First-Principle Studies on Local Lattice Distortions and Thermodynamic Properties in Non-Stoichiometric Thorium Monocarbide
Abstract
:1. Introduction
2. Calculation Methods and Models
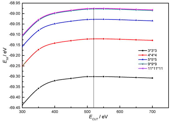
2.1. Calculation Method
2.2. Calculation Models
2.3. Crystal and Vacancy Formation Energies
2.4. Elastic Properties
2.5. Thermodynamic Properties
3. Results and Discussion
3.1. Random Substitution
3.2. Structural Properties and Formation Energy
3.3. Elastic Moduli
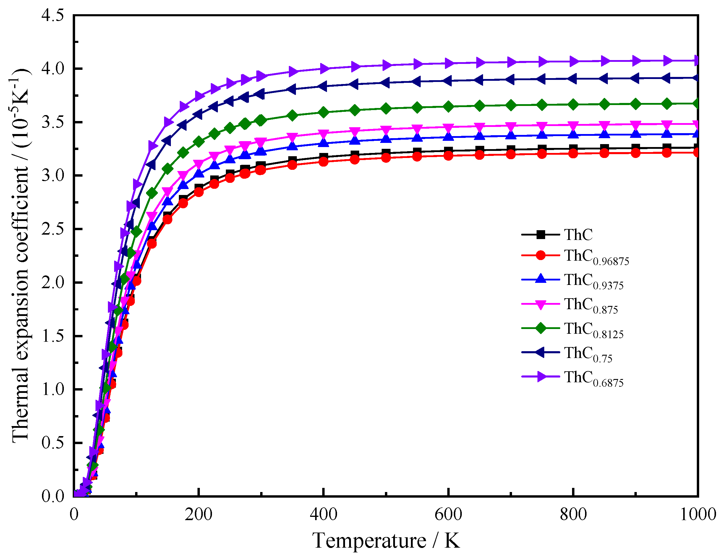
3.4. Debye Temperature and Thermal Expansion Coefficient
3.5. Heat Capacity and Helmholtz Free Energy
4. Conclusions
Author Contributions
Funding
Institutional Review Board Statement
Informed Consent Statement
Data Availability Statement
Acknowledgments
Conflicts of Interest
Appendix A

References
- Ushakov, S.V.; Hong, Q.J.; Gilbert, D.A.; Navrotsky, A.; van de Walle, A. Thorium and Rare Earth Monoxides and Related Phases. Materials 2023, 16, 1350. [Google Scholar] [CrossRef] [PubMed]
- Das, D.; Bharadwaj, S.R. (Eds.) Thoria-Based Nuclear Fuels; Springer: London, UK, 2013; ISBN 978-1-4471-5588-1. [Google Scholar]
- Patel, K.S.; Sharma, S.; Maity, J.P.; Martín-Ramos, P.; Fiket, Ž.; Bhattacharya, P.; Zhu, Y. Occurrence of uranium, thorium and rare earth elements in the environment: A review. Front. Environ. Sci. 2023, 10, 1058053. [Google Scholar] [CrossRef]
- Siddique, M.; Rahman, A.U.; Iqbal, A.; Azam, S. A first-principles theoretical investigation of the structural, electronic and magnetic properties of cubic thorium carbonitrides ThCxN(1−x). Nucl. Eng. Technol. 2019, 51, 1373–1380. [Google Scholar] [CrossRef]
- Cui, D.Y.; Zhang, A.; Li, X.X.; Cai, X.Z.; Chen, J.G.; Zou, Y. An assessment of scenarios for transuranic burning and 233U production in a small molten chloride fast reactor. Ann. Nucl. Energy 2023, 185, 109719. [Google Scholar] [CrossRef]
- Ma, J.J.; Han, X.F.; Cai, X.X.; Qiu, R.; Eriksson, O.; Zhang, P.; Wang, B.T. High-Temperature Mechanical and Dynamical Properties of γ-(U,Zr) Alloys. Materials 2023, 16, 2623. [Google Scholar] [CrossRef] [PubMed]
- Wang, C.Y.; Han, H.; Shao, K.; Cheng, C.; Huai, P. Defect stability in thorium monocarbide: An ab initio study. Chin. Phys. B 2015, 24, 097101. [Google Scholar] [CrossRef]
- Söderlind, P.; Moore, E.E.; Wu, C.J. Thermodynamics Modeling for Actinide Monocarbides and Mononitrides from First Principles. Appl. Sci. 2022, 12, 728. [Google Scholar] [CrossRef]
- Shen, Y.; Yu, X.; Meng, Q.; Yao, Y.R.; Autschbach, J.; Chen, N. ThC2@C82versus Th@C84: Unexpected formation of triangular thorium carbide cluster inside fullerenes. Chem. Sci. 2022, 113, 12980–12986. [Google Scholar] [CrossRef]
- György, H.; Czifrus, S. The utilization of thorium in Generation IV reactors. Prog. Nucl. Energy 2016, 93, 306–317. [Google Scholar] [CrossRef]
