Study on Pulse-Reverse Electroplating Process for the Manufacturing of a Graphene-Based Coating
Abstract
1. Introduction
2. Materials and Methods
- On-time (TON)
- Off-time (TOFF)
- Peak current density (iP)
3. Results and Discussion
4. Conclusions
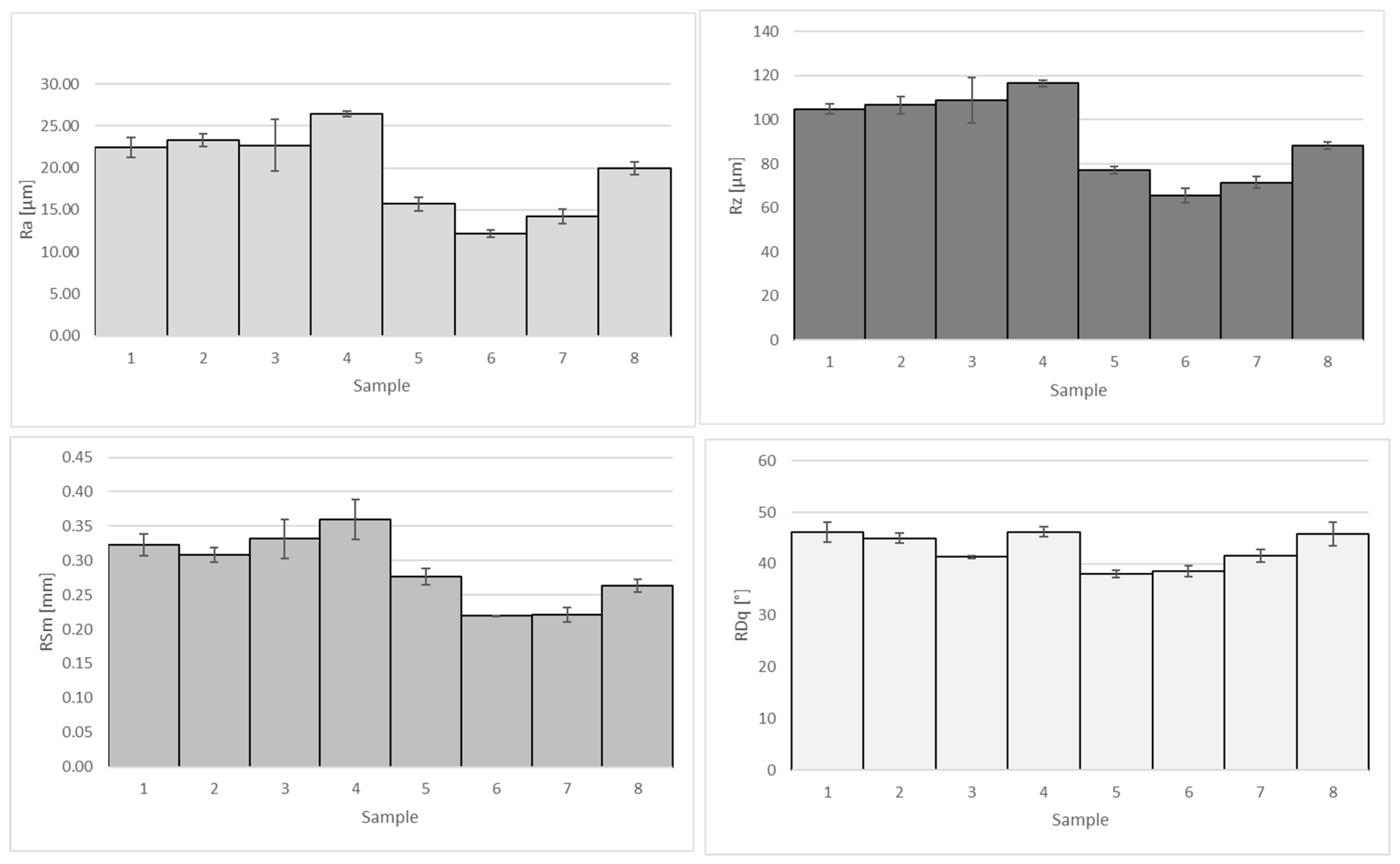
- The Cu-GnP composite coatings exhibit low surface roughness (Ra of 5.63 µm, RSm of 0.12 mm and RDq of 30.72°).
