Magnetic and Electrical Properties of CuCr2Se4 Nanoparticles
Abstract
:1. Introduction
2. Materials and Methods
2.1. Synthesis of Nanocrystals
2.2. Methods
3. Results
3.1. Structural Characteristics
3.2. Electrical Properties
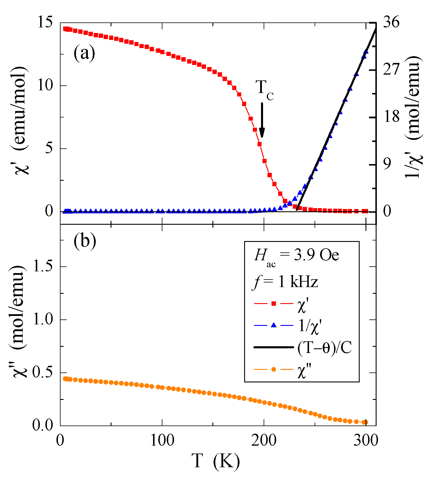
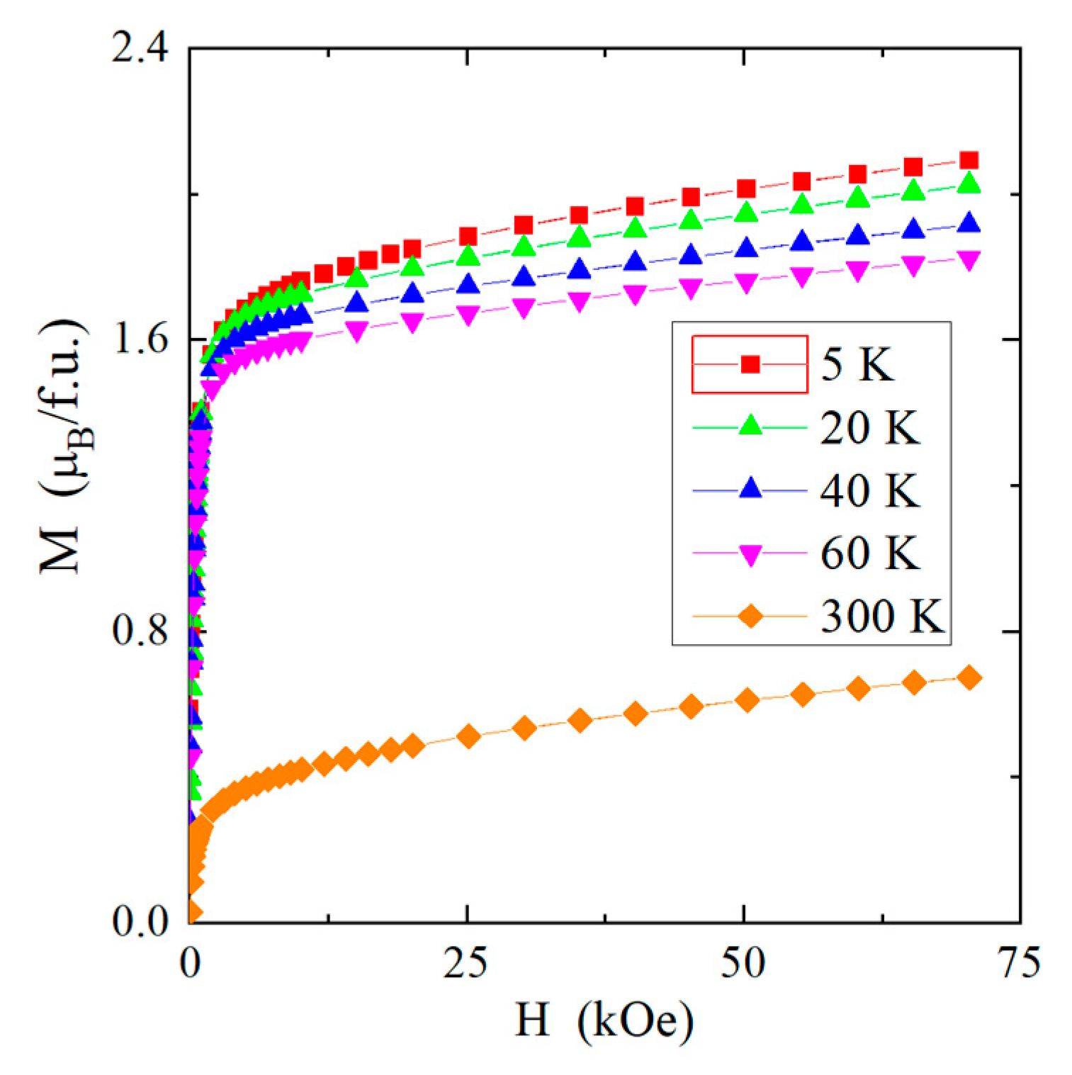
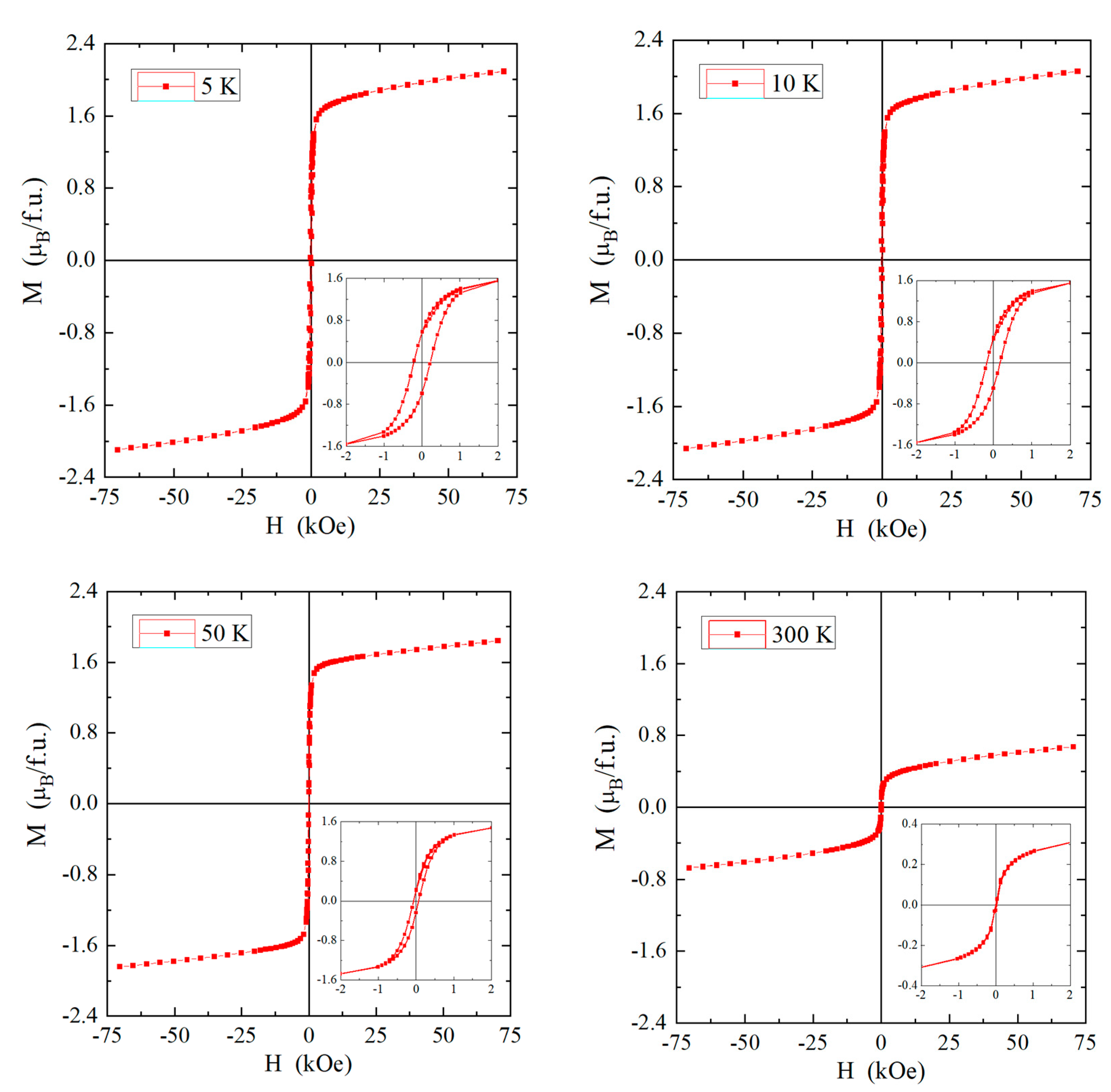
3.3. Magnetic Studies
4. Discussion
5. Conclusions
Author Contributions
Funding
Institutional Review Board Statement
Informed Consent Statement
Data Availability Statement
Conflicts of Interest
References
- Lotgering, F.K. International Conference on Magnetism, Nottingham, September 1964; Bates, L.F., Ed.; Institute of Physics: London, UK, 1965; pp. 533–537. [Google Scholar]
- Kanomata, T.; Ido, H.; Kaneko, T. Effect of Pressure on Curie Temperatures of Calcogenide Spinels CuCr2X4(X = S, Se and Te). J. Phys. Soc. Jpn. 1970, 29, 332–335. [Google Scholar] [CrossRef]
- Robbins, M.; Lehmann, H.W.; White, J.G. Neutron diffraction and electrical transport properties of CuCr2Se4. J. Phys. Chem. Sol. 1967, 28, 897–902. [Google Scholar] [CrossRef]
- Snyder, G.J.; Caillat, T.; Fleurial, J.P. Thermoelectric properties of Chalcogenides with Spinel Structure. Mat. Res. Innov. 2001, 5, 67–73. [Google Scholar] [CrossRef]
- Parker, D.R.; Green, M.A.; Bramwell, S.T.; Wills, A.S.; Gardner, J.S.; Neumann, D.A. Crossover from Positive to Negative Magnetoresistance in a Spinel. J. Am. Chem. Soc. 2004, 126, 2710–2711. [Google Scholar] [CrossRef] [PubMed]
- Colominas, C. Neutron-Diffraction Investigation of CuCr2Se4 and CuCr2Te4. Phys. Rev. 1967, 153, 558–560. [Google Scholar] [CrossRef]
- Kim, D.; Rusnak, A.N.; Patra, C.R.; Parameswaran, S.; Trofimov, V.B.; Harpness, R.; Gedanken, A.; Tver’yanovich, Y.S. Preparation and Properties of CuCr2Se4 Ferromagnetic Spinel Nanocrystals. Glass Phys. Chem. 2006, 32, 330–336. [Google Scholar] [CrossRef]
