Raclopride-Molecularly Imprinted Polymers: A Promising Technology for Selective [11C]Raclopride Purification
Abstract
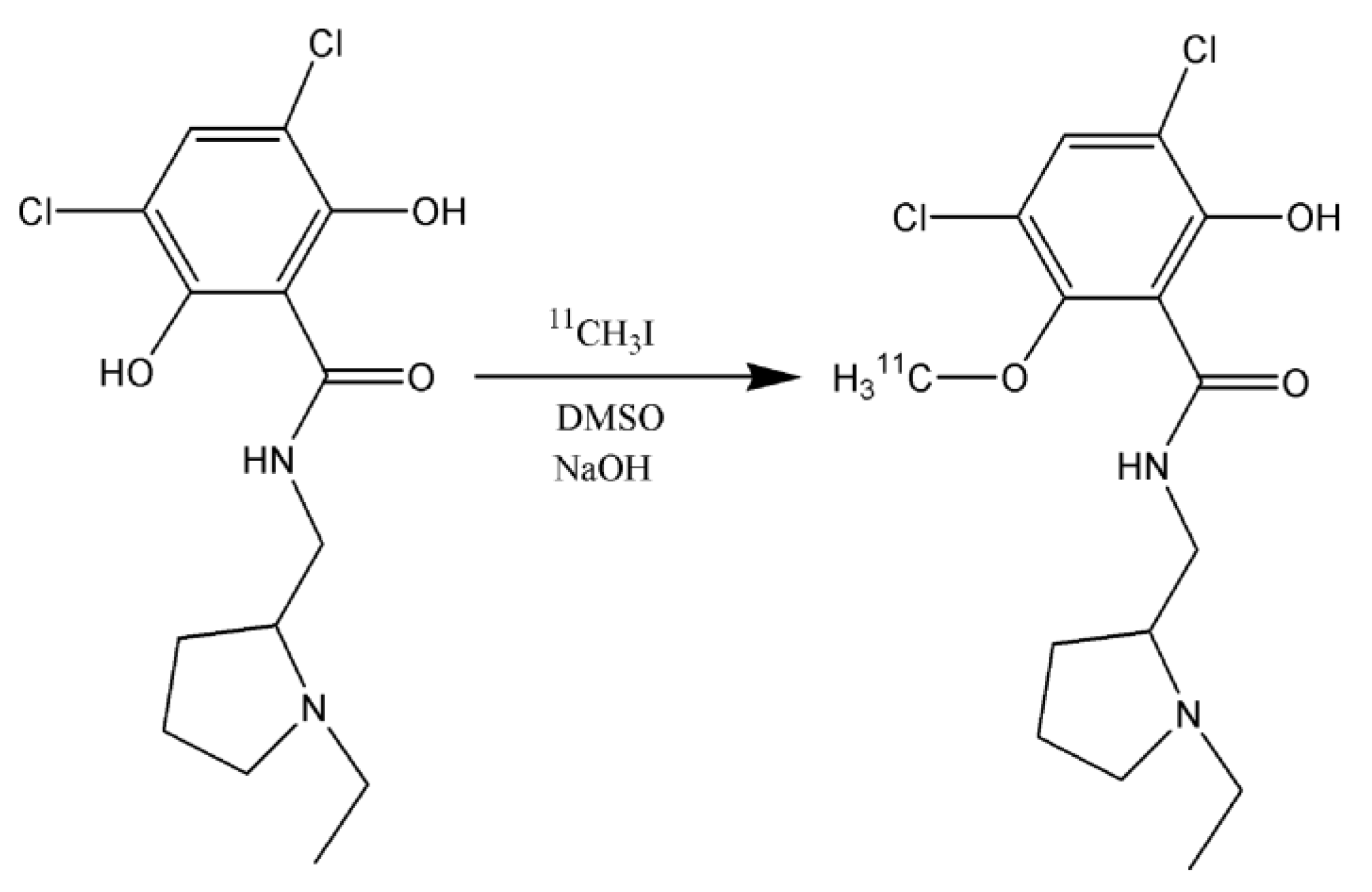
1. Introduction
2. Materials and Methods
2.1. Materials and Apparatus
2.2. Preparation of Molecularly Imprinted Polymer Selective for Unlabeled Raclopride and (S)-O-Des-Methyl-Raclopride
2.3. MISPE for Unlabeled Raclopride Extraction
2.4. Implementation of MISPE Cartridge in “in-Flow Trap & Release System” for [11C] RAC Purification
3. Results and Discussions
3.1. Optimization of MIP Performance with Non-Radioactive Standards
3.2. Testing of RAC-MISPE with [11C]RAC Solutions
4. Conclusions
Author Contributions
Funding
Institutional Review Board Statement
Informed Consent Statement
Data Availability Statement
Acknowledgments
Conflicts of Interest
References
- Dahl, K.; Halldin, C.; Schou, M. New methodologies for the preparation of carbon-11 labeled radiopharmaceuticals. Clin. Transl. Imaging 2017, 5, 275–289. [Google Scholar] [CrossRef] [PubMed]
- Kaasinen, V.; Vahlberg, T.; Jon Stoessl, A.; Strafella, A.P.; Antonini, A. Dopamine Receptors in Parkinson’s Disease: A Meta-Analysis of Imaging Studies. Mov. Discord. 2021, 36, 1781–1791. [Google Scholar] [CrossRef] [PubMed]
- Cybulska, K.; Perk, L.; Booij, J.; Laverman, P.; Rijpkema, M. Huntington’s Disease: A Review of the Known PET Imaging Biomarkers and Targeting Radiotracers. Molecules 2020, 25, 482. [Google Scholar] [CrossRef] [PubMed]
- Ikoma, Y.; Watabe, H.; Hayashi, T.; Miyake, Y.; Teramoto, N.; Minato, K.; Iida, H. Quantitative evaluation of changes in binding potential with a simplified reference tissue model and multiple injections of [11C]raclopride. Neuroimage 2009, 47, 1639–1648. [Google Scholar] [CrossRef] [PubMed]
- Mizrahi, R.; Mamo, D.; Rusjan, P.; Graff, A.; Houle, S.; Kapur, S. The relationship between subjective well-being and dopamine D2 receptors in patients treated with a dopamine partial agonist and full antagonist antipsychotics. Int. J. Neuropsychopharmacol. 2009, 12, 715–721. [Google Scholar] [CrossRef]
- Perkins, G.; Sheth, R.; Greguric, I.; Pascali, G. Optimisation of [11C]Raclopride production using a Synthra GPextent system. Curr. Radiopharm. 2014, 7, 100–106. [Google Scholar] [CrossRef]
- Plavén-Sigray, P.; Ikonen Victorsson, P.; Santillo, A.; Matheson, G.J.; Lee, M.; Collste, K. Thalamic dopamine D2-receptor availability in schizophrenia:a study on antipsychotic-naive patients with first-episode psychosis and a meta-analysis. Mol. Psychiatry 2022, 27, 1233–1240. [Google Scholar] [CrossRef]
