Tensile Property of Irradiated LT21 Aluminum Alloy Sampled from Decommissioned Irradiation Channel of Heavy Water Research Reactor
Abstract
1. Introduction
2. Material and Experiment
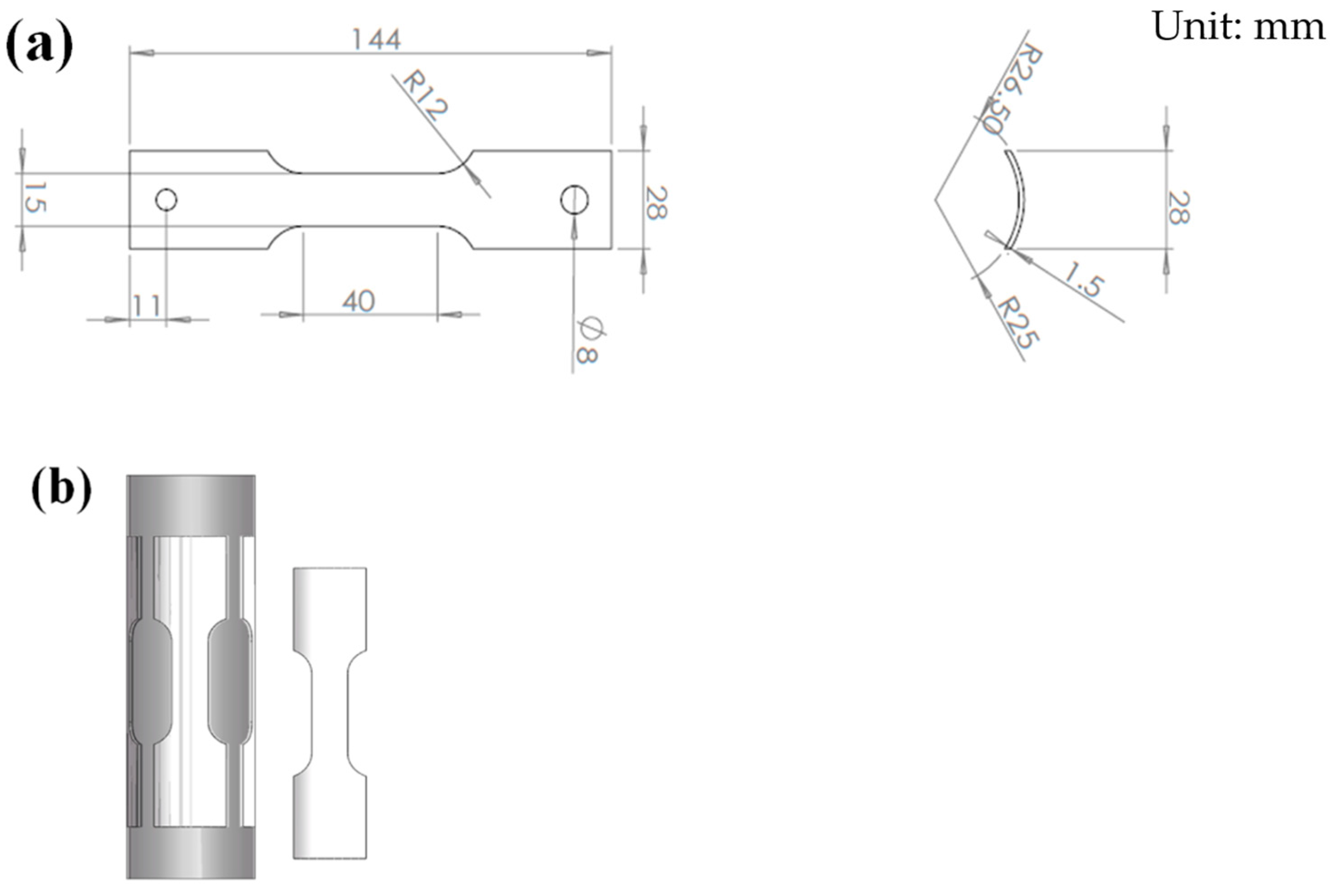
2.1. Material
2.2. Experiment
3. Results
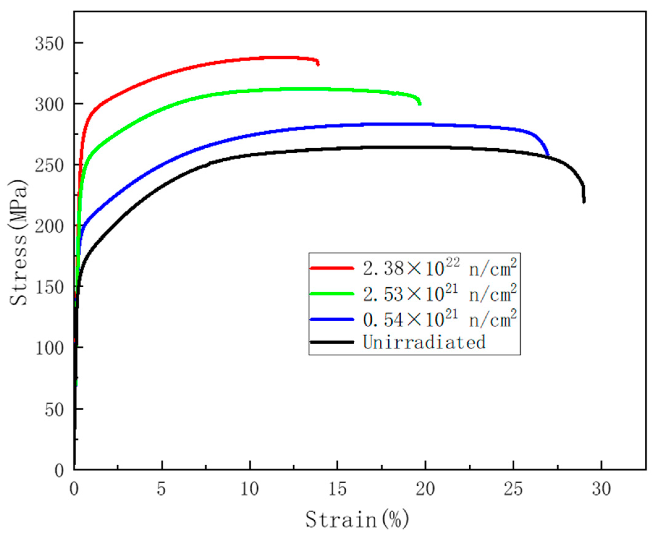
3.1. Tensile Test Results
3.2. Fracture Surface Morphology Observation
4. Analysis
4.1. Tensile Property Evaluation
4.2. Irradiation Effect Mechanism
5. Conclusions
- Irradiation hardening and irradiation embrittlement occurred on the LT21 after neutron irradiation. With the thermal neutron flux increasing to 2.38 × 1022 n/cm2, the YS gradually increased from the initial 158 MPa to 251 MPa, the UTS increased from 262 MPa to 321 MPa, and the elongation decreased from 28.8% to about 14.3%.