- Rusnak, A.N.; Kim, D.; Parameswaran, S.; Patra, C.R.; Trofimov, V.B.; Harpness, R.; Gedanken, A.; Tver’yanovich, Y.S. Syntheses and magnetic properties of nanocrystalline CuCr2Se4. J. Non-Crys. Sol. 2006, 352, 2885–2891. [Google Scholar] [CrossRef]
- Rao, M.L.; Shamsuzzoha, M.; Gupta, A. Shape-controlled solution synthesis of ferromagnetic copper chromium selenide (CuCr2Se4) crystallites. J. Crys. Gro. 2007, 306, 321–325. [Google Scholar] [CrossRef]
- Tsoi, G.M.; Wenger, L.E.; Wang, Y.-H.A.; Gupta, A. Magnetic properties of chalcogenide spinel CuCr2Se4 nanocrystals. J. Magn. Magn. Mater. 2010, 322, 142–147. [Google Scholar] [CrossRef]
- Pang, C.; Yang, R.; Singh, A.; Chen, H.; Bowman, M.K.; Bao, N.; Shen, L.; Gupta, A. Colloidal synthesis and magnetic properties of anisotropic-shaped spinel CuCr2Se4 nanocrystals. RSC Adv. 2017, 7, 31173–31179. [Google Scholar] [CrossRef]
- Gudwański, A.; Malicka, E.; Groń, T.; Karolus, M.; Oboz, M.; Sawicki, B.; Nowok, A.; Pawlus, S.; Duda, H. Electrical and magnetic properties of ZnCr2S4—nanoparticles. J. Alloys Compd. 2021, 861, 15797. [Google Scholar] [CrossRef]
- Malicka, E.; Karolus, M.; Groń, T.; Gudwański, A.; Ślebarski, A.; Goraus, J.; Oboz, M.; Sawicki, B.; Panek, J. Influence of Crystallite Size on The Magnetic Order in Semiconducting ZnCr2Se4 Nanoparticles. Materials 2019, 12, 3947. [Google Scholar] [CrossRef] [PubMed]
- Maciążek, E.; Malicka, E.; Karolus, M.; Panek, J.; Stokłosa, Z.; Groń, T.; Gudwański, A. Magnetic characteristics of CuCr2S4 nanospinels obtained by mechanical alloying and heat treatment. IEEE Trans. Magn. 2017, 53, 2400205. [Google Scholar] [CrossRef]
- Malicka, E.; Karolus, M.; Panek, J.; Stokłosa, Z.; Groń, T.; Gudwański, A.; Sawicki, B.; Goraus, J. Effect of crystallite size on electrical and magnetic properties of CuCr2S4 nanoparticles obtained by mechanical alloying from sulphides. Physica B 2020, 581, 411829. [Google Scholar] [CrossRef]