- At high current density (d = 1.1 A/dm2), the nucleation process is favored over the growth, resulting in smoother and more compact coatings; the surface roughness increases when increasing the pulse frequency and duty cycle because the “noise” increases and the process tends towards DC electrodeposition.
- SEM investigations show that all test scenarios provide good results in terms of coating density and compactness, amount of graphene and flakes well incorporated within the microstructure of the copper deposits.
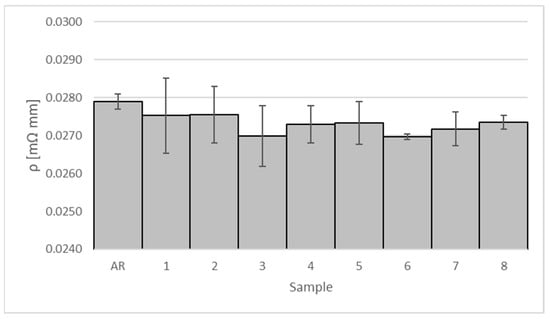
- The coated samples show lower electrical resistivity (up to −3.4%) than the uncoated aluminum substrate.
- The coated samples exhibit a percentage increase in temperature compared to the aluminum wire of about 10%.
Author Contributions
Funding
Institutional Review Board Statement
Informed Consent Statement
Data Availability Statement
Conflicts of Interest
References
- Kim, S.H.; Kim, J.Y.; Yu, J.; Lee, T. Residual Stress and Interfacial Reaction of the Electroplated Ni-Cu Alloy Under Bump Metallurgy in the Flip-Chip Solder Joint. J. Electron. Mater. 2004, 33, 948–957. [Google Scholar] [CrossRef]
- Ibanez, A.; Fatas, E. Mechanical and structural properties of electrodeposited copper and their relation with the electrodeposition parameters. Surf. Coat. Technol. 2005, 191, 7–16. [Google Scholar] [CrossRef]
- Ianniciello, L.; Biwolè, P.H.; Achard, P. Electric vehicles batteries thermal management systems employing phase change materials. J. Power Sources 2018, 378, 383–403. [Google Scholar] [CrossRef]
- Sainudeen, S.S.; Joseph, A.; Joseph, M.; Sajith, V. Heat transfer phenomena of copper-graphene nanocomposite coated aluminium heat spreaders: An interferometric study. Appl. Therm. Eng. 2022, 212, 118545. [Google Scholar] [CrossRef]
- Geim, A.K.; Novoselov, K.S. The rise of graphene. Nat. Mater. 2007, 6, 183–191. [Google Scholar] [CrossRef] [PubMed]
- Novoselov, K.S.; Geim, A.K.; Morozov, S.V.; Jiang, D.; Zhang, Y.; Dubonos, S.V.; Grigorieva, I.V.; Firsov, A.A. Electric field effect in atomically thin carbon films. Science 2004, 306, 666–669. [Google Scholar] [CrossRef]
- Balandin, A.A.; Ghosh, S.; Bao, W.; Calizo, I.; Teweldebrhan, D.; Miao, F.; Lau, C.N. Superior thermal conductivity of single-layer graphene. Nano Lett 2008, 8, 902–907. [Google Scholar] [CrossRef]
- Huang, X.; Qi, X.; Boey, F.; Zhang, H. Graphene-based composite. Chem. Soc. Rev. 2012, 41, 666–686. [Google Scholar] [CrossRef]
- Lee, C.; Wei, X.; Kysar, J.W.; Hone, J. Measurement of the elastic properties and intrinsic strength of monolayer graphene. Science 2008, 321, 385–388. [Google Scholar] [CrossRef]
- Ovid’ko, I.A. Metal-graphene nanocomposites with enhanced mechanical properties: A review. Rev. Adv. Mater. Sci. 2014, 38, 190–200. [Google Scholar]
