Real-Time Monitoring of Strain Accumulation and Relief during Epitaxy of Ultrathin Co Ferrite Films with Varied Co Content
Abstract
:1. Introduction
2. Materials and Methods
3. Results and Discussion
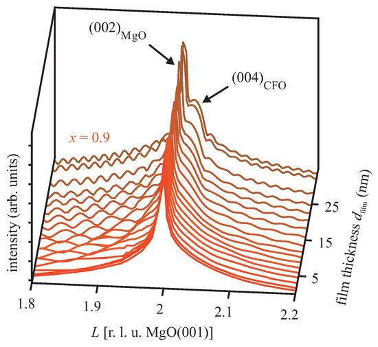
3.1. Operando tr-XRD during Film Growth
3.2. Post-Deposition Characterization
3.2.1. LEED
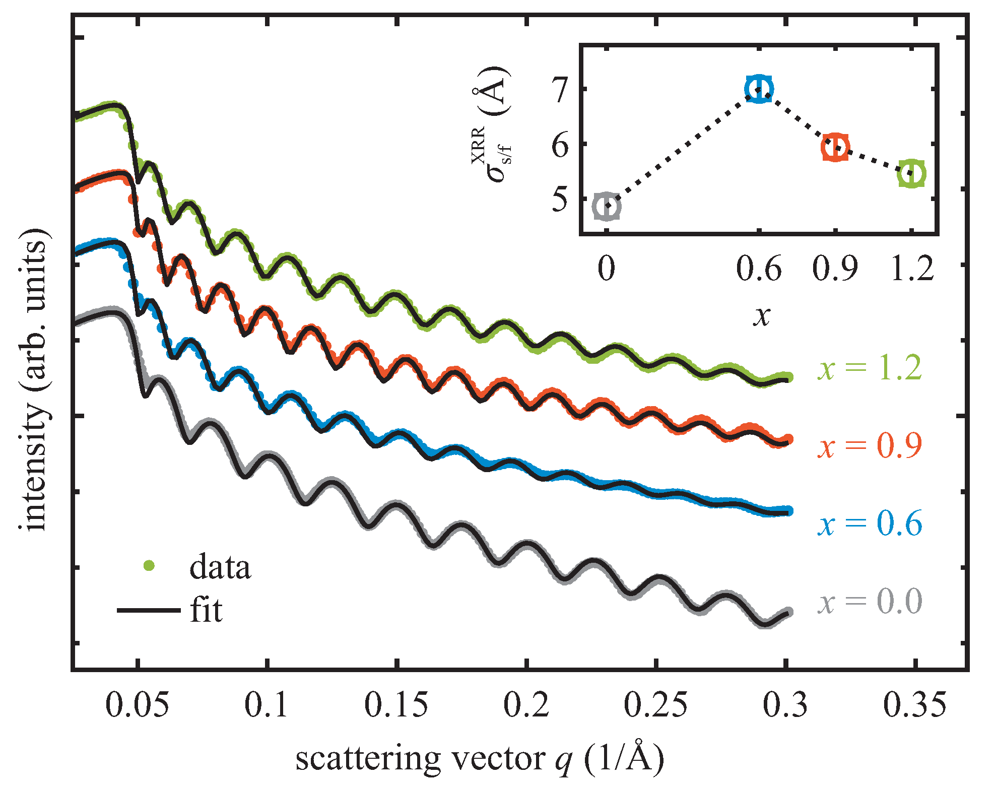
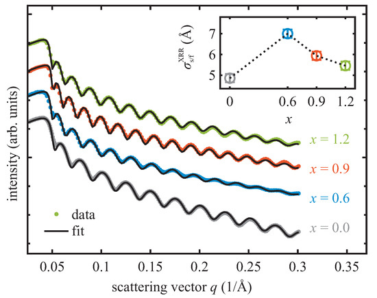
3.2.2. XRR
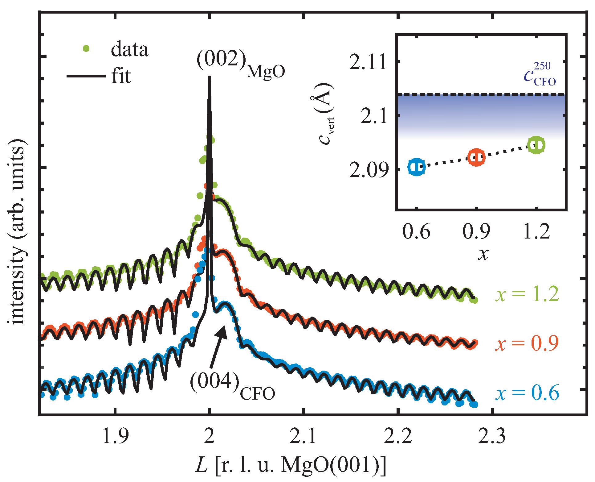
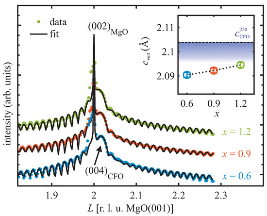
3.2.3. Post-Deposition XRD
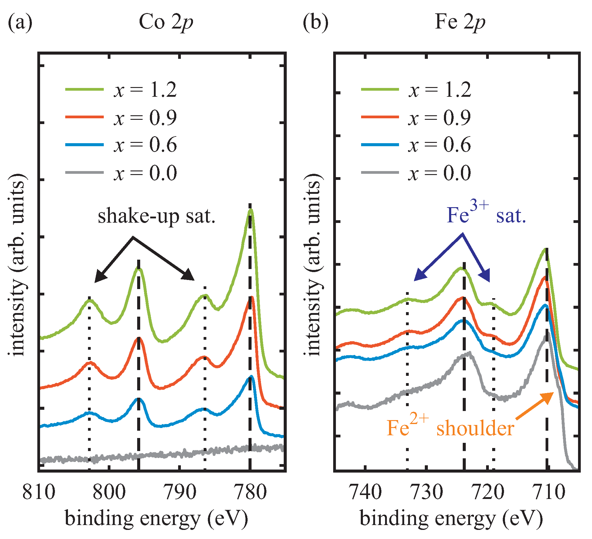
3.3. HAXPES
4. Conclusions
Author Contributions
Funding
Institutional Review Board Statement
Informed Consent Statement
Data Availability Statement
Acknowledgments
Conflicts of Interest
References
- Moyer, J.A.; Kumah, D.P.; Vaz, C.A.F.; Arena, D.A.; Henrich, V.E. Epitaxial strain-induced changes in the cation distribution and resistivity of Fe-doped CoFe2O4. Appl. Phys. Lett. 2012, 101, 021907. [Google Scholar] [CrossRef]
- Tainosho, T.; Inoue, J.-I.; Sharmin, S.; Takeguchi, M.; Kita, E.; Yanagihara, H. Large negative uniaxial magnetic anisotropy in highly distorted Co-ferrite thin films. Appl. Phys. Lett. 2019, 114, 092408. [Google Scholar] [CrossRef]
- Wisser, J.J.; Riddiford, L.J.; Altman, A.; Li, P.; Emori, S.; Shafer, P.; Klewe, C.; N’Diaye, A.T.; Arenholz, E.; Suzuki, Y. The role of iron in magnetic damping of Mg(Al,Fe)2O4 spinel ferrite thin films. Appl. Phys. Lett. 2020, 116, 142406. [Google Scholar] [CrossRef]
- Regmi, S.; Li, Z.; Srivastava, A.; Mahat, R.; KC, S.; Rastogi, A.; Galazka, Z.; Datta, R.; Mewes, T.; Gupta, A. Structural and magnetic properties of NiFe2O4 thin films grown on isostructural lattice-matched substrates. Appl. Phys. Lett. 2021, 118, 152402. [Google Scholar] [CrossRef]
- Rigato, F.; Geshev, J.; Skumryev, V.; Fontcuberta, J. The magnetization of epitaxial nanometric CoFe2O4 (001) layers. J. Appl. Phys. 2009, 106, 113924. [Google Scholar] [CrossRef]
- Rodewald, J.; Thien, J.; Ruwisch, K.; Bertram, F.; Kuepper, K.; Wollschläger, J. Enhanced magnetization of ultrathin NiFe2O4 films on SrTiO3(001) related to cation disorder and anomalous strain. Phys. Rev. Mater. 2020, 4, 064404. [Google Scholar] [CrossRef]
- Zviagin, V.; Kumar, Y.; Lorite, I.; Esquinazi, P.; Grundmann, M.; Schmidt-Grund, R. Ellipsometric investigation of ZnFe2O4 thin films in relation to magnetic properties. Appl. Phys. Lett. 2016, 108, 131901. [Google Scholar] [CrossRef]