- von Philipsborn, H. Chalcogenide spinels and alternative structures. Z. Kristallogr. 1971, 133, 464–472. [Google Scholar] [CrossRef]
- Groń, T.; Krok-Kowalski, J.; Duda, H.; Mydlarz, T.; Gilewski, A.; Walczak, J.; Filipek, E.; Bärner, K. Metamagnetism in Cr2V4−xMoxO13+0.5x. Phys. Rev. B 1995, 51, 16021–16024. [Google Scholar] [CrossRef]
- Krok-Kowalski, J.; Groń, T.; Warczewski, J.; Mydlarz, T.; Okońska-Kozłowska, I. Ferrimagnetism and metamagnetism in Cd1−xCuxCr2S4. J. Magn. Magn. Mater. 1997, 168, 129–138. [Google Scholar] [CrossRef]
- Groń, T.; Bärner, K.; Kleeberg, C.; Okońska-Kozłowska, I. The thermoelectric power of ferromagnetically ordered Cu1−xGaxCr2Se4 spinels. Physica B 1996, 225, 191–196. [Google Scholar] [CrossRef]
- Groń, T.; Maciążek, E.; Heimann, J.; Kusz, J.; Okońska-Kozłowska, I.; Bärner, K.; Kleeberg, C. Electrical and magnetic studies of CuxCoyCrzSe4 single crystals. Physica B 1998, 254, 84–91. [Google Scholar] [CrossRef]
- Barnard, R.D. Thermoelectricity in Metals and Alloys; Taylor & Francis: London, UK, 1972. [Google Scholar]
- Trodahl, H.J. Thermopower of the superconducting cuprates. Phys. Rev. B 1995, 51, 5178–6175. [Google Scholar] [CrossRef]
- Tretyakov, Y.; Gordeev, I.V.; Kesler, Y.A. Investigation of some chalcogenides with spinel structure. J. Solid State Chem. 1977, 20, 345–358. [Google Scholar] [CrossRef]
- Jendrzejewska, I.; Groń, T.; Kusz, J.; Stokłosa, Z.; Pietrasik, E.; Goryczka, T.; Sawicki, B.; Goraus, J.; Jampilek, J.; Witkowska-Kita, B. Synthesis, structure, and physicochemical characteristics of Zn1−xRexCr2Se4 single crystals. Materials 2023, 16, 4565. [Google Scholar] [CrossRef] [PubMed]
- Kittel, C. Introduction to Solid State Physics; John Wiley & Sons, Inc.: New York, NY, USA, 1971; p. 641. [Google Scholar]