- The variation trend of YS, UTS, and Elongation of LT21 with thermal neutron fluence is very similar to that of other aluminum alloys. The neutron irradiation effect on aluminum alloy mainly depends on the thermal neutron, and the specific tensile properties are different among different irradiated aluminum alloys because of their different manufacturing process and TFR, especially at high thermal neutron fluence, e.g., 2.38 × 1022 n/cm2.
- A brittle fracture appeared on the LT21 specimen after irradiation, and the proportion of brittle fracture increased with the neutron fluence increased. After neutron irradiation, the LT21 aluminum alloy had been embrittled, but the toughness remained at the neutron irradiation fluence of 2.38 × 1022 n/cm2.
- Transmutation to Si is presumed to be the main cause of the radiation effect mechanism of LT21.The nanophase structures, for which the size was less than 50 nm, were precipitated in the LT21 aluminum alloy after neutron irradiation. These nanophases were produced due to the (n, γ) reaction of the aluminum element and the thermal neutron, and can cause an increase in strength and a decrease in ductility.
Author Contributions
Funding
Institutional Review Board Statement
Informed Consent Statement
Data Availability Statement
Conflicts of Interest
References
- Azevedo, C. A review on neutron-irradiation-induced hardening of metallic components. Eng. Fail. Anal. 2011, 18, 1921–1942. [Google Scholar] [CrossRef]
- Duan, Z.; Yang, H.; Satoh, Y.; Murakami, K.; Kano, S.; Zhao, Z.; Shen, J.; Abe, H. Current status of materials development of nuclear fuel cladding tubes for light water reactors. Nucl. Eng. Des. 2017, 316, 131–150. [Google Scholar] [CrossRef]
- Wolfer, W.G. Performance of Aluminum in Research Reactors. Comprehens. Nucl. Mater. 2012, 143–157. [Google Scholar] [CrossRef]
- Kolluri, M. Neutron Irradiation Effects in 5xxx and 6xxx Series Aluminum Alloys: A Literature Review. Radiat. Eff. Mater. 2016. [Google Scholar] [CrossRef]
- Chandler, D. High Flux Isotope Reactor (HFIR). Encycl. Nucl. Energy 2021, 2021, 64–73. [Google Scholar]
- Ha, T.-W.; Yun, B.-J.; Jeong, J.J. Improvement of the subcooled boiling model for thermal–hydraulic system codes. Nucl. Eng. Des. 2020, 364, 110641. [Google Scholar] [CrossRef]
- Ragan, G.; Mihalczo, J.; Robinson, R. Prompt neutron decay constants at delayed criticality for the Oak Ridge Research Reactor with 20 and 93 wt% 235U enriched fuel. Ann. Nucl. Energy 1997, 24, 21–31. [Google Scholar] [CrossRef]
- Munitz, A.; Shtechman, A.; Cotler, C.; Talianker, M.; Dahan, S. Mechanical properties and microstructure of neutron irradiated cold worked Al-6063 alloy. J. Nucl. Mater. 1998, 252, 79–88. [Google Scholar] [CrossRef]
- Gussev, M.; Sridharan, N.; Babu, S.; Terrani, K. Influence of neutron irradiation on Al-6061 alloy produced via ultrasonic additive manufacturing. J. Nucl. Mater. 2021, 550, 152939. [Google Scholar] [CrossRef]
- Pornphatdetaudom, T.; Yoshida, K.; Yano, T. Recovery behavior of neutron-irradiated aluminum nitride with and without containing interstitial dislocation loops. J. Nucl. Mater. 2020, 543, 152584. [Google Scholar] [CrossRef]