- Yang, H.; Tang, Y.; Yang, P. Factors influencing thermal transport across graphene/metal interfaces with van der Waals interactions. Nanoscale 2019, 11, 14155–14163. [Google Scholar] [CrossRef] [PubMed]
- Joseph, A.; Kirubasankar, B.; Mathew, A.M.; Narayanasamy, M.; Yan, C.; Angaiah, S. Influence of pulse reverse current parameters on electrodeposition of copper-graphene nanocomposite coating. Appl. Surf. Sci. Adv. 2021, 5, 100116. [Google Scholar] [CrossRef]
- Hwang, J.; Yoon, T.; Jin, S.H.; Lee, J.; Kim, T.S.; Hong, S.H.; Jeon, S. Enhanced mechanical properties of graphene/copper nanocomposites using a molecular-level mixing process. Adv. Mater. 2013, 25, 6724–6729. [Google Scholar] [CrossRef] [PubMed]
- Li, X.; Zhao, Y.; Wu, W.; Chen, J.; Chu, G.; Zou, H. Synthesis and characterizations of graphene-copper nanocomposites and their anti-friction application. J. Ind. Eng. Chem. 2014, 20, 2043–2049. [Google Scholar] [CrossRef]
- Chu, K.E.; Wang, F.; Wang, X.-H.; Huang, D.-J. Anisotropic mechanical properties of graphene/copper composites with aligned graphene. Mater. Sci. Eng. A 2018, 713, 269–277. [Google Scholar] [CrossRef]
- Koltsova, T.S.; Nasibulina, L.I.; Anoshkin, I.V.; Mishin, V.V.; Kauppinen, E.I.; Tolochko, O.V.; Nasibulin, A.G. New hybrid copper composite materials based on carbon nanostructures. J. Mater. Sci. Eng. B. 2012, 2, 240–246. [Google Scholar]
- Khobragade, N.; Sikdar, K.; Kumar, B.; Bera, S.; Roy, D. Mechanical and electrical properties of copper-graphene nanocomposite fabricated by high pressure torsion. J. Alloy. Compd. 2019, 776, 123–132. [Google Scholar] [CrossRef]
- Walsh, F.C.; Ponce De Leon, C. A review of the electrodeposition of metal matrix composite coatings by inclusion of particles in a metal layer: An established and diversifying technology. Trans. Inst. Met. Finish. 2014, 92, 83–98. [Google Scholar] [CrossRef]
- Walsh, F.C.; Wang, S.; Zhou, N. The electrodeposition of composite coatings: Diversity, applications and challenges. Curr. Opin. Electrochem. 2020, 20, 8–19. [Google Scholar] [CrossRef]
- Anijdan, S.H.M.; Sabzi, M.; Zadeh, M.R.; Farzam, M. The influence of pH, rotating speed and Cu content reinforcement nano-particles on wear/corrosion response of Ni-P-Cu nano-composite coatings. Tribol. Int. 2018, 127, 108–121. [Google Scholar] [CrossRef]
- Sabzi, M.; Anijdan, S.H.M.; Roghani Zadeh, M.; Farzam, M. The effect of heat treatment on corrosion behaviour of Ni–P–3 gr/lit Cu nano-composite coating. Can. Metall. 2018, 57, 350–357. [Google Scholar] [CrossRef]
- Reid, J.Q. Copper electrodeposition: Principles and recent progress. Jpn. J. Appl. Phys. 2001, 40, 2650–2657. [Google Scholar] [CrossRef]