- Sawicki, B.; Tomaszewicz, E.; Groń, T.; Oboz, M.; Kusz, J.; Berkowski, M. Magnetic and electrical characteristics of Nd3+-doped lead molybdato-tungstate single crystals. Materials 2023, 16, 620. [Google Scholar] [CrossRef] [PubMed]
- Sawicki, B.; Karolewicz, M.; Tomaszewicz, E.; Oboz, M.; Groń, T.; Kukuła, Z.; Pawlus, S.; Nowok, A.; Duda, H. Effect of Gd3+ substitution on thermoelectric power factor of paramagnetic Co2+-doped calcium molybdato-tungstates. Materials 2021, 14, 3692. [Google Scholar] [CrossRef] [PubMed]
- Sawicki, B.; Tomaszewicz, E.; Guzik, M.; Groń, T.; Oboz, M.; Duda, H.; Pawlus, S.; Urbanowicz, P. Effect of Ca2+ site substitution on structural, optical, electrical and magnetic properties in Nd3+ and Mn2+-co-doped calcium molybdato-tungstates. Ceram. Int. 2023, 49, 944–955. [Google Scholar] [CrossRef]
- Krok, J.; Spałek, J.; Juszczyk, S.; Warczewski, J. Effect of double Exchange on magnetic properties of CuxZn1−xCr2Se4. Phys. Rev. B 1983, 28, 6499–6509. [Google Scholar] [CrossRef]
- Groń, T.; Krok-Kowalski, J. Double Exchange in Spinels. In Book: Double Exchange in Heusler Alloys and Related Materials; Bärner, K., Ed.; Research Signpost: Trivandrum, India, 2007; pp. 125–162. [Google Scholar]
- Lotgering, F.K. Ferromagnetism in spinels: CuCr2S4 and CuCr2Se4. Solid State Commun. 1964, 2, 55–56. [Google Scholar] [CrossRef]
- Balzer, P.K.; Wojtowicz, P.J.; Robins, M.; Lopatin, E. Exchange Interactions in Ferromagnetic Chromium Chalcogenide Spinels. Phys. Rev. 1966, 151, 367–377. [Google Scholar] [CrossRef]
- Cieplak, M. Localized model for system with double-exchange coupling. Phys. Rev. B 1978, 18, 3470–3485. [Google Scholar] [CrossRef]
- Zener, C. Interaction between the d-Shells in the Transition Metals. II. Ferromagnetic Compounds of Manganese and Perovskite Structure. Phys. Rev. 1951, 82, 403–405. [Google Scholar] [CrossRef]