- Qu, W.; Hu, B.; Babich, J.W.; Waterhouse, N.; Dooley, M.; Ponnala, S.; Urgiles, J. A general 11C-labeling approach enabled by fluoride-mediated desilylation of organosilanes. Nat. Commun. 2020, 11, 1736. [Google Scholar] [CrossRef]
- Van Laeken, N.; Kersemans, K.; De Meestere, D.; Goethals, I.; De Vos, F. Improved HPLC purification strategy for [11C]raclopride and [11C]DASB leading to high radiochemical yields and more practical high quality radiopharmaceutical formulations. Appl. Radiat. Isot. 2013, 78, 62–67. [Google Scholar] [CrossRef]
- Zheng, Q.H.; Mock, B.H. Purification of carbon-11 PET radiotracers from unlabeled precursors by preparative HPLC and SPE. Biomed. Chromatogr. 2005, 19, 671–676. [Google Scholar] [CrossRef]
- Morris, O.; Gregory, J.; Kadirvel, M.; Henderson, F.; Blykers, A.; McMahon, A.; Taylor, M.; Allsop, D.; Allan, S.; Grigg, J.; et al. Development & automation of a novel [18F]F prosthetic group, 2-[18F]-fluoro-3-pyridinecarboxaldehyde, and its application to an amino(oxy)-functionalised Aβ peptide. Appl. Radiat. Isot. 2016, 116, 120–127. [Google Scholar] [CrossRef] [PubMed]
- Vasapollo, G.; Del Sole, R.; Mergola, L.; Lazzoi, M.R.; Scardino, A.; Scorrano, S.; Mele, G. Molecularly Imprinted Polymers: Present and Future Prospective. Int. J. Mol. Sci. 2011, 12, 5908–5945. [Google Scholar] [CrossRef] [PubMed]
- Del Sole, R.; Scardino, A.; Lazzoi, M.R.; Mergola, L.; Scorrano, S.; Vasapollo, G. A molecularly imprinted polymer for the determination of neopterin. Microchim. Acta 2013, 180, 1401–1409. [Google Scholar] [CrossRef]
- Mergola, L.; Scorrano, S.; Del Sole, R.; Lazzoi, M.R.; Vasapollo, G. Developments in the synthesis of a water compatible molecularly imprinted polymer as artificial receptor for detection of 3-nitro-L-tyrosine in neurological diseases. Biosens. Bioelectron. 2013, 40, 36–341. [Google Scholar] [CrossRef]
- Mergola, L.; Orabona, C.; Albini, E.; Vasapollo, G.; Scorrano, S.; Del Sole, R. Urinary L-kynurenine quantification and selective extraction through a molecularly imprinted solid-phase extraction device. J. Sep. Sci. 2018, 41, 3204–3212. [Google Scholar] [CrossRef]
- Mergola, L.; Stomeo, T.; Del Sole, R. Synthesis of photoswitchable submicroparticles and their evaluation as ion-imprinted polymers for Pd(II) uptake. Polym. J. 2020, 52, 743–754. [Google Scholar] [CrossRef]
- Ramanavicius, S.; Jgminas, A.; Ramanavicius, A. Advances in Molecularly Imprinted Polymers Based Affinity Sensors (Review). Polymers 2021, 13, 974. [Google Scholar] [CrossRef]