- Kleykamp, H. Thorium Carbides. In Gmelin Handbook of Inorganic and Organometallic Chemistry; Springer: Berlin, Germany, 1992; Volume 6. [Google Scholar]
- Shein, I.R.; Ivanovskii, A.L. Thorium compounds with non-metals: Electronic structure, chemical bond, and physicochemical properties. J. Struct. Chem. 2008, 49, 348–370. [Google Scholar] [CrossRef]
- Aydin, S.; Tatar, A.; Ciftci, Y.O. A theoretical study for thorium monocarbide (ThC). J. Nucl. Mater. 2012, 429, 55–69. [Google Scholar] [CrossRef]
- Satow, T. thermodynamic properties and nonstoichiometry of thorium monocarbide. J. Nucl. Mater. 1967, 21, 255–262. [Google Scholar] [CrossRef]
- Wang, H.; Lan, J.Q.; Hu, C.E.; Chen, X.R.; Geng, H.Y. Electronic structure, elastic and thermal transport properties of thorium monocarbide based on first-principles study. J. Nucl. Mater. 2019, 524, 141–148. [Google Scholar] [CrossRef]
- Shein, I.R.; Ivanovskiĭ, A.L. Effect of spin-orbit coupling on structural, electronic, and mechanical properties of cubic thorium monocarbide ThC. Phys. Solid State 2010, 52, 2039–2043. [Google Scholar] [CrossRef]
- Pérez Daroca, D.; Jaroszewicz, S.; Llois, A.M.; Mosca, H.O. First-principles study of point defects in thorium carbide. J. Nucl. Mater. 2014, 454, 217–222. [Google Scholar] [CrossRef]
- Yang, F.; Du, J.; Jiang, G. Th doped carbon clusters ThCn (n = 1–7): Stability and bonding natures. Comput. Theor. Chem. 2019, 1159, 7–11. [Google Scholar] [CrossRef]
- Yu, C.; Lin, J.; Huai, P.; Guo, Y.; Ke, X.; Yu, X.; Yang, K.; Li, N.; Yang, W.; Sun, B.; et al. Structural phase transition of ThC under high pressure. Sci. Rep. 2017, 7, 96. [Google Scholar] [CrossRef]
- Gerward, L.; Olsen, J.S.; Benedict, U.; Itie, J.P.; Spirlet, J.C. Structural stability and equation of state of thorium carbide for pressures up to 36 GPa. J. Appl. Crystallogr. 1986, 19, 308–310. [Google Scholar] [CrossRef]
- Olsen, J.S.; Steenstrup, S.; Gerward, L.; Benedict, U.; Itié, J.P. High-pressure structural studies of uranium and thorium compounds with the rocksalt structure. Phys. B+C 1986, 139–140, 308–310. [Google Scholar] [CrossRef]
- Guo, Y.; Qiu, W.; Ke, X.; Huai, P.; Cheng, C.; Han, H.; Ren, C.; Zhu, Z. A new phase of ThC at high pressure predicted from a first-principles study. Phys. Lett. Sect. A Gen. At. Solid State Phys. 2015, 379, 1607–1611. [Google Scholar] [CrossRef]
- Sun, G.; Kürti, J.; Rajczy, P.; Kertesz, M.; Hafner, J.; Kresse, G. Performance of the Vienna ab initio simulation package (VASP) in chemical applications. J. Mol. Struct. THEOCHEM 2003, 624, 37–45. [Google Scholar] [CrossRef]
- Parr, R.G. Density Functional Theory of Atoms and Molecules. In Horizons of Quantum Chemistry; Fukui, K., Pullman, B., Eds.; Springer: Dordrecht, The Netherlands, 1980; pp. 5–15. [Google Scholar]
- Blöchl, P.E. Projector augmented-wave method. Phys. Rev. B 1994, 50, 17953–17979. [Google Scholar] [CrossRef] [PubMed]