- Lüders, U.; Bibes, M.; Bobo, J.F.; Cantoni, M.; Bertacco, R.; Fontcuberta, J. Enhanced magnetic moment and conductive behavior in NiFe2O4 spinel ultrathin films. Phys. Rev. B 2005, 71, 134419. [Google Scholar] [CrossRef]
- Moussy, J.B. From epitaxial growth of ferrite thin films to spin-polarized tunnelling. J. Phys. D Appl. Phys. 2013, 46, 143001. [Google Scholar] [CrossRef]
- Takahashi, Y.K.; Kasai, S.; Furubayashi, T.; Mitani, S.; Inomata, K.; Hono, K. High spin-filter efficiency in a Co ferrite fabricated by a thermal oxidation. Appl. Phys. Lett. 2010, 96, 072512. [Google Scholar] [CrossRef]
- Lukashev, P.V.; Burton, J.D.; Smogunov, A.; Velev, J.P.; Tsymbal, E.Y. Interface states in CoFe2O4 spin-filter tunnel junctions. Phys. Rev. B 2013, 88, 134430. [Google Scholar] [CrossRef]
- Tezuka, N. New materials research for high spin polarized current. J. Magn. Magn. Mater. 2012, 324, 3588–3592. [Google Scholar] [CrossRef]
- Rodewald, J.; Thien, J.; Pohlmann, T.; Hoppe, M.; Bertram, F.; Kuepper, K.; Wollschläger, J. Real-time monitoring the growth of strained off-stoichiometric NixFe3−xO4 ultrathin films on MgO(001). Appl. Phys. Lett. 2020, 117, 011601. [Google Scholar] [CrossRef]
- Althammer, M.; Singh, A.V.; Wimmer, T.; Galazka, Z.; Huebl, H.; Opel, M.; Gross, R.; Gupta, A. Role of interface quality for the spin Hall magnetoresistance in nickel ferrite thin films with bulk-like magnetic properties. Appl. Phys. Lett. 2019, 115, 092403. [Google Scholar] [CrossRef]
- Kuschel, O.; Spiess, W.; Schemme, T.; Rubio-Zuazo, J.; Kuepper, K.; Wollschläger, J. Real-time monitoring of the structure of ultrathin Fe3O4 films during growth on Nb-doped SrTiO3(001). Appl. Phys. Lett. 2017, 111, 041902. [Google Scholar] [CrossRef]
- Nicklin, C.; Arnold, T.; Rawle, J.; Warne, A. Diamond beamline I07: A beamline for surfaceand interface diffraction. J. Synchrotron Rad. 2016, 23, 1245–1253. [Google Scholar] [CrossRef] [PubMed]
- Schemme, T.; Krampf, A.; Bertram, F.; Kuschel, T.; Kuepper, K.; Wollschläger, J. Modifying magnetic properties of ultra-thin magnetite films by growth on Fe pre-covered MgO(001). J. Appl. Phys. 2015, 118, 113904. [Google Scholar] [CrossRef]
- Bertram, F.; Deiter, C.; Schemme, T.; Jentsch, S.; Wollschläger, J. Reordering between tetrahedral and octahedral sites in ultrathin magnetite films grown on MgO(001). J. Appl. Phys. 2013, 113, 184103. [Google Scholar] [CrossRef]