- Atayat, A.; Mergola, L.; Mzoughi, N.; Del Sole, R. Response surface methodology approach for the preparation of a molecularly imprinted polymer for solid-phase extraction of fenoxycarb pesticide in mussels. J. Sep. Sci. 2019, 42, 3023–3032. [Google Scholar] [CrossRef]
- Scorrano, S.; Mergola, L.; Di Bello, M.P.; Lazzoi, M.R.; Vasapollo, G.; Del Sole, R. Molecularly Imprinted Composite membranes for Selective Detection of 2-Deoxyadenosine in Urine Samples. Int. J. Mol. Sci. 2015, 16, 13746–13759. [Google Scholar] [CrossRef]
- Kamaruzaman, S.; Nasir, N.M.; Faudzi, S.M.M.; Yahaya, N.; Hanapi, N.S.M.; Ibrahim, W.N.W. Solid-Phase Extraction of Active Compounds from Natural Products by Molecularly Imprinted Polymers: Synthesis and Extraction Parameters. Polymers 2021, 13, 3780. [Google Scholar] [CrossRef]
- Mergola, L.; Scorrano, S.; Bloise, E.; Di Bello, M.P.; Catalano, M.; Vasapollo, G.; Del Sole, R. Novel polymeric sorbents based on imprinted Hg(II)-diphenylcarbazone complexes for mercury removal from drinking water. Polym. J. 2016, 48, 73–79. [Google Scholar] [CrossRef]
- Del Sole, R.; Mele, G.; Bloise, E.; Mergola, L. Green Aspects in Molecularly Imprinted Polymers by Biomass Waste Utilization. Polymers 2021, 13, 2430. [Google Scholar] [CrossRef] [PubMed]
- Scorrano, S.; Mergola, L.; Del Sole, R.; Lazzoi, M.R.; Vasapollo, G. A Molecularly Imprinted Polymer as Artificial Receptor for the Detection of Indole-3-carbinol. J. Appl. Polym. Sci. 2014, 131, 40819. [Google Scholar] [CrossRef]
- Di Bello, M.P.; Mergola, L.; Scorrano, S.; Del Sole, R. Towards a new strategy of a chitosan-based molecularly imprinted membrane for removal of 4-nitrophenol in real water samples. Polym. Int. 2017, 66, 1055–1063. [Google Scholar] [CrossRef]
- Meier, F.; Schott, B.; Riedel, D.; Mizaikoff, B. Computational and experimental study on the influence of the porogen on the selectivity of 4-nitrophenol molecularly imprinted polymers. Anal. Chim. Acta. 2012, 744, 68–74. [Google Scholar] [CrossRef]
- Yavuz, H.; Karakoç, V.; Turkmen, D.; Say, R.; Denizli, A. Synthesis of cholesterol imprinted polymeric particles. Int. J. Biol. Macromol. 2007, 41, 8–15. [Google Scholar] [CrossRef]
- Norman, M.H.; Kelley, J.L.; Hollingsworth, E.B. Conformationally Restricted Analogues of Remoxipride as Potential Antipsychotic Agents. J. Med. Chem. 1993, 36, 3417–3423. [Google Scholar] [CrossRef]