- Perdew, J.P.; Burke, K.; Ernzerhof, M. Generalized gradient approximation made simple. Phys. Rev. Lett. 1996, 77, 3865–3868. [Google Scholar] [CrossRef] [PubMed]
- Kývala, L.; Legut, D. Lattice dynamics and thermal properties of thorium metal and thorium monocarbide. Phys. Rev. B 2020, 101, 75117. [Google Scholar] [CrossRef]
- Methfessel, M.; Paxton, A.T. High-precision sampling for Brillouin-zone integration in metals. Phys. Rev. B 1989, 40, 3616–3621. [Google Scholar] [CrossRef] [PubMed]
- Monkhorst, H.J.; Pack, J.D. Special points for Brillouin-zone integrations. Phys. Rev. B 1976, 13, 5188–5192. [Google Scholar] [CrossRef]
- Sahoo, B.D.; Joshi, K.D.; Gupta, S.C. Prediction of new high pressure structural sequence in thorium carbide: A first principles study. J. Appl. Phys. 2015, 117, 185903. [Google Scholar] [CrossRef]
- Shein, I.R.; Shein, K.I.; Ivanovskii, A.L. First-principle study of B1-like thorium carbide, nitride and oxide. J. Nucl. Mater. 2006, 353, 19–26. [Google Scholar] [CrossRef]
- Catlow, C.R.A.; George, A.R.; Freeman, C.M. Ab initio and molecular-mechanics studies of aluminosilicate fragments, and the origin of Lowenstein’s rule. Chem. Commun. 1996, 11, 1311–1312. [Google Scholar] [CrossRef]
- Freyss, M. First-principles study of uranium carbide: Accommodation of point defects and of helium, xenon, and oxygen impurities. Phys. Rev. B 2010, 81, 014101. [Google Scholar] [CrossRef]
- Liang, Y.; Yang, J.; Xi, L.; Liu, C.; Zhang, G.; Zhang, W. The vacancy ordering produces a new cubic monocarbide: ReC. Mater. Today Phys. 2018, 7, 54–60. [Google Scholar] [CrossRef]
- Ma, B.-L.; Wu, Y.-Y.; Guo, Y.-H.; Yin, W.; Zhan, Q.; Yang, H.-G.; Wang, S.; Wang, B.-T. Effects of Monovacancy and Divacancies on Hydrogen Solubility, Trapping and Diffusion Behaviors in fcc-Pd by First Principles. Materials 2020, 13, 4876. [Google Scholar] [CrossRef] [PubMed]
- Shein, I.R.; Ivanovskii, A.L. The influence of carbon non-stoichiometry on the electronic properties of thorium monocarbide ThC. Solid State Sci. 2010, 12, 1580–1584. [Google Scholar] [CrossRef]
- Born, M.; Huang, K. Dynamical Theory of Crystal Lattices; Oxford University Press: Oxford, UK, 1988. [Google Scholar]
- Hill, R. Elastic properties of reinforced solids: Some theoretical principles. J. Mech. Phys. Solids 1963, 11, 357–372. [Google Scholar] [CrossRef]
- Wu, Z.J.; Zhao, E.J.; Xiang, H.P.; Hao, X.F.; Liu, X.J.; Meng, J. Crystal structures and elastic properties of superhard Ir N2 and Ir N3 from first principles. Phys. Rev. B-Condens. Matter Mater. Phys. 2007, 76, 054115. [Google Scholar] [CrossRef]
- Kirkwood, J.G.; Oppenheim, I. Chemical Thermodynamics; McGraw-Hill: New York, NY, USA, 1961. [Google Scholar]
- Yamawaki, M.; Koyama, T.; Takahashi, Y. Thermodynamics of the vaporization of non-stoichiometric thorium monocarbide ThC1±x. J. Nucl. Mater. 1989, 167, 113–121. [Google Scholar] [CrossRef]