- Malicka, E.; Groń, T.; Skrzypek, D.; Pacyna, A.W.; Badurski, D.; Waśkowska, A.; Mazur, S.; Sitko, R. Correlation between negative magnetoresistance effect and magnon excitations in single-crystalline CuCr1.6V0.4Se4. Philos. Mag. 2010, 90, 1525–1541. [Google Scholar] [CrossRef]
- Maciążek, E.; Malicka, E.; Gągor, A.; Stokłosa, Z.; Groń, T.; Sawicki, B.; Duda, H.; Gudwański, A. Semiconducting-metallic transition of singlecrystalline ferromagnetic Hf-doped CuCr2Se4 spinels. Physica B 2017, 520, 116–122. [Google Scholar] [CrossRef]








| CuCr2S4 | TC, TN (K) | θ (K) | µeff (µB/f.u.) | ρ (Ωm) | S (µV/K) | Ref. |
|---|---|---|---|---|---|---|
| bulk | 420 | 390 | 4.4 | 4 × 10−4 | +16.0 | [1,2] |
| nano | 30 | 198 | 3.53 | 1.8 | +63 | [13] |
| nano | 40 | 258 | 1.934 | 2.13 | −767 | [14] |
| Substrate Weigh (g) | Zone Temperature (K) | ∆T (K) | Time (h) | ||
|---|---|---|---|---|---|
| CuSe | CrCl3 | Tdisso. | Tcryst. | 90 | 384 |
| 4.5605 | 2.5335 | 1023 | 933 | ||
| Mill Type | Pulverisette 7 |
|---|---|
| Vessel capacity | 20 cc |
| Milling balls | 40 balls (diameter 5 mm, weight 0.51 g each) |
| Milling rotation | 500 rpm |
| Milling time | 15 min |
| Cooling | 15 min |
| Number of cycles | 20 |
| Total milling time | 5 h |
| t (h) | a (nm) | d (nm) | η (%) |
|---|---|---|---|
| 1 | 1.03719(6) | 119 | 0.49 |
| 3 | 1.04090(4) | 107 | 0.47 |
| 5 | 1.04139(8) | 32 | 0.85 |
| CuCr2Se4 | Ea1 (eV) | Ea2 (eV) | a (µV/K2) | EF (eV) | TF (K) |
|---|---|---|---|---|---|
| bulk | <0 | ≈0 | 0.036 (*) | 2.04 (*) | 23622 (*) |
| nano | 0.46 | 0.01 | 0.16 | 0.46 | 5315 |
| CuCr2Se4 | C (emu·K/mol) | TC (K) | Tf (K) | θ (K) | μeff (μB/f.u.) | Hc (5K) (T) | Mr(5K) (μB/f.u.) | Ms(5K) (μB/f.u.) |
|---|---|---|---|---|---|---|---|---|
| bulk | 2.70 | 416 | - | 436 | 4.65 | - | - | 4.76 |
| nano | 2.27 | 196 | 50 | 231 | 4.26 | 0.206 | 0.59 | 2.09 |