- Schlueter, C.; Gloskovskii, A.; Ederer, K.; Schostak, I.; Piec, S.; Sarkar, I.; Matveyev, Y.; Lömker, P.; Sing, M.; Claessen, R.; et al. The new dedicated HAXPES beamline P22 at PETRAIII. AIP Conf. Proc. 2019, 2054, 040010. [Google Scholar] [CrossRef]
- Weiland, C.; Jaye, C.; Quackenbush, N.F.; Gann, E.; Fu, Z.; Kirkland, J.P.; Karlin, B.A.; Ravel, B.; Woicik, J.C.; Fischer, D.A. NIST HAXPES at NSLS and NSLS-II. Synchrotron Rad. News 2018, 31, 23–28. [Google Scholar] [CrossRef]
- Scofield, J.H. Theoretical Photoionization Cross Sections from 1 to 1500 keV; Technical Report, UCRL-51326; California University: Los Angeles, CA, USA; Lawrence Livermore Laboratory: Livermore, CA, USA, 1973. [CrossRef]
- Tanuma, S.; Powell, C.J.; Penn, D.R. Calculation of electron inelastic mean free paths (IMFPs) VII. Reliability of the TPP2M IMFP predictive equation. Surf. Interface Anal. 2003, 35, 268–275. [Google Scholar] [CrossRef]
- Iyengar, L.; Prasad, B.R.; Qadri, B. Thermal Expansion of Cobalt Ferrite and Cobalt-Zinc Ferrite. Curr. Sci. 1973, 42, 534–535. [Google Scholar]
- Hashimoto, S.; Peng, J.L.; Gibson, W.M. Strain measurement of epitaxial CaF2 on Si(111) by MeV ion channeling. Appl. Phys. Lett. 1985, 47, 1071–1073. [Google Scholar] [CrossRef]
- Foerster, M.; Iliev, M.; Dix, N.; Martí, X.; Barchuk, M.; Sánchez, F.; Fontcuberta, J. The Poisson Ratio in CoFe2O4 Spinel Thin Films. Adv. Funct. Mater. 2012, 22, 4344–4351. [Google Scholar] [CrossRef]
- Durand, M.A. The Coefficient of Thermal Expansion of Magnesium Oxide. Physics 1936, 7, 297–298. [Google Scholar] [CrossRef]
- Arora, S.K.; Sofin, R.G.S.; Shvets, I.V.; Luysberg, M. Anomalous strain relaxation behavior of Fe3O4/MgO(100) heteroepitaxial system grown using molecular beam epitaxy. J. Appl. Phys. 2006, 100, 073908. [Google Scholar] [CrossRef]
- Balakrishnan, K.; Arora, S.K.; Shvets, I.V. Strain relaxation studies of the Fe3O4/MgO(100) heteroepitaxial system grown by magnetron sputtering. J. Phys. Condens. Matter 2004, 16, 5387–5393. [Google Scholar] [CrossRef]
- Eerenstein, W.; Palstra, T.T.M.; Hibma, T.; Celotto, S. Diffusive motion of antiphase domain boundaries in Fe3O4 films. Phys. Rev. B 2003, 68, 014428. [Google Scholar] [CrossRef]
- Ramos, A.V.; Moussy, J.B.; Guittet, M.J.; Bataille, A.M.; Gautier-Soyer, M.; Viret, M.; Gatel, C.; Bayle-Guillemaud, P.; Snoeck, E. Magnetotransport properties of Fe3O4 epitaxial thin films: Thickness effects driven by antiphase boundaries. J. Appl. Phys. 2006, 100, 103902. [Google Scholar] [CrossRef]