- Quaireau, S.L.; Colas, K.; Kapusta, B.; Verhaeghe, B.; Loyer-Prost, M.; Gutierrez, G.; Gosset, D.; Delpech, S. Impact of ion and neutron irradiation on the corrosion of the 6061-T6 aluminium alloy. J. Nucl. Mater. 2021, 553, 153051. [Google Scholar] [CrossRef]
- Yano, T.; Ichikawa, K.; Akiyoshi, M.; Tachi, Y. Neutron irradiation damage in aluminum oxide and nitride ceramics up to a fluence of 4.2×1026n/m2. J. Nucl. Mater. 2000, 283–287, 947–951. [Google Scholar] [CrossRef]
- Chen, H.; Cheng, Y.; Lin, C.; Peng, J.; Liang, X.; Gao, J.; Liu, W.; Huang, H. In-situ TEM observation of nanobubbles evolution in helium-irradiated aluminium upon tensile stressing. J. Nucl. Mater. 2019, 520, 178–184. [Google Scholar] [CrossRef]
- Marchbanks, M.F. ANS Materials Databook, ORNL/M-4582, Lockheed Martin Energy Systems; Oak Ridge Natlional Laboratory: Oak Ridge, TN, USA, August 1995.
- Kapusta, B.; Sainte Catherine, C.; Averty, X.; Campioni, G.; Ballagny, A. Mechanical characteristics of 5754-NET-O Aluminum alloy irradiated up to high fluences: Neutron spectrum and temperature effects. In Proceedings of the Joint Meeting of the National Organization of Test, Research, and Training Reactors and the International Group on Research Reactors, Gaithersburg, MD, USA, 12–16 September 2005. [Google Scholar]
- Luzginova, N.V.; Nolles, H.; Berg, F.V.D.; Idsert, P.V.D.; Van Der Schaaf, B. Surveillance Program Results for the High Flux Reactor Vessel Material. ASTM Int. 2014, 2014, 30–41. [Google Scholar] [CrossRef]











| Element | Mg | Si | Fe | Cu | Al |
|---|---|---|---|---|---|
| Content | 0.96 | 0.76 | 0.2 | <0.01 | Bal. |
Disclaimer/Publisher’s Note: The statements, opinions and data contained in all publications are solely those of the individual author(s) and contributor(s) and not of MDPI and/or the editor(s). MDPI and/or the editor(s) disclaim responsibility for any injury to people or property resulting from any ideas, methods, instructions or products referred to in the content. |
© 2023 by the authors. Licensee MDPI, Basel, Switzerland. This article is an open access article distributed under the terms and conditions of the Creative Commons Attribution (CC BY) license (https://creativecommons.org/licenses/by/4.0/).
Share and Cite
Yang, W.; Qian, J.; Zhong, W.; Ning, G.; Peng, S.; Yang, W. Tensile Property of Irradiated LT21 Aluminum Alloy Sampled from Decommissioned Irradiation Channel of Heavy Water Research Reactor. Materials 2023, 16, 544. https://doi.org/10.3390/ma16020544
Yang W, Qian J, Zhong W, Ning G, Peng S, Yang W. Tensile Property of Irradiated LT21 Aluminum Alloy Sampled from Decommissioned Irradiation Channel of Heavy Water Research Reactor. Materials. 2023; 16(2):544. https://doi.org/10.3390/ma16020544
Chicago/Turabian StyleYang, Wanhuan, Jin Qian, Weihua Zhong, Guangsheng Ning, Shunmi Peng, and Wen Yang. 2023. "Tensile Property of Irradiated LT21 Aluminum Alloy Sampled from Decommissioned Irradiation Channel of Heavy Water Research Reactor" Materials 16, no. 2: 544. https://doi.org/10.3390/ma16020544
APA StyleYang, W., Qian, J., Zhong, W., Ning, G., Peng, S., & Yang, W. (2023). Tensile Property of Irradiated LT21 Aluminum Alloy Sampled from Decommissioned Irradiation Channel of Heavy Water Research Reactor. Materials, 16(2), 544. https://doi.org/10.3390/ma16020544