| Spinel | x3 (Cr3+) | x4 (Cr4+) | X | θse (K) | θde (K) | B (K) | Wd (eV) | Jaa (K) | Jab (K) | baa (K) | bab (K) | (K) | (K) |
|---|---|---|---|---|---|---|---|---|---|---|---|---|---|
| bulk | 0.512 | 0.488 | 2.896 | 90 | 340 | 4391 | 0.76 | 63.9 | −9.65 | 332.65 | 65.53 | 466.51 | −83.5 |
| nano | 0.64 | 0.36 | 3.12 | 100 | 131 | 1093 | 0.19 | 31.1 | −4.1 | 82.80 | 16.56 | 205.68 | −41.7 |
Disclaimer/Publisher’s Note: The statements, opinions and data contained in all publications are solely those of the individual author(s) and contributor(s) and not of MDPI and/or the editor(s). MDPI and/or the editor(s) disclaim responsibility for any injury to people or property resulting from any ideas, methods, instructions or products referred to in the content. |
© 2023 by the authors. Licensee MDPI, Basel, Switzerland. This article is an open access article distributed under the terms and conditions of the Creative Commons Attribution (CC BY) license (https://creativecommons.org/licenses/by/4.0/).
Share and Cite
Malicka, E.; Groń, T.; Gudwański, A.; Sawicki, B.; Oboz, M.; Karolus, M.; Kukuła, Z. Magnetic and Electrical Properties of CuCr2Se4 Nanoparticles. Materials 2023, 16, 7495. https://doi.org/10.3390/ma16237495
Malicka E, Groń T, Gudwański A, Sawicki B, Oboz M, Karolus M, Kukuła Z. Magnetic and Electrical Properties of CuCr2Se4 Nanoparticles. Materials. 2023; 16(23):7495. https://doi.org/10.3390/ma16237495
Chicago/Turabian StyleMalicka, Ewa, Tadeusz Groń, Adrian Gudwański, Bogdan Sawicki, Monika Oboz, Małgorzata Karolus, and Zenon Kukuła. 2023. "Magnetic and Electrical Properties of CuCr2Se4 Nanoparticles" Materials 16, no. 23: 7495. https://doi.org/10.3390/ma16237495
APA StyleMalicka, E., Groń, T., Gudwański, A., Sawicki, B., Oboz, M., Karolus, M., & Kukuła, Z. (2023). Magnetic and Electrical Properties of CuCr2Se4 Nanoparticles. Materials, 16(23), 7495. https://doi.org/10.3390/ma16237495