- Matthews, J.W.; Blakeslee, A.E. Defects in epitaxial multilayers: I. Misfit dislocations. J. Cryst. Growth 1974, 27, 118. [Google Scholar] [CrossRef]
- Bliem, R.; McDermott, E.; Ferstl, P.; Setvin, M.; Gamba, O.; Pavelec, J.; Schneider, M.A.; Schmid, M.; Diebold, U.; Blaha, P.; et al. Subsurface cation vacancy stabilization of the magnetite (001) surface. Science 2014, 346, 1215–1218. [Google Scholar] [CrossRef] [PubMed]
- Korecki, J.; Handke, B.; Spiridis, N.; Ślęzak, T.; Flis-Kabulska, I.; Haber, J. Size effects in epitaxial films of magnetite. Thin Solid Films 2002, 412, 14–23. [Google Scholar] [CrossRef]
- Pentcheva, R.; Moritz, W.; Rundgren, J.; Frank, S.; Schrupp, D.; Scheffler, M. A combined DFT/LEED-approach for complex oxide surface structure determination: Fe3O4(001). Surf. Sci. 2008, 602, 1299–1305. [Google Scholar] [CrossRef]
- Chambers, S.; Farrow, R.; Maat, S.; Toney, M.; Folks, L.; Catalano, J.; Trainor, T.; Brown, G.E., Jr. Molecular beam epitaxial growth and properties of CoFe2O4 on MgO(001). J. Magn. Magn. Mater. 2002, 246, 124–139. [Google Scholar] [CrossRef]
- Parratt, L.G. Surface Studies of Solids by Total Reflection of X-rays. Phys. Rev. 1954, 95, 359–369. [Google Scholar] [CrossRef]
- Névot, L.; Croce, P. Caractérisation des surfaces par réflexion rasante de rayons X. Application à l’étude du polissage de quelques verres silicates. Róev. Phys. Appl. 1980, 15, 761–779. [Google Scholar] [CrossRef]
- Henke, B.L.; Gullikson, E.M.; Davis, J.C. X-ray Interactions: Photoabsorption, Scattering, Transmission, and Reflection at E = 50−30,000 eV, Z = 1−92. At. Data Nucl. Data Tables 1993, 54, 181–342. [Google Scholar] [CrossRef]
- Yamashita, T.; Hayes, P. Analysis of XPS spectra of Fe2+ and Fe2+ ions in oxide materials. Appl. Surf. Sci. 2008, 254, 2441–2449. [Google Scholar] [CrossRef]
- Allen, G.C.; Curtis, M.T.; Hooper, A.J.; Tucker, P.M. X-ray photoelectron spectroscopy of iron-oxygen systems. J. Chem. Soc. Dalton Trans. 1974, 14, 1525–1530. [Google Scholar] [CrossRef]
- Shen, Z.X.; Allen, J.W.; Lindberg, P.A.P.; Dessau, D.S.; Wells, B.O.; Borg, A.; Ellis, W.; Kang, J.S.; Oh, S.J.; Lindau, I.; et al. Photoemission study of CoO. Phys. Rev. B 1990, 42, 1817–1828. [Google Scholar] [CrossRef]
- McIntyre, N.S.; Cook, M.G. X-ray photoelectron studies on some oxides and hydroxides of cobalt, nickel, and copper. Anal. Chem. 1975, 47, 2208–2213. [Google Scholar] [CrossRef]