- Routbort, J.L. Adiabatic elastic constants of uranium monocarbide. J. Nucl. Mater. 1971, 40, 17–26. [Google Scholar] [CrossRef]
- Zhang, C.-M.; Jiang, Y.; Yin, D.-F.; Tao, H.-J.; Sun, S.-P.; Yao, J.-G. Effects of point defect concentrations on elastic properties of off-stoichiometric L12-type A13Sc. Acta Phys. Sin. 2016, 65, 076101. [Google Scholar] [CrossRef]
- Marcus, P.M.; Qiu, S.L. Elasticity in crystals under pressure. J. Phys. Condens. Matter 2009, 21, 115401. [Google Scholar] [CrossRef]
- Pérez Daroca, D.; Jaroszewicz, S.; Llois, A.M.; Mosca, H.O. Phonon spectrum, mechanical and thermophysical properties of thorium carbide. J. Nucl. Mater. 2013, 437, 135–138. [Google Scholar] [CrossRef]
- Pugh, S.F. XCII. Relations between the elastic moduli and the plastic properties of polycrystalline pure metals AU. Lond. Edinb. Dublin Philos. Mag. J. Sci. 1954, 45, 823–843. [Google Scholar] [CrossRef]
- Chen, Y.; Hammerschmidt, T.; Pettifor, D.G.; Shang, J.X.; Zhang, Y. Influence of vibrational entropy on structural stability of Nb-Si and Mo-Si systems at elevated temperatures. Acta Mater. 2009, 57, 2657–2664. [Google Scholar] [CrossRef]
- Watt, J.P.; Peselnick, L. Clarification of the Hashin-Shtrikman bounds on the effective elastic moduli of polycrystals with hexagonal, trigonal, and tetragonal symmetries. J. Appl. Phys. 1980, 51, 1525–1531. [Google Scholar] [CrossRef]
- Hill, R. The elastic behaviour of a crystalline aggregate. Proc. Phys. Society. Sect. A 1952, 65, 349. [Google Scholar] [CrossRef]
- Harness, J.B.; Matthews, J.C.; Morton, N. The specific heat of some uranium and thorium carbides between 1.8° K and 4.2° K. Br. J. Appl. Phys. 1964, 15, 963–966. [Google Scholar] [CrossRef]
- Danan, J. Chaleur specifique de 2 a 300 K du monocarbure de thorium. J. Nucl. Mater. 1975, 57, 280–282. [Google Scholar] [CrossRef]
- Satow, T. Electrical resistivity, magnetic susceptibility, and thermal expansion of thorium monocarbide. J. Nucl. Mater. 1967, 21, 343–344. [Google Scholar] [CrossRef]










| Phase | ThC | ThC0.96875 | ThC0.9375 | ThC0.875 | ThC0.8125 | ThC0.75 | ThC0.6875 |
|---|---|---|---|---|---|---|---|
| a/Å | 5.3510 5.352 [7] 5.341 [13] 5.344 [14] 5.351 [19] 5.388 [31] 5.3878 [36] | 5.3512 5.3470 a [41] | 5.3493 | 5.3427 5.3429 b [41] | 5.3351 5.325 c [14] | 5.3257 5.31 d [11] 5.312 [36] | 5.3248 5.292 e [14] |
| c/a | 1 | 1 | 1 | 1 | 1 | 0.997 | 0.994 |
| Δa/a0/% | 0 | 0 | −0.036 | −0.159 | −0.302 | −0.477 | −0.494 |
| V, unit cell, Å3 | 153.216 | 153.235 | 153.071 | 152.506 | 151.851 | 151.052 | 150.963 |
| Eform/eV | −0.444 −0.55 [12] −0.570 [36] | −0.438 | −0.425 | −0.407 | −0.383 | −0.358 | −0.337 |
| Evf/eV | 0.000 0.000 [36] | 0.013 | 0.038 | 0.075 | 0.123 | 0.172 0.15 [17] 0.29 f [7] 0.32 f [36] | 0.215 |
