Chen, Zhubin He, and Shijian Yuan. 2023. "A Homogeneous Anisotropic Hardening Model in Plane Stress State for Sheet Metal under Nonlinear Loading Paths" Materials 16, no. 3: 1151. https://doi.org/10.3390/ma16031151
APA StyleZhu, H., Lin, Y., Chen, K., He, Z., & Yuan, S. (2023). A Homogeneous Anisotropic Hardening Model in Plane Stress State for Sheet Metal under Nonlinear Loading Paths. Materials, 16(3), 1151. https://doi.org/10.3390/ma16031151