- Biesinger, M.C.; Payne, B.P.; Grosvenor, A.P.; Lau, L.W.M.; Gerson, A.R.; Smart, R.S.C. Resolving surface chemical states in XPS analysis of first row transition metals, oxides and hydroxides: Cr, Mn, Fe, Co and Ni. Appl. Surf. Sci. 2011, 257, 2717–2730. [Google Scholar] [CrossRef]
- Moyer, J.A.; Vaz, C.A.F.; Negusse, E.; Arena, D.A.; Henrich, V.E. Controlling the electronic structure of Co1−xFe2+xO4 thin films through iron doping. Phys. Rev. B 2011, 83, 035121. [Google Scholar] [CrossRef]






| Co Content x | (nm) | (pm) | (pm) | (pm) |
|---|---|---|---|---|
| 0.6 | 28.2 ± 0.2 | 209.0 ± 0.1 | 60 ± 20 | 710 ± 30 |
| 0.9 | 32.1 ± 0.2 | 209.2 ± 0.1 | 70 ± 20 | 670 ± 30 |
| 1.2 | 28.6 ± 0.2 | 209.5 ± 0.1 | 70 ± 20 | 630 ± 30 |
Disclaimer/Publisher’s Note: The statements, opinions and data contained in all publications are solely those of the individual author(s) and contributor(s) and not of MDPI and/or the editor(s). MDPI and/or the editor(s) disclaim responsibility for any injury to people or property resulting from any ideas, methods, instructions or products referred to in the content. |
© 2023 by the authors. Licensee MDPI, Basel, Switzerland. This article is an open access article distributed under the terms and conditions of the Creative Commons Attribution (CC BY) license (https://creativecommons.org/licenses/by/4.0/).
Share and Cite
Thien, J.; Rodewald, J.; Pohlmann, T.; Ruwisch, K.; Bertram, F.; Küpper, K.; Wollschläger, J. Real-Time Monitoring of Strain Accumulation and Relief during Epitaxy of Ultrathin Co Ferrite Films with Varied Co Content. Materials 2023, 16, 7287. https://doi.org/10.3390/ma16237287
Thien J, Rodewald J, Pohlmann T, Ruwisch K, Bertram F, Küpper K, Wollschläger J. Real-Time Monitoring of Strain Accumulation and Relief during Epitaxy of Ultrathin Co Ferrite Films with Varied Co Content. Materials. 2023; 16(23):7287. https://doi.org/10.3390/ma16237287
Chicago/Turabian StyleThien, Jannis, Jari Rodewald, Tobias Pohlmann, Kevin Ruwisch, Florian Bertram, Karsten Küpper, and Joachim Wollschläger. 2023. "Real-Time Monitoring of Strain Accumulation and Relief during Epitaxy of Ultrathin Co Ferrite Films with Varied Co Content" Materials 16, no. 23: 7287. https://doi.org/10.3390/ma16237287
APA StyleThien, J., Rodewald, J., Pohlmann, T., Ruwisch, K., Bertram, F., Küpper, K., & Wollschläger, J. (2023). Real-Time Monitoring of Strain Accumulation and Relief during Epitaxy of Ultrathin Co Ferrite Films with Varied Co Content. Materials, 16(23), 7287. https://doi.org/10.3390/ma16237287