- Shanmugasamy, S.; Balakrishnan, K.; Subasri, A.; Ramalingam, S.; Subramania, A. Development of CeO2 nanorods reinforced electrodeposited nickel nanocomposite coating and its tribological and corrosion resistance properties. J. Rare Earths. 2001, 36, 1319–1325. [Google Scholar] [CrossRef]
- Joseph, A.; Narayanasamy, M.; Kirubasankar, B.; Angaiah, S. Development of MoS2 nanosheets embedded nickel composite coating and its mechanical properties. ES Mater. Manuf. 2001, 2, 2–8. [Google Scholar]
- Subramaniam, C.; Yamada, T.; Kobashi, K.; Sekiguchi, A.; Futaba, D.N.; Yumura, M.; Hata, K. One hundred fold increase in current carrying capacity in a carbon nanotube–copper composite. Nat. Commun. 2013, 4, 1–7. [Google Scholar] [CrossRef] [PubMed]
- Baskaran, I.; Sankara Narayanan, T.S.N.; Stephen, A. Pulsed electrodeposition of nanocrystalline Cu–Ni alloy films and evaluation of their characteristic properties. Mater. Lett. 2006, 60, 1990–1995. [Google Scholar] [CrossRef]
- Jagannadham, K. Thermal conductivity of copper-graphene composite films synthesized by electrochemical deposition with exfoliated graphene platelets. Metall. Mater. Trans. B. 2012, 43, 316–324. [Google Scholar] [CrossRef]
- Antenucci, A.; Guarino, S.; Tagliaferri, V.; Ucciardello, N. Electro-deposition of graphene on aluminium open cell metal foams. Mater. Des. 2015, 71, 78–84. [Google Scholar] [CrossRef]
- Xie, G.; Forslund, M.; Pan, J. Direct electrochemical synthesis of reduced graphene oxide (rGO)/copper composite films and their electrical/electroactive properties. ACS Appl. Mater. Interfaces 2014, 6, 7444–7455. [Google Scholar] [CrossRef]
- Baiocco, G.; Ucciardello, N.; Menna, E.; Rubino, G. Mechanical characterization of functional Cu-GnP composite coatings for lubricant applications. Surf. Eng. 2022, 38, 72–78. [Google Scholar] [CrossRef]
- Song, G.; Wang, Z.; Gong, Y.; Yang, Y.; Fu, Q.; Pan, C. Direct determination of graphene amount in electrochemical deposited Cu-based composite foil and its enhanced mechanical property. RSC Adv. 2016, 7, 1735–1742. [Google Scholar] [CrossRef]
- Song, G.; Yang, Y.; Fu, Q.; Pan, C. Preparation of Cu-graphene composite thin foils via DC electrodeposition and its optimal conditions for highest properties. J. Electrochem. Soc. 2017, 164, D652–D659. [Google Scholar] [CrossRef]
- Hu, C.-C.; Wu, C.-M. Effects of deposition modes on the microstructure of copper deposits from an acidic sulfate bath. Surf. Coat. Technol. 2003, 176, 75–83. [Google Scholar] [CrossRef]
- Popov, K.I.; Kostic, T.M.; Nikolic, N.D.; Stojilkovic, E.R.; Pavlovic, M.G. A new approach to metal electrodeposition at a periodically changing rate: Part I. The reversing overpotential method. J. Electroanal. Chem. 1999, 464, 245–251. [Google Scholar] [CrossRef]