| Phase | c11 /GPa | c33 /GPa | c44 /GPa | c66 /GPa | c12 /GPa | c13 /GPa | B /GPa | G /GPa | B/G | E /GPa | ν | A |
|---|---|---|---|---|---|---|---|---|---|---|---|---|
| ThC | 215.59 ± 0.60 | 79.72 ± 0.60 | 89.74 ± 0.43 | 131.61 | 72.49 | 1.82 | 183.84 | 0.27 | 1.22 | |||
| ThC [13] | 276.4 | 87.2 | 99.1 | 158.2 | 87.8 | 1.80 | 222.2 | 0.27 | 0.98 | |||
| ThC [15] | 222.49 | 80.41 | 92.03 | 135.52 | 74.34 | 1.82 | 188.54 | 0.27 | 1.13 | |||
| ThC [45] | 222.10 | 66.12 | 85.67 | 131.15 | 67.10 | 1.95 | 171.97 | 0.28 | 0.97 | |||
| ThC0.96875 | 214.73 ± 0.82 | 76.47 ± 0.58 | 84.15 ± 0.58 | 127.68 | 71.79 | 1.78 | 181.38 | 0.27 | 1.19 | |||
| ThC0.9375 | 213.53 ± 0.59 | 72.23 ± 0.41 | 78.24 ± 0.41 | 123.12 | 70.54 | 1.75 | 177.69 | 0.26 | 1.07 | |||
| ThC0.875 | 211.28 ± 0.83 | 66.14 ± 0.83 | 68.53 ± 0.59 | 116.47 | 68.63 | 1.70 | 172.08 | 0.25 | 0.90 | |||
| ThC0.8125 | 201.90 ± 0.78 | 59.08 ± 0.78 | 59.75 ± 0.55 | 107.20 | 63.93 | 1.68 | 159.99 | 0.25 | 0.83 | |||
| ThC0.75 | 180.51 ± 0.72 | 192.14 ± 0.72 | 54.62 ± 0.72 | 55.83 ± 0.72 | 60.90 ± 0.72 | 51.99 ± 0.72 | 98.08 | 58.40 | 1.68 | 146.18 | 0.25 | 0.91 |
| ThC0.6875 | 173.06 ± 0.63 | 180.81 ± 0.63 | 51.46 ± 0.45 | 51.95 ± 0.63 | 51.46 ± 0.45 | 46.95 ± 0.45 | 90.87 | 55.95 | 1.62 | 139.26 | 0.24 | 0.84 |
Disclaimer/Publisher’s Note: The statements, opinions and data contained in all publications are solely those of the individual author(s) and contributor(s) and not of MDPI and/or the editor(s). MDPI and/or the editor(s) disclaim responsibility for any injury to people or property resulting from any ideas, methods, instructions or products referred to in the content. |
© 2023 by the authors. Licensee MDPI, Basel, Switzerland. This article is an open access article distributed under the terms and conditions of the Creative Commons Attribution (CC BY) license (https://creativecommons.org/licenses/by/4.0/).
Share and Cite
Wei, Q.; Zhu, L.; Wu, Y.; Liu, Y.; Wang, B. First-Principle Studies on Local Lattice Distortions and Thermodynamic Properties in Non-Stoichiometric Thorium Monocarbide. Materials 2023, 16, 7484. https://doi.org/10.3390/ma16237484
Wei Q, Zhu L, Wu Y, Liu Y, Wang B. First-Principle Studies on Local Lattice Distortions and Thermodynamic Properties in Non-Stoichiometric Thorium Monocarbide. Materials. 2023; 16(23):7484. https://doi.org/10.3390/ma16237484
Chicago/Turabian StyleWei, Qianglin, Lin Zhu, Yiyuan Wu, Yibao Liu, and Baotian Wang. 2023. "First-Principle Studies on Local Lattice Distortions and Thermodynamic Properties in Non-Stoichiometric Thorium Monocarbide" Materials 16, no. 23: 7484. https://doi.org/10.3390/ma16237484
APA StyleWei, Q., Zhu, L., Wu, Y., Liu, Y., & Wang, B. (2023). First-Principle Studies on Local Lattice Distortions and Thermodynamic Properties in Non-Stoichiometric Thorium Monocarbide. Materials, 16(23), 7484. https://doi.org/10.3390/ma16237484