- Moein, M.M. Advancements of chiral molecularly imprinted polymers in separation and sensor fields: A review of the last decade. Talanta 2021, 224, 121794. [Google Scholar] [CrossRef]
- Yang, S.; Wang, Y.; Jiang, Y.; Li, S.; Liu, W. Molecularly Imprinted Polymers for the Identification and Separation of Chiral Drugs and Biomolecules. Polymers 2016, 8, 216. [Google Scholar] [CrossRef]
- Dong, H.; Zhang, D.; Lin, H.; Wang, Y.; Liu, L.; Zheng, M.; Li, X.; Zhang, C.; Li, J.; Zhang, P.; et al. A surface molecularly imprinted polymer as chiral stationary phase for chiral separation of 1,1′-binaphthalene-2-naphthol racemates. Chirality 2017, 29, 340–347. [Google Scholar] [CrossRef]
- Madikizela, L.M.; Chimuka, L. Synthesis, adsorption and selectivity studies of a polymer imprinted with naproxen, ibuprofen and diclofenac. J. Environ. Chem. Eng. 2016, 4, 4029–4037. [Google Scholar] [CrossRef]










Disclaimer/Publisher’s Note: The statements, opinions and data contained in all publications are solely those of the individual author(s) and contributor(s) and not of MDPI and/or the editor(s). MDPI and/or the editor(s) disclaim responsibility for any injury to people or property resulting from any ideas, methods, instructions or products referred to in the content. |
© 2023 by the authors. Licensee MDPI, Basel, Switzerland. This article is an open access article distributed under the terms and conditions of the Creative Commons Attribution (CC BY) license (https://creativecommons.org/licenses/by/4.0/).
Share and Cite
Del Sole, R.; Pascali, G.; Mele, G.; Perkins, G.; Mergola, L. Raclopride-Molecularly Imprinted Polymers: A Promising Technology for Selective [11C]Raclopride Purification. Materials 2023, 16, 1091. https://doi.org/10.3390/ma16031091
Del Sole R, Pascali G, Mele G, Perkins G, Mergola L. Raclopride-Molecularly Imprinted Polymers: A Promising Technology for Selective [11C]Raclopride Purification. Materials. 2023; 16(3):1091. https://doi.org/10.3390/ma16031091
Chicago/Turabian StyleDel Sole, Roberta, Giancarlo Pascali, Giuseppe Mele, Gary Perkins, and Lucia Mergola. 2023. "Raclopride-Molecularly Imprinted Polymers: A Promising Technology for Selective [11C]Raclopride Purification" Materials 16, no. 3: 1091. https://doi.org/10.3390/ma16031091
APA StyleDel Sole, R., Pascali, G., Mele, G., Perkins, G., & Mergola, L. (2023). Raclopride-Molecularly Imprinted Polymers: A Promising Technology for Selective [11C]Raclopride Purification. Materials, 16(3), 1091. https://doi.org/10.3390/ma16031091