- Mandich, N.V. Pulse and pulse-reverse electroplating. Met. Finish. 2000, 98, 375–387. [Google Scholar] [CrossRef]
- Chandrasekar, M.S.; Pushpavanam, M. Pulse and pulse reverse plating-conceptual, advantages and applications. Electrochim. Acta. 2008, 53, 3313–3322. [Google Scholar] [CrossRef]
- Takahashi, K.M. Electroplating copper onto resistive barrier films. J. Electrochem. Soc. 2000, 147, 1414–1417. [Google Scholar] [CrossRef]
- Zhang, X.; Qin, J.; Perasinjaroen, T.; Aeksen, W.; Das, M.K.; Hao, R.; Zhang, B.; Wangyao, P.; Boonyongmaneerat, Y.; Limpanart, S.; et al. Preparation and hardness of pulse electrodeposited Ni–W–diamond composite coatings. Surf. Coat. Technol. 2015, 276, 228–232. [Google Scholar] [CrossRef]
- Huang, B.-C.; Yang, C.-H.; Lee, C.-Y.; Hu, Y.-L.; Hsu, C.-C.; Ho, C.-E. Effect of pulse-reverse plating on copper: Thermal mechanical properties and microstructure relationship. Microelectron. Reliab. 2019, 96, 71–77. [Google Scholar] [CrossRef]
- Baiocco, G.; Rubino, G.; Ucciardello, N. Pretreatments effects on mechanical and morphological features of copper coatings. Surf. Interfaces 2020, 20, 100625. [Google Scholar] [CrossRef]
- Genna, S.; Simoncini, A.; Tagliaferri, V.; Ucciardello, N. Optimization of the Sandblasting Process for a Better Electrodeposition of Copper Thin Films on Aluminum Substrate by Feedforward Neural Network. Procedia CIRP 2017, 62, 435–439. [Google Scholar] [CrossRef]










| Elements | Wt% |
|---|---|
| Aluminum | ≥99.70 |
| Boron | ≤0.02 |
| Chromium | ≤0.01 |
| Copper | ≤0.02 |
| Gallium | ≤0.03 |
| Iron | ≤0.25 |
| Magnesium | ≤0.02 |
| Manganese | ≤0.01 |
| Silicon | ≤0.10 |
| Zinc | ≤0.04 |
| Properties | Value |
|---|---|
| Carbon content | >97%wt |
| C:O ratio | 49:1 |
| Flake average thickness | 8 nm |
| Flake lateral dimension | 96 µm |
| Density | 0.07 g/cm3 |
| Specific surface area | 56 m2/g |
| Electrical resistivity | 0.001 |
| Thermal conductivity | 1000 W/ |
| Components | Concentration |
|---|---|
| Copper sulphate hexahydrate | 170 g/L |
| Sulfuric acid | 60 g/L |
| Copper chloride | 50 p.p.m. |
| Components | Concentration |
|---|---|
| Copper sulphate hexahydrate | 170 g/L |
| Copper chloride | 50 p.p.m. |
| GnP | 1 g/L |
| Control Factors | Symbols | Levels |
|---|---|---|
| Current density | d [A/dm2] | 0.55–1.1 |
| Pulse frequency | f [Hz] | 0.1–10 |
| Duty cycle | Duty [%] | 70–80 |
| Sample | d [A/dm2] | f [Hz] | Duty [%] |
|---|---|---|---|
| 1 | 0.55 | 0.1 | 70 |
| 2 | 0.55 | 0.1 | 80 |
| 3 | 0.55 | 10 | 70 |
| 4 | 0.55 | 10 | 80 |
| 5 | 1.1 | 0.1 | 70 |
| 6 | 1.1 | 0.1 | 80 |
| 7 | 1.1 | 10 | 70 |
| 8 | 1.1 | 10 | 80 |
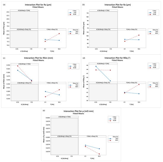
| Source | Ra | Rz | RSm | RDq | ρ | |||||
|---|---|---|---|---|---|---|---|---|---|---|
| F-Value | p-Value | F-Value | p-Value | F-Value | p-Value | F-Value | p-Value | F-Value | p-Value | |
| d [A/dm2] | 162.49 | 0.000 | 233.72 | 0.000 | 126.22 | 0.000 | 45.03 | 0.000 | 15.06 | 0.001 |
| f [Hz] | 14.18 | 0.002 | 12.54 | 0.003 | 2.65 | 0.122 | 10.67 | 0.005 | 9.46 | 0.008 |
| Duty [%] | 6.88 | 0.018 | 2.80 | 0.112 | 0.00 | 0.965 | 15.12 | 0.001 | 3.41 | 0.085 |
| d [A/dm2] × f [Hz] | 1.24 | 0.281 | 0.14 | 0.713 | 5.53 | 0.031 | 42.47 | 0.000 | 9.90 | 0.007 |
| d [A/dm2] × Duty [%] | 0.83 | 0.375 | 0.25 | 0.620 | 0.98 | 0.336 | 0.22 | 0.648 | 0.27 | 0.614 |
| f [Hz] × Duty [%] | 22.44 | 0.000 | 15.32 | 0.001 | 21.72 | 0.000 | 19.93 | 0.000 | 1.18 | 0.294 |
| R-sq [%] | 92.45 | 93.97 | 90.24 | 88.70 | 70.81 | |||||
| Sample | d [A/dm2] | f [Hz] | Duty [%] | ρ [mΩ mm] | St. Dev. [mΩ mm] | Reduction [%] |
|---|---|---|---|---|---|---|
| AR | - | - | - | 0.0279 | 0.0002 | 0.00 |
| 1 | 0.55 | 0.1 | 70 | 0.0275 | 0.0010 | −1.36 |
| 2 | 0.55 | 0.1 | 80 | 0.0275 | 0.0007 | −1.27 |
| 3 | 0.55 | 10 | 70 | 0.0270 | 0.0008 | −3.29 |
| 4 | 0.55 | 10 | 80 | 0.0273 | 0.0005 | −2.20 |
| 5 | 1.1 | 0.1 | 70 | 0.0273 | 0.0006 | −2.03 |
| 6 | 1.1 | 0.1 | 80 | 0.0270 | 0.0001 | −3.33 |
| 7 | 1.1 | 10 | 70 | 0.0272 | 0.0004 | −2.62 |
| 8 | 1.1 | 10 | 80 | 0.0273 | 0.0002 | −1.99 |
Disclaimer/Publisher’s Note: The statements, opinions and data contained in all publications are solely those of the individual author(s) and contributor(s) and not of MDPI and/or the editor(s). MDPI and/or the editor(s) disclaim responsibility for any injury to people or property resulting from any ideas, methods, instructions or products referred to in the content. |
© 2023 by the authors. Licensee MDPI, Basel, Switzerland. This article is an open access article distributed under the terms and conditions of the Creative Commons Attribution (CC BY) license (https://creativecommons.org/licenses/by/4.0/).
Share and Cite
Baiocco, G.; Genna, S.; Menna, E.; Ucciardello, N. Study on Pulse-Reverse Electroplating Process for the Manufacturing of a Graphene-Based Coating. Materials 2023, 16, 854. https://doi.org/10.3390/ma16020854
Baiocco G, Genna S, Menna E, Ucciardello N. Study on Pulse-Reverse Electroplating Process for the Manufacturing of a Graphene-Based Coating. Materials. 2023; 16(2):854. https://doi.org/10.3390/ma16020854
Chicago/Turabian StyleBaiocco, Gabriele, Silvio Genna, Erica Menna, and Nadia Ucciardello. 2023. "Study on Pulse-Reverse Electroplating Process for the Manufacturing of a Graphene-Based Coating" Materials 16, no. 2: 854. https://doi.org/10.3390/ma16020854
APA StyleBaiocco, G., Genna, S., Menna, E., & Ucciardello, N. (2023). Study on Pulse-Reverse Electroplating Process for the Manufacturing of a Graphene-Based Coating. Materials, 16(2), 854. https://doi.org/10.3390/ma16020854

